Abstract
Objectives
This study aimed to evaluate whether diffusion tensor imaging (DTI) parameters and cross-sectional area (CSA) can differentiate between the sciatic nerve of Charcot–Marie–Tooth (CMT) disease type I (demyelinating form) patients and that of controls.
Methods
This prospective comparison study included 18 CMT type I patients and 18 age/sex-matched volunteers. Magnetic resonance imaging including DTI and axial T2-weighted Dixon sequence was performed for each subject. Region of interest analysis was independently performed by two radiologists on each side of the sciatic nerve at four levels: hamstring tendon origin (level 1), lesser trochanter of the femur (level 2), gluteus maximus tendon insertion (level 3), and mid-femur (level 4). Fractional anisotropy (FA), mean diffusivity (MD), axial diffusivity (AD), and radial diffusivity (RD) were calculated. The CSA of the sciatic nerve bundle was measured using axial water-only image at each level. Comparisons of DTI parameters between the two groups were performed using the two-sample t test and Mann–Whitney U test. Interobserver agreement analysis was also conducted.
Results
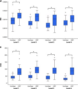
Interobserver agreement was excellent for all DTI parameter analyses. FA was significantly lower at all four levels in CMT patients than controls. RD, MD, and CSA were significantly higher at all four levels in CMT patients. AD was significantly higher at level 2 in CMT patients.
Conclusion
DTI assessment of the sciatic nerve is reproducible and can discriminate the demyelinating nerve pathology of CMT type I patients from normal nerves. The CSA of the sciatic nerve is also a potential parameter for diagnosing nerve abnormality in CMT type I patients.
Key Points
• Diffusion tensor imaging parameters of the sciatic nerve at proximal to mid-femur level revealed significant differences between the Charcot–Marie–Tooth disease patients and controls.
• The cross-sectional area of the sciatic nerve was significantly larger in the Charcot–Marie–Tooth disease patients.
• Interobserver agreement was excellent (intraclass coefficient > 0.8) for all diffusion tensor imaging parameter analyses.




Abbreviations
- AD:
-
Axial diffusivity
- CMT:
-
Charcot–Marie–Tooth disease
- CSA:
-
Cross-sectional area
- DTI:
-
Diffusion tensor imaging
- FA:
-
Fractional anisotropy
- MD:
-
Mean diffusivity
- MRI:
-
Magnetic resonance imaging
- RD:
-
Radial diffusivity
- ROC:
-
Receiver operating characteristic
- ROI:
-
Region of interest
References
Pareyson D, Marchesi C (2009) Diagnosis, natural history, and management of Charcot-Marie-Tooth disease. Lancet Neurol 8:654–667
Bird TD, Ott J, Giblett ER, Chance PF, Sumi SM, Kraft GH (1983) Genetic linkage evidence for heterogeneity in Charcot-Marie-Tooth neuropathy (HMSN type I). Ann Neurol 14:679–684
Harding AE, Thomas PK (1980) The clinical features of hereditary motor and sensory neuropathy types I and II. Brain 103:259–280
Cornett KMD, Menezes MP, Shy RR et al (2017) Natural history of Charcot-Marie-Tooth disease during childhood. Ann Neurol 82:353–359
Martinoli C, Schenone A, Bianchi S et al (2002) Sonography of the median nerve in Charcot-Marie-Tooth disease. AJR Am J Roentgenol 178:1553–1556
Noto Y, Shiga K, Tsuji Y et al (2015) Nerve ultrasound depicts peripheral nerve enlargement in patients with genetically distinct Charcot-Marie-Tooth disease. J Neurol Neurosurg Psychiatry 86:378–384
Thawait SK, Chaudhry V, Thawait GK et al (2011) High-resolution MR neurography of diffuse peripheral nerve lesions. AJNR Am J Neuroradiol 32:1365–1372
Morano JU, Russell WF (1986) Nerve root enlargement in Charcot-Marie-Tooth disease: CT appearance. Radiology 161:784
Chung KW, Suh BC, Shy ME et al (2008) Different clinical and magnetic resonance imaging features between Charcot-Marie-Tooth disease type 1A and 2A. Neuromuscul Disord 18:610–618
Gaeta M, Mileto A, Mazzeo A et al (2012) MRI findings, patterns of disease distribution, and muscle fat fraction calculation in five patients with Charcot-Marie-Tooth type 2 F disease. Skeletal Radiol 41:515–524
Gallardo E, Claeys KG, Nelis E et al (2008) Magnetic resonance imaging findings of leg musculature in Charcot-Marie-Tooth disease type 2 due to dynamin 2 mutation. J Neurol 255:986–992
Morrow JM, Sinclair CD, Fischmann A et al (2016) MRI biomarker assessment of neuromuscular disease progression: a prospective observational cohort study. Lancet Neurol 15:65–77
Le Bihan D, Mangin JF, Poupon C et al (2001) Diffusion tensor imaging: concepts and applications. J Magn Reson Imaging 13:534–546
Kronlage M, Schwehr V, Schwarz D et al (2018) Peripheral nerve diffusion tensor imaging (DTI): normal values and demographic determinants in a cohort of 60 healthy individuals. Eur Radiol 28:1801–1808
Basser PJ, Pierpaoli C (1996) Microstructural and physiological features of tissues elucidated by quantitative-diffusion-tensor MRI. J Magn Reson B 111:209–219
Song SK, Sun SW, Ju WK, Lin SJ, Cross AH, Neufeld AH (2003) Diffusion tensor imaging detects and differentiates axon and myelin degeneration in mouse optic nerve after retinal ischemia. Neuroimage 20:1714–1722
Song SK, Sun SW, Ramsbottom MJ, Chang C, Russell J, Cross AH (2002) Dysmyelination revealed through MRI as increased radial (but unchanged axial) diffusion of water. Neuroimage 17:1429–1436
Budde MD, Xie M, Cross AH, Song SK (2009) Axial diffusivity is the primary correlate of axonal injury in the experimental autoimmune encephalomyelitis spinal cord: a quantitative pixelwise analysis. J Neurosci 29:2805–2813
Eguchi Y, Ohtori S, Orita S et al (2011) Quantitative evaluation and visualization of lumbar foraminal nerve root entrapment by using diffusion tensor imaging: preliminary results. AJNR Am J Neuroradiol 32:1824–1829
Wada K, Hashimoto T, Miyagi R, Sakai T, Sairyo K (2017) Diffusion tensor imaging and tractography of the sciatic nerve: assessment of fractional anisotropy and apparent diffusion coefficient values relative to the piriformis muscle, a preliminary study. Skeletal Radiol 46:309–314
Shi Y, Zong M, Xu X et al (2015) Diffusion tensor imaging with quantitative evaluation and fiber tractography of lumbar nerve roots in sciatica. Eur J Radiol 84:690–695
Budzik JF, Balbi V, Verclytte S, Pansini V, Le Thuc V, Cotten A (2014) Diffusion tensor imaging in musculoskeletal disorders. Radiographics 34:E56–E72
Delaney H, Bencardino J, Rosenberg ZS (2014) Magnetic resonance neurography of the pelvis and lumbosacral plexus. Neuroimaging Clin N Am 24:127–150
Barreto LC, Oliveira FS, Nunes PS et al (2016) Epidemiologic study of Charcot-Marie-Tooth disease: a systematic review. Neuroepidemiology 46:157–165
Bäumer P, Pham M, Ruetters M et al (2014) Peripheral neuropathy: detection with diffusion-tensor imaging. Radiology 273:185–193
Morisaki S, Kawai Y, Umeda M et al (2011) In vivo assessment of peripheral nerve regeneration by diffusion tensor imaging. J Magn Reson Imaging 33:535–542
Eppenberger P, Andreisek G, Chhabra A (2014) Magnetic resonance neurography: diffusion tensor imaging and future directions. Neuroimaging Clin N Am 24:245–256
Heckel A, Weiler M, Xia A et al (2015) Peripheral nerve diffusion tensor imaging: assessment of axon and myelin sheath integrity. PLoS One 10:e0130833
Kakuda T, Fukuda H, Tanitame K et al (2011) Diffusion tensor imaging of peripheral nerve in patients with chronic inflammatory demyelinating polyradiculoneuropathy: a feasibility study. Neuroradiology 53:955–960
Wozniak JR, Lim KO (2006) Advances in white matter imaging: a review of in vivo magnetic resonance methodologies and their applicability to the study of development and aging. Neurosci Biobehav Rev 30:762–774
Song SK, Yoshino J, Le TQ et al (2005) Demyelination increases radial diffusivity in corpus callosum of mouse brain. Neuroimage 26:132–140
Smith TW, Bhawan J, Keller RB, DeGirolami U (1980) Charcot-Marie-Tooth disease associated with hypertrophic neuropathy: a neuropathologic study of two cases. J Neuropathol Exp Neurol 39:420–440
Loy DN, Kim JH, Xie M, Schmidt RE, Trinkaus K, Song SK (2007) Diffusion tensor imaging predicts hyperacute spinal cord injury severity. J Neurotrauma 24:979–990
Kumar R, Macey PM, Woo MA, Alger JR, Harper RM (2008) Diffusion tensor imaging demonstrates brainstem and cerebellar abnormalities in congenital central hypoventilation syndrome. Pediatr Res 64:275–280
Oudeman J, Nederveen AJ, Strijkers GJ, Maas M, Luijten PR, Froeling M (2016) Techniques and applications of skeletal muscle diffusion tensor imaging: a review. J Magn Reson Imaging 43:773–788
Vaeggemose M, Vaeth S, Pham M et al (2017) Magnetic resonance neurography and diffusion tensor imaging of the peripheral nerves in patients with Charcot-Marie-Tooth type 1A. Muscle Nerve 56:E78–E84
Tanitame K, Iwakado Y, Akiyama Y et al (2012) Effect of age on the fractional anisotropy (FA) value of peripheral nerves and clinical significance of the age-corrected FA value for evaluating polyneuropathies. Neuroradiology 54:815–821
Kronlage M, Baumer P, Pitarokoili K et al (2017) Large coverage MR neurography in CIDP: diagnostic accuracy and electrophysiological correlation. J Neurol 264:1434–1443
Johnson D, Stevens KJ, Riley G, Shapiro L, Yoshioka H, Gold GE (2015) Approach to MR imaging of the elbow and wrist: technical aspects and innovation. Magn Reson Imaging Clin N Am 23:355–366
Jeon T, Fung MM, Koch KM, Tan ET, Sneag DB (2018) Peripheral nerve diffusion tensor imaging: overview, pitfalls, and future directions. J Magn Reson Imaging 47:1171–1189
Papadakis NG, Murrills CD, Hall LD, Huang CL, Adrian Carpenter T (2000) Minimal gradient encoding for robust estimation of diffusion anisotropy. Magn Reson Imaging 18:671–679
Yao X, Yu T, Liang B, Xia T, Huang Q, Zhuang S (2015) Effect of increasing diffusion gradient direction number on diffusion tensor imaging fiber tracking in the human brain. Korean J Radiol 16:410–418
Kellman P, McVeigh ER (2005) Image reconstruction in SNR units: a general method for SNR measurement. Magn Reson Med 54:1439–1447
Funding
This study has received funding by Bracco Imaging (PHO0162171).
Author information
Authors and Affiliations
Corresponding author
Ethics declarations
Guarantor
The scientific guarantor of this publication is Young Cheol Yoon.
Conflict of interest
The authors declare that they have no conflict of interest.
Statistics and biometry
Insuk Sohn and Hyeseung Kim, the staffs of Bioinformatics Center, kindly provided statistical advice for this manuscript.
Informed consent
Written informed consent was obtained from all subjects (patients) in this study.
Ethical approval
Institutional review board approval was obtained.
Methodology
• prospective
• case–control study
• performed at one institution
Additional information
Publisher’s Note
Springer Nature remains neutral with regard to jurisdictional claims in published maps and institutional affiliations.
Electronic supplementary material
Supplementary Table 1
(XLSX 10 kb)
Supplementary Table 2
(XLSX 15 kb)
Supplementary Table 3
(XLSX 10 kb)
Supplementary Table 4
(XLSX 11 kb)
Rights and permissions
About this article
Cite this article
Kim, H.S., Yoon, Y.C., Choi, BO. et al. Diffusion tensor imaging of the sciatic nerve in Charcot–Marie–Tooth disease type I patients: a prospective case–control study. Eur Radiol 29, 3241–3252 (2019). https://doi.org/10.1007/s00330-018-5958-1
Received:
Revised:
Accepted:
Published:
Issue Date:
DOI: https://doi.org/10.1007/s00330-018-5958-1