Abstract
Objective
To explore the natural history of pulmonary subsolid nodules (SSNs) with different pathological types by deep learning–assisted nodule segmentation.
Methods
Between June 2012 and June 2019, 95 resected SSNs with preoperative long-term follow-up were enrolled in this retrospective study. SSN detection and segmentation were performed on preoperative follow-up CTs using the deep learning–based Dr. Wise system. SSNs were categorized into invasive adenocarcinoma (IAC, n = 47) and non-IAC (n = 48) groups; according to the interval change during the preoperative follow-up, SSNs were divided into growth (n = 68), nongrowth (n = 22), and new emergence (n = 5) groups. We analyzed the cumulative percentages and pattern of SSN growth and identified significant factors for IAC diagnosis and SSN growth.
Results
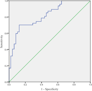
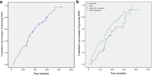
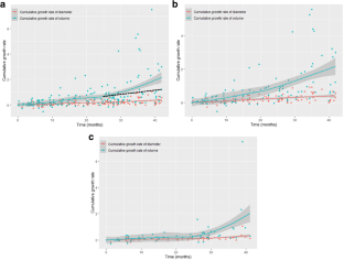
The mean preoperative follow-up was 42.1 ± 17.0 months. More SSNs showed growth or new emergence in the IAC than in the non-IAC group (89.4% vs. 64.6%, p = 0.009). Volume doubling time was non-significantly shorter for IACs than for non-IACs (1436.0 ± 1188.2 vs. 2087.5 ± 1799.7 days, p = 0.077). Median mass doubling time was significantly shorter for IACs than for non-IACs (821.7 vs. 1944.1 days, p = 0.001). Lobulated sign (p = 0.002) and SSN mass (p = 0.004) were significant factors for differentiating IACs. IACs showed significantly higher cumulative growth percentages than non-IACs in the first 70 months of follow-up. The growth pattern of SSNs may conform to the exponential model. The initial volume (p = 0.042) was a predictor for SSN growth.
Conclusions
IACs appearing as SSNs showed an indolent course. The mean growth rate was larger for IACs than for non-IACs. SSNs with larger initial volume are more likely to grow.
Key Points
• Invasive adenocarcinomas (IACs) appearing as subsolid nodules (SSNs), with a mean volume doubling time (VDT) of 1436.0 ± 1188.2 days and median mass doubling time (MDT) of 821.7 days, showed an indolent course.
• The VDT was shorter for IACs than for non-IACs (1436.0 ± 1188.2 vs. 2087.5 ± 1799.7 days), but the difference was not significant (p = 0.077). The median MDT was significantly shorter for IACs than for non-IACs (821.7 vs. 1944.1 days, p = 0.001).
• SSNs with lobulated sign and larger mass (> 390.5 mg) may very likely be IACs. SSNs with larger initial volume are more likely to grow.






Abbreviations
- AAH:
-
Atypical adenomatous hyperplasia
- AIS:
-
Adenocarcinoma in situ
- CI:
-
Confidence interval
- EGFR:
-
Epidermal growth factor receptor
- FF:
-
Focal fibrosis
- IAC:
-
Invasive adenocarcinoma
- MDT:
-
Mass doubling time
- MIA:
-
Minimally invasive adenocarcinoma
- OR:
-
Odds ratio
- pGGN:
-
Pure ground-glass nodule
- PSN:
-
Part-solid nodule
- SSN:
-
Subsolid nodule
- VDT:
-
Volume doubling time
References
MacMahon H, Naidich DP, Goo JM et al (2017) Guidelines for management of incidental pulmonary nodules detected on CT images: from the Fleischner Society 2017. Radiology 284(1):228–243
Bueno J, Landeras L, Chung JH (2018) Updated Fleischner Society Guidelines for Managing Incidental Pulmonary Nodules: common questions and challenging scenarios. Radiographics 38(5):1337–1350
Travis WD, Asamura H, Bankier AA et al (2016) The IASLC Lung Cancer Staging Project: proposals for coding T categories for subsolid nodules and assessment of tumor size in part-solid tumors in the forthcoming eighth edition of the TNM classification of lung cancer. J Thorac Oncol 11(8):1204–1223
Aoki T (2015) Growth of pure ground-glass lung nodule detected at computed tomography. J Thorac Dis 7(9):E326–E328
Song YS, Park CM, Park SJ, Lee SM, Jeon YK, Goo JM (2014) Volume and mass doubling times of persistent pulmonary subsolid nodules detected in patients without known malignancy. Radiology 273(1):276–284
Qi LL, Wu BT, Tang W et al (2020) Long-term follow-up of persistent pulmonary pure ground-glass nodules with deep learning-assisted nodule segmentation. Eur Radiol 30(2):744–755
Li X, Zhang W, Yu Y et al (2020) CT features and quantitative analysis of subsolid nodule lung adenocarcinoma for pathological classification prediction. BMC Cancer 20(1):60
Gong J, Liu J, Hao W et al (2020) A deep residual learning network for predicting lung adenocarcinoma manifesting as ground-glass nodule on CT images. Eur Radiol 30(4):1847–1855
Qi L, Lu W, Yang L et al (2019) Qualitative and quantitative imaging features of pulmonary subsolid nodules: differentiating invasive adenocarcinoma from minimally invasive adenocarcinoma and preinvasive lesions. J Thorac Dis 11(11):4835–4846
Chen X, Feng B, Chen Y et al (2019) Whole-lesion computed tomography-based entropy parameters for the differentiation of minimally invasive and invasive adenocarcinomas appearing as pulmonary subsolid nodules. J Comput Assist Tomogr 43(5):817–824
Gao C, Xiang P, Ye J, Pang P, Wang S, Xu M (2019) Can texture features improve the differentiation of infiltrative lung adenocarcinoma appearing as ground glass nodules in contrast-enhanced CT? Eur J Radiol 117:126–131
Zhan Y, Peng X, Shan F et al (2019) Attenuation and morphologic characteristics distinguishing a ground-glass nodule measuring 5-10 mm in diameter as invasive lung adenocarcinoma on thin-slice CT. AJR Am J Roentgenol 213(4):W162–W170
Luo T, Xu K, Zhang Z, Zhang L, Wu S (2019) Radiomic features from computed tomography to differentiate invasive pulmonary adenocarcinomas from non-invasive pulmonary adenocarcinomas appearing as part-solid ground-glass nodules. Chin J Cancer Res 31(2):329–338
Yang Y, Li K, Sun D et al (2019) Invasive pulmonary adenocarcinomas versus preinvasive lesions appearing as pure ground-glass nodules: differentiation using enhanced dual-source dual-energy CT. AJR Am J Roentgenol 213(3):W114–W122
Yu J, Zhu S, Ge Z et al (2018) Multislice spiral computed tomography in the differential diagnosis of ground-glass opacity. J Cancer Res Ther 14(1):128–132
Liu Y, Sun H, Zhou F et al (2017) Imaging features of TSCT predict the classification of pulmonary preinvasive lesion, minimally and invasive adenocarcinoma presented as ground glass nodules. Lung Cancer 108:192–197
Moon Y, Sung SW, Lee KY, Sim SB, Park JK (2016) Pure ground-glass opacity on chest computed tomography: predictive factors for invasive adenocarcinoma. J Thorac Dis 8(7):1561–1570
Kitami A, Sano F, Hayashi S et al (2016) Correlation between histological invasiveness and the computed tomography value in pure ground-glass nodules. Surg Today 46(5):593–598
Si MJ, Tao XF, Du GY et al (2016) Thin-section computed tomography-histopathologic comparisons of pulmonary focal interstitial fibrosis, atypical adenomatous hyperplasia, adenocarcinoma in situ, and minimally invasive adenocarcinoma with pure ground-glass opacity. Eur J Radiol 85(10):1708–1715
Lim HJ, Ahn S, Lee KS et al (2013) Persistent pure ground-glass opacity lung nodules ≥ 10 mm in diameter at CT scan: histopathologic comparisons and prognostic implications. Chest 144(4):1291–1299
Lee SM, Park CM, Goo JM, Lee HJ, Wi JY, Kang CH (2013) Invasive pulmonary adenocarcinomas versus preinvasive lesions appearing as ground-glass nodules: differentiation by using CT features. Radiology 268(1):265–273
Lee HW, Jin KN, Lee JK et al (2019) Long-term follow-up of ground-glass nodules after 5 years of stability. J Thorac Oncol 14(8):1370–1377
Yoon HY, Bae JY, Kim Y et al (2019) Risk factors associated with an increase in the size of ground-glass lung nodules on chest computed tomography. Thorac Cancer 10(7):1544–1551
Shi Z, Deng J, She Y et al (2019) Quantitative features can predict further growth of persistent pure ground-glass nodule. Quant Imaging Med Surg 9(2):283–291
Sun Q, Huang Y, Wang J et al (2019) Applying CT texture analysis to determine the prognostic value of subsolid nodules detected during low-dose CT screening. Clin Radiol 74(1):59–66
Borghesi A, Scrimieri A, Michelini S et al (2019) Quantitative CT analysis for predicting the behavior of part-solid nodules with solid components less than 6 mm: size, density and shape descriptors. Appl Sci 9(16):3428
Tang EK, Chen CS, Wu CC et al (2019) Natural history of persistent pulmonary subsolid nodules: long-term observation of different interval growth. Heart Lung Circ 28(11):1747–1754
Kakinuma R, Noguchi M, Ashizawa K et al (2016) Natural history of pulmonary subsolid nodules: a prospective multicenter study. J Thorac Oncol 11(7):1012–1028
Bak SH, Lee HY, Kim JH et al (2016) Quantitative CT scanning analysis of pure ground-glass opacity nodules predicts further CT scanning change. Chest 149(1):180–191
Cho J, Kim ES, Kim SJ et al (2016) Long-term follow-up of small pulmonary ground-glass nodules stable for 3 years: implications of the proper follow-up period and risk factors for subsequent growth. J Thorac Oncol 11(9):1453–1459
Lee JH, Park CM, Lee SM, Kim H, McAdams HP, Goo JM (2016) Persistent pulmonary subsolid nodules with solid portions of 5 mm or smaller: their natural course and predictors of interval growth. Eur Radiol 26(6):1529–1537
Kobayashi Y, Sakao Y, Deshpande GA et al (2014) The association between baseline clinical-radiological characteristics and growth of pulmonary nodules with ground-glass opacity. Lung Cancer 83(1):61–66
Eguchi T, Kondo R, Kawakami S et al (2014) Computed tomography attenuation predicts the growth of pure ground-glass nodules. Lung Cancer 84(3):242–247
Tamura M, Shimizu Y, Yamamoto T, Yoshikawa J, Hashizume Y (2014) Predictive value of one-dimensional mean computed tomography value of ground-glass opacity on high-resolution images for the possibility of future change. J Thorac Oncol 9(4):469–472
Chang B, Hwang JH, Choi YH et al (2013) Natural history of pure ground-glass opacity lung nodules detected by low-dose CT scan. Chest 143(1):172–178
Matsuguma H, Mori K, Nakahara R et al (2013) Characteristics of subsolid pulmonary nodules showing growth during follow-up with CT scanning. Chest 143(2):436–443
Lee SW, Leem CS, Kim TJ et al (2013) The long-term course of ground-glass opacities detected on thin-section computed tomography. Respir Med 107(6):904–910
Kobayashi Y, Fukui T, Ito S et al (2013) How long should small lung lesions of ground-glass opacity be followed? J Thorac Oncol 8(3):309–314
Oda S, Awai K, Murao K et al (2011) Volume-doubling time of pulmonary nodules with ground glass opacity at multidetector CT: assessment with computer-aided three-dimensional volumetry. Acad Radiol 18(1):63–69
Travis WD, Brambilla E, Nicholson AG et al (2015) The 2015 World Health Organization classification of lung tumors: impact of genetic, clinical and radiologic advances since the 2004 classification. J Thorac Oncol 10(9):1243–1260
de Hoop B, Gietema H, van de Vorst S, Murphy K, van Klaveren RJ, Prokop M (2010) Pulmonary ground-glass nodules: increase in mass as an early indicator of growth. Radiology 255(1):199–206
American College of Radiology (2019) Lung CT Screening Reporting & Data System (Lung-RADS Version 1.1). Available via https://www.acr.org/-/media/ACR/Files/RADS/Lung-RADS/LungRADSAssessmentCategoriesv1-1.pdf. Accessed 4 July 2020
National Comprehensive Cancer Network (2020) Clinical Practice Guidelines in Oncology (NCCN Guidelines). Version 1.2020 Lung Cancer Screening. Available via https://www.nccn.org/professionals/physician_gls/Default.aspx. Accessed 19 July 2020
International Early Lung Cancer Action Program protocol (2016) Available via http://www.ielcap.org/sites/default/files/I-ELCAP-protocol.pdf. Accessed 19 July 2020
Lee JH, Park CM, Kim H, Hwang EJ, Park J, Goo JM (2017) Persistent part-solid nodules with solid part of 5 mm or smaller: can the “follow-up and surgical resection after interval growth” policy have a negative effect on patient prognosis? Eur Radiol 27(1):195–202
Yankelevitz DF, Yip R, Smith JP et al (2015) CT screening for lung cancer: Nonsolid nodules in baseline and annual repeat rounds. Radiology 277(2):555–564
Detterbeck FC, Gibson CJ (2008) Turning gray: the natural history of lung cancer over time. J Thorac Oncol 3(7):781–792
Acknowledgements
We would like to thank Dr. Chang-Fa Xia (Department of Cancer Epidemiology, National Cancer Center/National Clinical Research Center for Cancer/Cancer Hospital, Chinese Academy of Medical Sciences and Peking Union Medical College, Beijing, China) and Dr. Zhang-Yan Lyu (Office of Cancer Screening, National Cancer Center/National Clinical Research Center for Cancer/Cancer Hospital, Chinese Academy of Medical Sciences and Peking Union Medical College, Beijing, China) for their statistical assistance.
Funding
This study has received funding from the National Key R&D Program of China (2017YFC1308700), the National Natural Science Foundation of China (81771830), the National Natural Science Foundation of China (81971616), the CAMS Innovation Fund for Medical Sciences (2017-I2M-1-005), the CAMS Innovation Fund for Medical Sciences (2019-I2M-2-002), the National Key Technology Support Program (2014BAI09B01), and the Innovation Foundation for Doctoral Candidates of Peking Union Medical College (2018-1002-02-21).
Author information
Authors and Affiliations
Corresponding author
Ethics declarations
Guarantor
The scientific guarantor of this publication is Ning Wu.
Conflict of interest
The authors of this manuscript declare no relationships with any companies whose products or services may be related to the subject matter of the article.
Statistics and biometry
Dr. Chang-Fa Xia (Department of Cancer Epidemiology, National Cancer Center/National Clinical Research Center for Cancer/Cancer Hospital, Chinese Academy of Medical Sciences and Peking Union Medical College, Beijing, China) and Dr. Zhang-Yan Lyu (Office of Cancer Screening, National Cancer Center/National Clinical Research Center for Cancer/Cancer Hospital, Chinese Academy of Medical Sciences and Peking Union Medical College, Beijing, China) kindly provided statistical advice for this manuscript.
Informed consent
Written informed consent was waived by the Institutional Review Board.
Ethical approval
Institutional Review Board approval was obtained.
Study subjects or cohorts overlap
Nineteen study subjects have been previously reported in our previous study [Qi LL, Wu BT, Tang W et al (2020) Long-term follow-up of persistent pulmonary pure ground-glass nodules with deep learning-assisted nodule segmentation. Eur Radiol 30(2):744–755].
However, the objectives and inclusion criteria of these two studies differed. The previous study focused on the long-term follow-up of persistent pulmonary pure ground-glass nodules (pGGNs), most of which were not resected and pathologically confirmed. In contrast, in the current study, we focused on the natural history of these pathologically confirmed pulmonary subsolid nodules (SSNs) and explored the risk factors for invasive adenocarcinoma diagnosis and SSN growth.
Methodology
• retrospective
• observational
• performed at one institution
Additional information
Publisher’s note
Springer Nature remains neutral with regard to jurisdictional claims in published maps and institutional affiliations.
Supplementary Information
ESM 1
(DOCX 17 kb)
Rights and permissions
About this article
Cite this article
Qi, LL., Wang, JW., Yang, L. et al. Natural history of pathologically confirmed pulmonary subsolid nodules with deep learning–assisted nodule segmentation. Eur Radiol 31, 3884–3897 (2021). https://doi.org/10.1007/s00330-020-07450-z
Received:
Revised:
Accepted:
Published:
Issue Date:
DOI: https://doi.org/10.1007/s00330-020-07450-z