Abstract
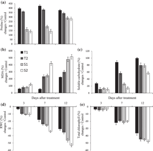
Oxidative stress is one of the serious biochemical consequences of environmental stresses, particularly salinity. The present study was conducted to evaluate biochemical, antioxidative enzymes and the corresponding gene expression responses of four contrastive chickpea genotypes to 100 mM NaCl stress during 12 days. The salinity stress imposed significant increases (p ≤ 0.05) compatible osmolytes, that is, proline and soluble carbohydrate, especially in the most tolerant genotype (T1) by 14.87 µmol g−1 DW and 204 mg g−1 DW after 12 days of stress, respectively, to assist in osmotic adjustment and maintain cell membrane integrity to preserve cell turgor. Similarly, 7 days of salinity incurred differential increases in enzymatic activities of T1 and the most sensitive genotype (S2) by 66 and 20% for SOD, 138 and 15% for CAT, 179 and 77% for APX, and 172 and 136% for GR over the relative controls, respectively. Furthermore, corresponding transcript profiles for some predominant isoforms of enzymes were analyzed using the RT-PCR technique. Results revealed the same genotype-dependent changes, correlating well with higher activity of SOD, CAT, APX in T1 (0.97***, 0.80**, and 0.86**) as compared with S2 (0.91***, 0.58ns, and 0.84**). The data showed that higher activities of antioxidant enzymes as well as earlier and more up-regulation of their corresponding gene expressions in T1 could be some reasons for salinity tolerance in this genotype to cope with oxidative stress. This reaction was also accompanied by lower chlorophyll degradation (−37%), the lowest MDA formation (224%), and higher RWC (−31%) in T1 relative to respective control.





Similar content being viewed by others
Explore related subjects
Discover the latest articles and news from researchers in related subjects, suggested using machine learning.References
Abu-Romman S, Shatnawi M (2011) Isolation and expression analysis of chloroplastic copper/zinc superoxide dismutase gene in barley. S Afr J Bot 77(2):328–334
Aebi H (1984) Catalase in vitro. Methods Enzymol 105:121–126
Agarwal S, Shaheen R (2007) Stimulation of antioxidant system and lipid peroxidation by abiotic stresses in leaves of Momordica charantia. Braz J Plant Physiol 19(2):149–161
Ahmad P, Nabi G, Ashraf M (2011) Cadmium-induced oxidative damage in mustard [Brassica juncea (L.) Czern. & Coss.] plants can be alleviated by salicylic acid. S. Afr. J Bot 77(1):36–44
Ahmad P, Kumar A, Ashraf M, Akram NA (2012) Salt-induced changes in photosynthetic activity and oxidative defense system of three cultivars of mustard (Brassica juncea L.). Afr J Biotechnol 11(11):2694
Ali B, Hayat S, Ahmad A (2007) 28-Homobrassinolide ameliorates the saline stress in chickpea (Cicer arietinum L.). Environ Exper Bot 59(2):217–223
Alscher RG, Erturk N, Heath LS (2002) Role of superoxide dismutases (SODs) in controlling oxidative stress in plants. J Exper Bot 53(372):1331–1341
Ara N, Nakkanong K, Lv W, Yang J, Hu Z, Zhang M (2013) Antioxidant enzymatic activities and gene expression associated with heat tolerance in the stems and roots of two cucurbit species (“Cucurbita maxima” and “Cucurbita moschata”) and their interspecific inbred line “Maxchata”. Int J Mol Sci 14(12):24008–24028
Arefian M, Shafaroudi SM (2015) Physiological and gene expression analysis of extreme chickpea (Cicer arietinum L.) genotypes in response to salinity stress. Acta Physiol Plant 37(9):1–11
Arefian M, Vessal S, Bagheri A (2014) Biochemical changes in response to salinity in chickpea (Cicer arietinum L.) during early stages of seedling growth. J Anim Plant Sci 24(6):1849–1857
Arshi A, Ahmad A, Aref IM, Iqbal M (2012) Comparative studies on antioxidant enzyme action and ion accumulation in soybean cultivars under salinity stress. J Env Biol 33(2):9–20
Asada K (1992) Ascorbate peroxidase scavenging enzyme in plants. Physiol Plantarum 85(2):235–241
Ashraf M, Harris P (2004) Potential biochemical indicators of salinity tolerance in plants. Plant Sci 166(1):3–16
Azizpour K, Shakiba M, Sima N.K.K., Alyari H, Mogaddam M, Esfandiari E, Pessarakli M (2010) Physiological response of spring durum wheat genotypes to salinity. J Plant Nutr 33(6):859–873
Azooz MM, Youssef AM, Ahmad P (2011) Evaluation of salicylic acid (SA) application on growth, osmotic solutes and antioxidant enzyme activities on broad bean seedlings grown under diluted seawater. Int J Plant Physiol Biochem 3(14):253–264
Bandeoğlu E, Eyidoğan F, Yücel M, Öktem HA (2004) Antioxidant responses of shoots and roots of lentil to NaCl-salinity stress. Plant Growth Regul 42(1):69–77
Bates L, Waldren R, Teare I (1973) Rapid determination of free proline for water-stress studies. Plant Soil 39(1):205–207
Beyer WF, Fridovich I (1987) Assaying for superoxide dismutase activity: some large consequences of minor changes in conditions. Anal Biochem 161(2):559–566
Bhushan D, Pandey A, Choudhary MK, Datta A, Chakraborty S, Chakraborty N (2007) Comparative proteomics analysis of differentially expressed proteins in chickpea extracellular matrix during dehydration stress. Mol Cell Proteomics: MCP 6(11):1868–1884
Bidabadi SS, Meon S, Wahab Z, Subramaniam S, Mahmood M (2012) In vitro selection and characterization of water stress tolerant lines among ethyl methanesulphonate (EMS) induced variants of banana (Musa spp., with AAA genome). Aust J Crop Sci 6(3):567–575
Bradford MM (1976) A rapid and sensitive method for the quantitation of microgram quantities of protein utilizing the principle of protein-dye binding. Anal Biochem 72(1):248–254
Clark AJ, Landolt W, Bucher J, Strasser R (2000) Beech (Fagus sylvatica) response to ozone exposure assessed with a chlorophyll a fluorescence performance index. Environ Pollut 109(3):501–507
Dat J, Vandenabeele S, Vranová E, Van Montagu M, Inzé D, Van Breusegem F (2000) Dual action of the active oxygen species during plant stress responses. Cell Mol Life Sci 57(5):779–795
Demiral T, Türkan I (2004) Does exogenous glycinebetaine affect antioxidative system of rice seedlings under NaCl. treatment? J Plant Physiol 161(10):1089–1100
Demiral T, Türkan I (2005) Comparative lipid peroxidation, antioxidant defense systems and proline content in roots of two rice cultivars differing in salt tolerance. Environ Exper Bot 53(3):247–257
Dubois M, Gilles KA, Hamilton JK, Rebers P.t., Smith F (1956) Colorimetric method for determination of sugars and related substances. Anal Chem 28(3):350–356
Edmeades GO, 1996. Developing Drought and Low N-tolerant Maize: Proceedings of a Symposium, March 25–29, 1996, CIMMYT, El Batán, Mexico. CIMMYT
Edreva A (2005) Generation and scavenging of reactive oxygen species in chloroplasts: a submolecular approach. Agric Ecosyst Environ 106(2):119–133
Esfandiari E, Shakiba MR, Mahboob SA, Alyari H, Toorchi M (2007b) Water stress, antioxidant enzyme activity and lipid peroxidation in wheat seedling. J Food Agri Environ 5(1):149
Esfandiari E, Javadi A, Shokrpour M, Shekari F (2011) The effect of salt stress on the antioxidant defense mechanisms of two wheat (Triticum aestivum L.) cultivars. Fresen Environ Bull 20(8):2021–2026
Eyidogan F, Öz MT (2007) Effect of salinity on antioxidant responses of chickpea seedlings. Acta Physiol Plant 29(5):485–493
Flowers TJ, Gaur PM, Gowda C.L.L., Krishnamurthy L, Samineni S, Siddique K.H.M., Turner NC, Vadez V, Varshney RK, Colmer TD (2009) Salt sensitivity in chickpea. Plant cell Environ 33(4):490–509
Foyer CH, Halliwell B (1976) The presence of glutathione and glutathione reductase in chloroplasts: a proposed role in ascorbic acid metabolism. Planta 133(1):21–25
Foyer CH, Noctor G (2003) Redox sensing and signalling associated with reactive oxygen in chloroplasts, peroxisomes and mitochondria. Physiol Plant 119(3):355–364
Fridovich I (1989) Superoxide dismutases: An adaptation to a paramagnetic gas. J Biol Chem 264(14):7761–7764
García Limones C, Dorado G, Navas Cortés J, Jiménez Díaz R, Tena M (2009) Changes in the redox status of chickpea roots in response to infection by Fusarium oxysporum f. sp. ciceris: apoplastic antioxidant enzyme activities and expression of oxidative stress related genes. Plant Biol 11(2):194–203
Garratt LC, Janagoudar BS, Lowe KC, Anthony P, Power JB, Davey MR (2002) Salinity tolerance and antioxidant status in cotton cultures. Free Radic Biol Med 33(4):502–511
Gill SS, Tuteja N (2010) Reactive oxygen species and antioxidant machinery in abiotic stress tolerance in crop plants. Plant Physiol Biochem 48(12):909–930
Gomez J, Hernandez J, Jimenez A, Del Rio L, Sevilla F (1999) Differential response of antioxidative enzymes of chloroplasts and mitochondria to long-term NaCl stress of pea plants. Free Radical Res 31(1):11–18
Heath RL, Packer L (1968) Photoperoxidation in isolated chloroplasts: I. Kinetics and stoichiometry of fatty acid peroxidation. Arch Biochem Biophys 125(1):189–198
Hernandez J, Jimenez A, Mullineaux P, Sevilia F (2000) Tolerance of pea (Pisum sativum L.) to long-term salt stress is associated with induction of antioxidant defences. Plant Cell Environ 23(8):853–862
Hua XJ, Van De Cotte B, Van Montagu M, Verbruggen N (2001) The 5′ untranslated region of the At-P5R gene is involved in both transcriptional and post transcriptional regulation. Plant J 26(2):157–169
Jin S, Chen C, Plant A (2000) Regulation by ABA of osmotic stress induced changes in protein synthesis in tomato roots. Plant Cell Environ 23(1):51–60
Katsuhara M, Otsuka T, Ezaki B (2005) Salt stress-induced lipid peroxidation is reduced by glutathione S-transferase, but this reduction of lipid peroxides is not enough for a recovery of root growth in Arabidopsis. Plant Sci 169(2):369–373
Kavas M, Akça OE, Akçay UC, Peksel B, Eroğlu S, Öktem HA, Yücel M (2015) Antioxidant responses of peanut (Arachis hypogaea L.) seedlings to prolonged salt-induced stress. Arch Biol Sci 67(4):1303–1312
Kukreja S, Nandwal A, Kumar N, Sharma S, Unvi V, Sharma P (2005) Plant water status, H2O2 scavenging enzymes, ethylene evolution and membrane integrity of Cicer arietinum roots as affected by salinity. Biol Plantarum 49(2):305–308
Lichtenthaler HK, Buschmann C, 2001. Chlorophylls and Carotenoids: Measurement and Characterization by UV-VIS Spectroscopy. Curr. Protoc. Food Analyt. Chem Published Online
Mahajan S, Tuteja N (2005) Cold, salinity and drought stresses: an overview. Arch Biochem Biophys 444(2):139–158
Meloni DA, Gulotta MR, Martínez CA, Oliva MA (2004) The effects of salt stress on growth, nitrate reduction and proline and glycinebetaine accumulation in Prosopis alba. Braz J Plant Physiol 16(1):39–46
Meneguzzo S, Navam-Izzo F, Izzo R (1999) Antioxidative responses of shoots and roots of wheat to increasing NaCI concentrations. J plant physiol 155(2):274–280
Menezes-Benavente L, Teixeira FK, Alvim Kamei CL, Margis-Pinheiro M (2004a) Salt stress induces altered expression of genes encoding antioxidant enzymes in seedlings of a Brazilian indica rice (Oryza sativa L.). Plant Sci 166(2):323–331
Menezes-Benavente L, Teixeira FK, Kamei C.L.A., Margis-Pinheiro M (2004b) Salt stress induces altered expression of genes encoding antioxidant enzymes in seedlings of a Brazilian indica rice (Oryza sativa L.). Plant Sci 166(2):323–331
Mittal S, Kumari N, Sharma V (2012) Differential response of salt stress on Brassica juncea: photosynthetic performance, pigment, proline, D1 and antioxidant enzymes. Plant PhysiolBiochem 54:17–26
Mittler R (2002) Oxidative stress, antioxidants and stress tolerance. Trends Plant Sci 7(9):405–410
Mudgal V, Madaan N, Mudgal A, Mishra S (2009) Changes in growth and metabolic profile of Chickpea under salt stress. J appl biosci 23:1436–1446
Munns R (2002) Comparative physiology of salt and water stress. Plant Cell Environ 25(2):239–250
Munns R, Tester M (2008) Mechanisms of salinity tolerance. Annu Rev Plant Biol 59:651–681
Nakano Y, Asada K (1981) Hydrogen peroxide is scavenged by ascorbate-specific peroxidase in spinach chloroplasts. Plant Cell Physiol 22(5):867–880
Noctor G, Foyer CH (1998) Ascorbate and glutathione: keeping active oxygen under control. Annu Rev Plant Biol 49(1):249–279
Nounjan N, Nghia PT, Theerakulpisut P (2012) Exogenous proline and trehalose promote recovery of rice seedlings from salt-stress and differentially modulate antioxidant enzymes and expression of related genes. J Plant Physiol 169(6):596–604
Parida AK, Das AB (2005) Salt tolerance and salinity effects on plants: a review. Ecotoxicol Environ Saf 60(3):324–349
Parvaiz A, Satyawati S (2008) Salt stress and phyto-biochemical responses of plants-a review. Plant Soil Environ 54(3):89–99
Qilin D, Jin W, Bin F, Tingting L, Chen C, Honghui L, Shizhang D, 2009. Molecular cloning and characterization of a new peroxidase gene (OvRCI) from Orychophragmus violaceus. Afr J Biotechnol. 8(23)
Queirós F, Rodrigues JA, Almeida JM, Almeida DP, Fidalgo F (2011) Differential responses of the antioxidant defence system and ultrastructure in a salt-adapted potato cell line. Plant Physiol Biochem 49(12):1410–1419
Rasool S, Ahmad A, Siddiqi T, Ahmad P (2013) Changes in growth, lipid peroxidation and some key antioxidant enzymes in chickpea genotypes under salt stress. Acta Physiol Plant 35(4):1039–1050
Salin ML (1991) Chloroplast and mitochondrial mechanisms for protection against oxygen toxicity. Free Radic Res Commun 13(1):851–858
Saxena NP, Krishnamurthy L, Johansen C (1993) Registration of a drought-resistant chickpea germplasm. Crop Sci 33(6):1424–1424
Scandalios JG (1997) Molecular genetics of superoxide dismutases in plants. Cold Spring Harbor Monograph Arch 34:527–568
Shi H, Lee B-H, Wu S-J, Zhu J-K (2003) Overexpression of a plasma membrane Na+/H+ antiporter gene improves salt tolerance in Arabidopsis thaliana. Nature Biotechnol 21(1):81–85
Singh A (2004) The physiology of salt tolerance in four genotypes of chickpea during germination. J Agr Sci Tech 6:87–93
Takahashi M-A, Asada K (1983) Superoxide anion permeability of phospholipid membranes and chloroplast thylakoids. Arch Biochem Biophys 226(2):558–566
Valko M, Rhodes C, Moncol J, Izakovic M, Mazur M (2006) Free radicals, metals and antioxidants in oxidative stress-induced cancer. Chem Biol Interact 160(1):1–40
Van Camp W, Capiau K, Van Montagu M, Inze D, Slooten L (1996) Enhancement of oxidative stress tolerance in transgenic tobacco plants overproducing Fe-superoxide dismutase in chloroplasts. Plant Physiol 112(4):1703–1714
Varshney RK, Hiremath PJ, Lekha P, Kashiwagi J, Balaji J, Deokar AA, Vadez V, Xiao Y, Srinivasan R, Gaur PM (2009) A comprehensive resource of drought-and salinity-responsive ESTs for gene discovery and marker development in chickpea (Cicer arietinum L.). BMC Genomics 10(1):523
Yadav S, Irfan M, Ahmad A, Hayat S (2011) Causes of salinity and plant manifestations to salt stress: a review. J Environ Biol 32(5):667
Author information
Authors and Affiliations
Corresponding author
Rights and permissions
About this article
Cite this article
Arefian, M., Vessal, S., Malekzadeh Shafaroudi, S. et al. Comparative Analysis of the Reaction to Salinity of Different Chickpea (Cicer aretinum L.) Genotypes: A Biochemical, Enzymatic and Transcriptional Study. J Plant Growth Regul 37, 391–402 (2018). https://doi.org/10.1007/s00344-017-9737-z
Received:
Accepted:
Published:
Issue Date:
DOI: https://doi.org/10.1007/s00344-017-9737-z


