Skip to main content

Development and validation of a CT-based nomogram for preoperative prediction of clear cell renal cell carcinoma grades

Abstract

Objectives

Nuclear grades are proved to be one of the most significant prognostic factors for clear cell renal cell carcinoma (ccRCC). Radiomics nomogram is a widely used noninvasive tool that could predict tumor phenotypes. In this study, we performed radiomics analysis to develop and validate a CT-based nomogram for the preoperative prediction of nuclear grades in ccRCC.

Method

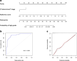
CT images and clinical data of 258 ccRCC patients were retrieved from the Cancer Imaging Archive (TCIA). Radiomics features were extracted from arterial-phase CT images using 3D Slicer software. LASSO regression model was performed to develop a radiomics signature in the training set (n = 143). A radiomics nomogram was constructed combining radiomics signature and selected clinical predictors. Receiver operating characteristic (ROC) curve and calibration curve were used to determine the performance of the radiomics nomogram in the training and validation set (n = 115). Decision curve analysis was used to assess the clinical usefulness of the CT-based nomogram.

Results

One thousand three hundred sixteen radiomics features were extracted from arterial-phase CT images. A radiomics signature, consisting of 20 features, was developed and showed a favorable performance in discriminating nuclear grades with an area under the curve (AUC) of 0.914 and 0.846 in the training and validation set, respectively. The CT-based nomogram, including the radiomics signature and the CT-determined T stage, achieved good calibration and discrimination in the training set (AUC, 0.929; 95% CI, 0.886–0.972) and validation set (AUC, 0.876; 95% CI, 0.812–0.939). Decision curve analysis demonstrated the clinical usefulness of the CT-based nomogram.

Conclusion

The noninvasive CT-based nomogram, including radiomics signature and CT-determined T stage, could improve the accuracy of preoperative grading of ccRCC and provide individualized treatment for ccRCC patients.

Key Points

Contrast-enhanced CT may help in preoperative grading of ccRCC.

• The CT-based nomogram incorporated a radiomics signature and CT-determined T stage could preoperatively predict ccRCC grades.

• The CT-based nomogram has the potential to improve individualized treatment and assist clinical decision making of ccRCC patients.

This is a preview of subscription content, access via your institution.

Fig. 1
Fig. 2
Fig. 3
Fig. 4
Fig. 5
Fig. 6

Abbreviations

AUC:

Area under the curve

ccRCC:

Clear cell renal cell carcinoma

CI:

Confidence interval

CT:

Computed tomography

LASSO:

The least absolute shrinkage and selection operator

MRI:

Magnetic resonance imaging

PET-CT:

Positron emission tomography-computed tomography

RCC:

Renal cell carcinoma

ROC:

Receiver operating characteristic

ROI:

Region of interest

TCIA:

The Cancer Imaging Archive

References

  1. Siegel RL, Miller KD, Jemal A (2019) Cancer statistics, 2019. CA Cancer J Clin 69:7–34. https://doi.org/10.3322/caac.21551

    Article  PubMed  Google Scholar 

  2. Capitanio U, Montorsi F (2016) Renal cancer. Lancet 387:894–906. https://doi.org/10.1016/S0140-6736(15)00046-X

    Article  PubMed  Google Scholar 

  3. Dagher J, Delahunt B, Rioux-Leclercq N et al (2017) Clear cell renal cell carcinoma: validation of World Health Organization/International Society of Urological Pathology grading. Histopathology 71:918–925. https://doi.org/10.1111/his.13311

    Article  PubMed  Google Scholar 

  4. Moch H, Cubilla AL, Humphrey PA, Reuter VE, Ulbright TM (2016) The 2016 WHO classification of tumours of the urinary system and male genital organs—part a: renal, penile, and testicular tumours. Eur Urol 70:93–105. https://doi.org/10.1016/j.eururo.2016.02.029

    Article  PubMed  Google Scholar 

  5. Delahunt B, Eble JN, Egevad L, Samaratunga H (2019) Grading of renal cell carcinoma. Histopathology 74:4–17. https://doi.org/10.1111/his.13735

    Article  PubMed  Google Scholar 

  6. Novara G, Martignoni G, Artibani W, Ficarra V (2007) Grading systems in renal cell carcinoma. J Urol 177:430–436. https://doi.org/10.1016/j.juro.2006.09.034

    Article  PubMed  Google Scholar 

  7. Lambin P, Leijenaar RTH, Deist TM et al (2017) Radiomics: the bridge between medical imaging and personalized medicine. Nat Rev Clin Oncol 14:749–762. https://doi.org/10.1038/nrclinonc.2017.141

    Article  PubMed  Google Scholar 

  8. Gillies RJ, Kinahan PE, Hricak H (2016) Radiomics: images are more than pictures, they are data. Radiology 278:563–577. https://doi.org/10.1148/radiol.2015151169

    Article  PubMed  Google Scholar 

  9. Lambin P, Rios-Velazquez E, Leijenaar R et al (2012) Radiomics: extracting more information from medical images using advanced feature analysis. Eur J Cancer 48:441–446. https://doi.org/10.1016/j.ejca.2011.11.036

    Article  PubMed  PubMed Central  Google Scholar 

  10. Wu S, Zheng J, Li Y et al (2017) A radiomics nomogram for the preoperative prediction of lymph node metastasis in bladder cancer. Clin Cancer Res 23:6904–6911. https://doi.org/10.1158/1078-0432.CCR-17-1510

    CAS  Article  PubMed  Google Scholar 

  11. Zheng J, Kong J, Wu S et al (2019) Development of a noninvasive tool to preoperatively evaluate the muscular invasiveness of bladder cancer using a radiomics approach. Cancer 125:4388–4398. https://doi.org/10.1002/cncr.32490

    Article  PubMed  Google Scholar 

  12. Jiang Y, Yuan Q, Lv W et al (2018) Radiomic signature of 18F fluorodeoxyglucose PET/CT for prediction of gastric cancer survival and chemotherapeutic benefits. Theranostics 8:5915–5928. https://doi.org/10.7150/thno.28018

    Article  PubMed  PubMed Central  Google Scholar 

  13. Shu J, Tang Y, Cui J et al (2018) Clear cell renal cell carcinoma: CT-based radiomics features for the prediction of Fuhrman grade. Eur J Radiol 109:2–12. https://doi.org/10.1016/j.ejrad.2018.10.005

    Article  Google Scholar 

  14. Vargas HA, Delaney HG, Delappe EM et al (2013) Multiphasic contrast-enhanced MRI: single-slice versus volumetric quantification of tumor enhancement for the assessment of renal clear-cell carcinoma Fuhrman grade. J Magn Reson Imaging 37:1160–1167. https://doi.org/10.1002/jmri.23899

    Article  PubMed  Google Scholar 

  15. Cui E, Li Z, Ma C et al (2020) Predicting the ISUP grade of clear cell renal cell carcinoma with multiparametric MR and multiphase CT radiomics. Eur Radiol 30:2912–2921. https://doi.org/10.1007/s00330-019-06601-1

    Article  PubMed  Google Scholar 

  16. Clark K, Vendt B, Smith K et al (2013) The cancer imaging archive (TCIA): maintaining and operating a public information repository. J Digit Imaging 26:1045–1057. https://doi.org/10.1007/s10278-013-9622-7

    Article  PubMed  PubMed Central  Google Scholar 

  17. Creighton CJ, Morgan M, Gunaratne PH et al (2013) Comprehensivemolecular characterization of clear cell renal cell carcinoma. Nature 499:43–49. https://doi.org/10.1038/nature12222

    CAS  Article  Google Scholar 

  18. Huang YQ, Liang CH, He L et al (2016) Development and validation of a radiomics nomogram for preoperative prediction of lymph node metastasis in colorectal cancer. J Clin Oncol 34:2157–2164. https://doi.org/10.1200/JCO.2015.65.9128

    Article  PubMed  Google Scholar 

  19. Yang L, Dong D, Fang M et al (2018) Can CT-based radiomics signature predict KRAS/NRAS/BRAF mutations in colorectal cancer? Eur Radiol 28:2058–2067. https://doi.org/10.1007/s00330-017-5146-8

    Article  PubMed  Google Scholar 

  20. Lu CF, Hsu FT, Hsieh KLC et al (2018) Machine learning–based radiomics for molecular subtyping of gliomas. Clin Cancer Res 24:4429–4436. https://doi.org/10.1158/1078-0432.CCR-17-3445

    Article  PubMed  Google Scholar 

  21. Peeken JC, Spraker MB, Knebel C et al (2019) Tumor grading of soft tissue sarcomas using MRI-based radiomics. EBioMedicine 48:332–340. https://doi.org/10.1016/j.ebiom.2019.08.059

    Article  PubMed  PubMed Central  Google Scholar 

  22. Liang W, Yang P, Huang R et al (2019) A combined nomogram model to preoperatively predict histologic grade in pancreatic neuroendocrine tumors. Clin Cancer Res 25:584–594. https://doi.org/10.1158/1078-0432.CCR-18-1305

    Article  PubMed  Google Scholar 

  23. Wu M, Tan H, Gao F et al (2019) Predicting the grade of hepatocellular carcinoma based on non-contrast-enhanced MRI radiomics signature. Eur Radiol 29:2802–2811. https://doi.org/10.1007/s00330-018-5787-2

    Article  PubMed  Google Scholar 

  24. Paik S, Shak S, Tang G et al (2004) A multigene assay to predict recurrence of tamoxifen-treated, node-negative breast cancer. N Engl J Med 351:2817–2826. https://doi.org/10.1056/NEJMoa041588

    CAS  Article  PubMed  Google Scholar 

  25. Sparano JA, Gray RJ, Makower DF et al (2015) Prospective validation of a 21-gene expression assay in breast cancer. N Engl J Med 373:2005–2014. https://doi.org/10.1056/NEJMoa1510764

    CAS  Article  PubMed  PubMed Central  Google Scholar 

  26. Smith SC, Baras AS, Dancik G et al (2011) A 20-gene model for molecular nodal staging of bladder cancer: development and prospective assessment. Lancet Oncol 12:137–143. https://doi.org/10.1016/S1470-2045(10)70296-5

    Article  PubMed  PubMed Central  Google Scholar 

  27. Mínguez B, Hoshida Y, Villanueva A et al (2011) Gene-expression signature of vascular invasion in hepatocellular carcinoma. J Hepatol 55:1325–1331. https://doi.org/10.1016/j.jhep.2011.02.034

    CAS  Article  PubMed  PubMed Central  Google Scholar 

  28. Liang W, Zhang L, Jiang G et al (2015) Development and validation of a nomogram for predicting survival in patients with resected non-small-cell lung cancer. J Clin Oncol 33:861–869. https://doi.org/10.1200/JCO.2014.56.6661

    Article  PubMed  Google Scholar 

  29. Park H, Lim Y, Ko ES et al (2018) Radiomics signature on magnetic resonance imaging: association with disease-free survival in patients with invasive breast cancer. Clin Cancer Res 24:4705–4714. https://doi.org/10.1158/1078-0432.CCR-17-3783

    Article  PubMed  Google Scholar 

  30. Balachandran VP, Gonen M, Smith JJ, DeMatteo RP (2015) Nomograms in oncology: more than meets the eye. Lancet Oncol 16:e173–e180. https://doi.org/10.1016/S1470-2045(14)71116-7

    Article  PubMed  PubMed Central  Google Scholar 

Download references

Acknowledgments

We thank The Cancer Imaging Archive (TCIA) and The Cancer Genome Atlas (TCGA) for the computed tomography data sets.

Funding

This study was supported by the National Natural Science Foundation of China (No. 81672534).

Author information

Affiliations

Authors

Corresponding author

Correspondence to Wenlian Xie.

Ethics declarations

Guarantor

The scientific guarantor of this publication is Wenlian Xie.

Conflict of interest

The authors of this manuscript declare no relationships with any companies whose products or services may be related to the subject matter of the article.

Statistics and biometry

No complex statistical methods were necessary for this paper.

Informed consent

Informed consent was not required since TCIA data contained no personal identifying information.

Ethical approval

Institutional Review Board approval was obtained.

Methodology

• Retrospective

• Diagnostic or prognostic study

• Performed at one institution

Additional information

Publisher’s note

Springer Nature remains neutral with regard to jurisdictional claims in published maps and institutional affiliations.

Supplementary information

ESM 1

(DOCX 338 kb)

Rights and permissions

Reprints and Permissions

About this article

Verify currency and authenticity via CrossMark

Cite this article

Zheng, Z., Chen, Z., Xie, Y. et al. Development and validation of a CT-based nomogram for preoperative prediction of clear cell renal cell carcinoma grades. Eur Radiol 31, 6078–6086 (2021). https://doi.org/10.1007/s00330-020-07667-y

Download citation

  • Received:

  • Revised:

  • Accepted:

  • Published:

  • Issue Date:

  • DOI: https://doi.org/10.1007/s00330-020-07667-y

Keywords

  • Tomography
  • Nomograms
  • Renal cell carcinoma
  • Neoplasm grading