Abstract
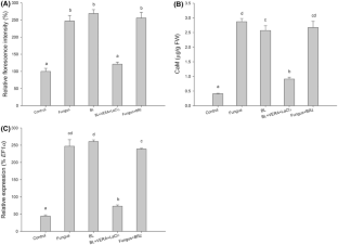
Using pharmacological and biochemical approaches, the signalling pathways between calcium (Ca2+)–calmodulin (CaM), brassinolide (BL), and nitric oxide (NO) for fungal endophyte-induced volatile oil accumulation were investigated in Atractylodes lancea plantlets. Gilmaniella sp. AL12 inoculation elevated the concentrations of BL, CaM, and [Ca2+]cyt, expression of the calmodulin 1 (CaM1) gene, and the levels of volatile oils. Treatment with AL12 or exogenous BL led to significant increases in the levels of cytosolic Ca2+ and CaM and CaM1 expression in plantlets. However, the upregulation of BL was almost completely blocked by pretreatments with CaM antagonists and Ca2+ channel blockers. Pretreatment with a BL inhibitor, brassinazole (BRz), did not influence the increase in levels of CaM induced by the endophyte. CaCl2-induced increases in NO generation, CaM antagonists, and Ca2+ channel blockers were able to suppress NO production, and the NO-specific scavenger was not able to suppress the generation of [Ca2+]cyt in plantlets. Exogenous BL was not able to induce NO generation, and BRz had no effect on NO generation. Our results suggest that Ca2+–CaM induced by this endophyte mediates NO generation and BL concentration, and also functions downstream of BL signalling, resulting in the upregulation of volatile oil accumulation in A. lancea plantlets.






Similar content being viewed by others
References
Asami T, Mizutani M, Fujioka S, Goda H, YongKi Min, Shimada Y, Nakano T, Takatsuto S, Matsuyama T, Nagata N, Sakata K, Yoshida S (2001) Selective interaction of triazole derivatives with DWF4, a cytochrome P450 monooxygenase of the brassinosteroid biosynthetic pathway, correlates with brassinosteroid deficiency in planta. J Biol Chem 276:25687–25691
Bajguz A (2007) Metabolism of brassinosteroids in plants. Plant Physiol Biochem 45:95–107
Bajguz A, Asami T (2005) Suppression of Wolffia arrhiza growth by brassinazole, an inhibitor of brassinosteroid biosynthesis and its restoration by endogenous 24-epibrassinolide. Phytochemistry 66:1787–1796
Blume B, Nürnberger T, Nass N, Scheel D (2000) Receptor-mediated increase in cytoplasmic free calcium required for activation of pathogen defence in parsley. Plant Cell 12:1425–1440
Bouche N, Yellin A, Snedden WA, Fromm H (2005) Plant-specific calmodulin-binding proteins. Annu Rev Plant Biol 56:435–466
Corpas FJ, Barroso JB, Carreras A, Quiros M, Leon AM, Romero Puertas MC, Esteban FJ, Valderrama R, Palma JM, Sandalio LM, Gomez M, Rio LA (2004) Cellular and subcellular localization of endogenous nitric oxide in young and senescent pea plants. Plant Physiol 136:2722–2733
DeFalco TA, Bender KW, Snedden WA (2009) Breaking the code: Ca2+ sensors in plant signalling. Biochem J 425:27–40
del Río LA, Corpas FJ, Barroso JB (2004) Nitric oxide and nitric oxide synthase activity in plants. Phytochemistry 65:783–792
Dong H, Beer SV (2000) Riboflavin induces disease resistance in plants by activating a novel signal transduction pathway. Phytopathology 90:801–811
Du L, Poovaiah BW (2005) Ca2+/calmodulin is critical for brassinosteroid biosynthesis and plant growth. Nature 437:741–745
Duan JA, Wang LY, Qian SH, Su SL, Tang YP (2008) A new cytotoxic prenylated dihydrobenzofuran derivative and other chemical constituents from the rhizomes of Atractylodes lancea DC. Arch Pharm Res 31:965–969
Fang F, Dai CC, Zhang B, Liang QL (2009) Establishment of suspension cell line of Atractylodes lancea and effect of endophytic fungal elicitors on its essential oil accumulation. Chin Tradit Herb Drugs 40:452–455 [in Chinese]
Frohnmeyer H, Loyall L, Blatt MR, Grabov A (1999) Millisecond UV-B irradiation evokes prolonged elevation of cytosolic free Ca2+ and stimulates gene expression in transgenic parsley cell cultures. Plant J 20:109–117
Gao FK, Ren CG, Dai CC (2012) Signaling effects of nitric oxide, salicylic acid, and reactive oxygen species on isoeuphpekinensin accumulation in euphorbia pekinensis suspension cells induced by an endophytic fungal elicitor. J Plant Growth Regul 31:490–497
Gong M, van der Luit AH, Knight MR, Trewavas AJ (1998) Heatshock-induced changes in intracellular Ca2+ level in tobacco seedling in relation to thermotolerance. Plant Physiol 116:429–437
Hahlbrock K, Bednarek P, Ciolkowski I, Hamberger B, Heise A, Liedgens H, Logemann E, Nurnberger T, Schmelzer E, Somssich IE, Tan JW (2003) Non-self recognition, transcriptional reprogramming, and secondary metabolite accumulation during plant/pathogen interactions. Proc Natl Acad Sci USA 100:14569–14576
Hao GP, Du XH, Zhao FX, Ji HW (2010) Fungal endophytes-induced abscisic acid is required for flavonoid accumulation in suspension cells of Ginkgo biloba. Biotechnol Lett 32(2):305–314
Jana S, Ondrěj N, Eva H, Květoslava F, Miroslav S, Ladislav K, Miroslav S (2007) New techniques for estimation of naturally occurring brassinosteroids. J Plant Growth Regul 26:1–14
John MM, Jeffery LD (2000) Signal transduction in the plant immune response. Trends Biochem Sci 25:79–82
Kagale S, Divi UK, Krochko JE, Keller WA, Krishna P (2007) Brassinosteroid confers tolerance in Arabidopsis thaliana and Brassica napus to a range of abiotic stresses. Planta 225:353–364
Lamotte O, Courtois C, Barnavon L, Pugin A, Wendehenne D (2005) Nitric oxide in plants: the biosynthesis and cell signaling properties of a fascinating molecule. Planta 221:1–4
Lewis GC (2004) Effects of biotic and abiotic stress on the growth of three genotypes of Lolium perenne with and without infection by the fungal endophyte Neotyphodium lolii. Ann Appl Biol 144:53–63
Li YC, Tao WY (2009) Interactions of taxol-producing endophytic fungus with its host (Taxus spp.) during taxol accumulation. Cell Biol Int 33:106–112
Mur LA, Kenton P, Atzorn R, Miersch O, Wasternack C (2006) The outcomes of concentration-specific interactions between salicylate and jasmonate signaling include synergy, antagonism, and oxidative stress leading to cell death. Plant Physiol 140:249–262
Murashige T, Skoog F (1962) A revised medium for rapid growth and bioassays with tobacco tissue culture. Physiol Plant 15:473–479
Neill SJ, Desikan R, Hancock JT (2003) Nitric oxide signaling in plants. New Phytol 159:11–35
Ren CG, Dai CC (2012) Jasmonic acid is involved in the signaling pathway for fungal endophyte-induced volatile oil accumulation of Atractylodes lancea plantlets. BMC Plant Biol 12:128
Reymond P, Farmer EE (1998) Jasmonate and salicylate as global signals for defense gene expression. Curr Opin Plant Biol 1:404–411
Saunders M, Kohn LM (2009) Evidence for alteration of fungal endophyte community assembly by host defense compounds. New Phytol 182:229–238
Schroeder JI, Allen GJ, Hugouvieux V, Kwak JM, Waner D (2001) Guard cell signal transduction. Annu Rev Plant Physiol 52:627–658
Shang ZL, Ma LG, Zhang HL, He RR, Wang XX, Cui SJ, Sun DY (2005) Ca2+ influx into lily pollen grains through a hyperpolarization-activated Ca2+-permeable channel which can be regulated by extracellular CaM. Plant Cell Physiol 46:598–608
Snedden WA, Fromm H (2001) Calmodulin as a versatile calcium signal transducer in plants. New Phytol 151:35–66
Sun DY, Bian YQ, Zhao BH, Zhao LY, Yu XM, Duan SJ (1995) The effects of extracellular calmodulin on cell wall regeneration of protoplasts and cell division. Plant Cell Physiol 36:133–138
Suryanarayanana TS, Thirunavukkarasub N, Govindarajulub MB, Sassec F, Jansend R, Muralia TS (2009) Fungal endophytes and bioprospecting. Fungal Biol Rev 23:9–19
Vega FE, Posada F, Aime MC, Pava-Ripoll M, Infante F, Rehner SA (2008) Entomopathogenic fungal endophytes. Biol Control 46:72–82
Wang Y, Dai CC, Chen Y (2009) Antimicrobial activity of volatile oil from Atractylodes lancea against three species of endophytic fungi and seven species of exogenous fungi. Chin J Appl Ecol 20:2778–2784 [in Chinese]
Wang Y, Dai CC, Zhao YW, Peng Y (2011) Fungal endophyte-induced volatile oil accumulation in Atractylodes lancea plantlets is mediated by nitric oxide, salicylic acid and hydrogen peroxide. Process Biochem 46:730–735
Wang LW, Xu BG, Wang JY, Su ZZ, Lin FC, Zhang CL, Kubicek CP (2012) Bioactive metabolites from Phoma species, an endophytic fungus from the Chinese medicinal plant Arisaema erubescens. Appl Microb Cell Physiol 93:1231–1239
Wendehenne D, Durner J, Klessig DF (2004) Nitric oxide: a new player in plant signalling and defence responses. Curr Opin Plant Biol 7:449–455
Xia XJ, Wang YJ, Zhou YH, Tao Y, Mao WH, Shi K, Tadao A, Chen ZX, Yu JQ (2009) Reactive oxygen species are involved in brassinosteroid-induced stress tolerance in cucumber. Plant Physiol 150:801–814
Xu MJ, Dong JF (2006) Nitric oxide mediates the fungal elicitor-induced Taxol biosynthesis of Taxus chinensis suspension cells through the reactive oxygen species-dependent and -independent signal pathways. Chin Sci Bull 51:1967–1975
Yang T, Poovaiah BW (2003) Calcium/calmodulin-mediated signal network in plants. Trends Plant Sci 8:505–512
Yuan Y, Liu YJ, Huang LQ, Cui GH, Fu GF (2009) Soil acidity elevates some phytohormone and β-eudesmol contents in roots of Atractylodes lancea. Russ J Plant Physiol 56:133–137
Zhang L, Lu YT (2003) Calmodulin-binding protein kinases in plants. Trends Plant Sci 8:123–127
Zhang WH, Rengel Z, Kuo J (1998) Determination of intracellular Ca2+ in cells of intact wheat roots: loading of acetoxymethyl ester of Fluo-3 under low temperature. Plant J 15:147–151
Zhang B, Dai CC, Fang F, Chen JX (2009) Effects of three species endophytic fungi on Atractylodes lancea growth and its essential oil composition. Chin J Ecol 28:704–709 [in Chinese]
Acknowledgments
We are grateful to the National Natural Science Foundation of China (NSFC, Nos. 31070443 and 30970523). We also express our great thanks to the reviewers and editorial staff for their time and attention.
Author information
Authors and Affiliations
Corresponding author
Rights and permissions
About this article
Cite this article
Ren, CG., Chen, Y. & Dai, CC. Cross-Talk Between Calcium–Calmodulin and Brassinolide for Fungal Endophyte-Induced Volatile Oil Accumulation of Atractylodes lancea Plantlets. J Plant Growth Regul 33, 285–294 (2014). https://doi.org/10.1007/s00344-013-9370-4
Received:
Accepted:
Published:
Issue Date:
DOI: https://doi.org/10.1007/s00344-013-9370-4


