Skip to main content

Abnormal brain structure as a potential biomarker for venous erectile dysfunction: evidence from multimodal MRI and machine learning

Abstract

Objectives

To investigate the cerebral structural changes related to venous erectile dysfunction (VED) and the relationship of these changes to clinical symptoms and disorder duration and distinguish patients with VED from healthy controls using a machine learning classification.

Methods

45 VED patients and 50 healthy controls were included. Voxel-based morphometry (VBM), tract-based spatial statistics (TBSS) and correlation analyses of VED patients and clinical variables were performed. The machine learning classification method was adopted to confirm its effectiveness in distinguishing VED patients from healthy controls.

Results

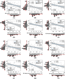
Compared to healthy control subjects, VED patients showed significantly decreased cortical volumes in the left postcentral gyrus and precentral gyrus, while only the right middle temporal gyrus showed a significant increase in cortical volume. Increased axial diffusivity (AD), radial diffusivity (RD) and mean diffusivity (MD) values were observed in widespread brain regions. Certain regions of these alterations related to VED patients showed significant correlations with clinical symptoms and disorder durations. Machine learning analyses discriminated patients from controls with overall accuracy 96.7%, sensitivity 93.3% and specificity 99.0%.

Conclusions

Cortical volume and white matter (WM) microstructural changes were observed in VED patients, and showed significant correlations with clinical symptoms and dysfunction durations. Various DTI-derived indices of some brain regions could be regarded as reliable discriminating features between VED patients and healthy control subjects, as shown by machine learning analyses.

Key Points

• Multimodal magnetic resonance imaging helps clinicians to assess patients with VED.

• VED patients show cerebral structural alterations related to their clinical symptoms.

• Machine learning analyses discriminated VED patients from controls with an excellent performance.

• Machine learning classification provided a preliminary demonstration of DTI’s clinical use.

This is a preview of subscription content, access via your institution.

Fig. 1
Fig. 2
Fig. 3
Fig. 4
Fig. 5

Abbreviations

AD:

Axial diffusivity

BPRS:

Brief Psychiatric Rating Scale

FA:

Fractional anisotropy

GM:

Grey matter

HAMA:

Hamilton Anxiety Rating Scale

HAMD:

Hamilton Depression Rating Scale

IIEF-5:

International Index of Erectile Function

MD:

Mean diffusivity

NIH-CPSI:

National Institutes of Health Chronic Prostatitis Symptom Index

PED:

Psychogenic ED

PEDT:

Premature Ejaculation Diagnostic Tool

RD:

Radial diffusivity

SAS:

Self-Rating Anxiety Scale

SDS:

Self-Rating Depression Scale

TBSS:

Tract-based spatial statistics

VBM:

Voxel-based morphometry

VED:

Venous erectile dysfunction

WM:

White matter

References

  1. Wespes E, Amar E, Hatzichristou D et al (2006) EAU Guidelines on Erectile Dysfunction: An Update. European Urology 49:806–815

    Article  PubMed  Google Scholar 

  2. Fabbri A, Caprio M, Aversa A (2003) Pathology of erection. Journal of endocrinological investigation 26:87–91

    PubMed  CAS  Google Scholar 

  3. Vicenzini E, Altieri M, Michetti PM et al (2008) Cerebral vasomotor reactivity is reduced in patients with erectile dysfunction. European neurology 60:85–88

    Article  PubMed  Google Scholar 

  4. Rajkumar RP (2015) The impact of disrupted childhood attachment on the presentation of psychogenic erectile dysfunction: An exploratory study. The journal of sexual medicine 12:798–803

    Article  PubMed  Google Scholar 

  5. Glina S, Cohen DJ, Vieira M (2014) Diagnosis of erectile dysfunction. Current opinion in psychiatry 27:394–399

    Article  PubMed  Google Scholar 

  6. Argiolas A, Melis MR (2005) Central control of penile erection: role of the paraventricular nucleus of the hypothalamus. Progress in neurobiology 76:1–21

    Article  PubMed  CAS  Google Scholar 

  7. Stoléru S, Fonteille V, Corneill C, Joyal C, Moulier V (2012) Functional neuroimaging studies of sexual arousal and orgasm in healthy men and women: a review and meta-analysis. Neuroscience & Biobehavioral Reviews 36:1481–1509

    Article  Google Scholar 

  8. Redoutc J, Stolutc S, Pugeat M et al (2005) Brain processing of visual sexual stimuli in treated and untreated hypogonadal patients. Psychoneuroendocrinology 30:461–482

    Article  CAS  Google Scholar 

  9. Montorsi F, Perani D, Anchisi D et al (2003) Brain activation patterns during video sexual stimulation following the administration of apomorphine: results of a placebo-controlled study. European Urology 43:405–411

    Article  PubMed  CAS  Google Scholar 

  10. Mouras H, Stolasa S, Bittoun J et al (2003) Brain processing of visual sexual stimuli in healthy men: a functional magnetic resonance imaging study. Neuroimage 20:855–869

    Article  PubMed  Google Scholar 

  11. Arnow BA, Desmond JE, Banner LL et al (2002) Brain activation and sexual arousal in healthy, heterosexual males. Brain 125:1014–1023

    Article  PubMed  Google Scholar 

  12. Cera N, Delli Pizzi S, Di Pierro E, Gambi F, Tartaro A, Zang Y-F (2012) Macrostructural Alterations of Subcortical Grey Matter in Psychogenic Erectile.

  13. Zhang P, Liu J, Li G et al (2014) White matter microstructural changes in psychogenic erectile dysfunction patients. Andrology 2:379–385

    Article  PubMed  CAS  Google Scholar 

  14. Zhao L, Guan M, Zhang X et al (2015) Structural insights into aberrant cortical morphometry and network organization in psychogenic erectile dysfunction. Human brain mapping 36:4469–4482

    Article  PubMed  Google Scholar 

  15. Zhao L, Guan M, Zhu X et al (2015) Aberrant topological patterns of structural cortical networks in psychogenic erectile dysfunction. Frontiers in human neuroscience 9

  16. Ferretti A, Caulo M, Del Gratta C et al (2005) Dynamics of male sexual arousal: distinct components of brain activation revealed by fMRI. Neuroimage 26:1086–1096

    Article  PubMed  Google Scholar 

  17. Ashburner J, Friston KJ (2000) Voxel-based morphometry—the methods. Neuroimage 11:805–821

    Article  PubMed  CAS  Google Scholar 

  18. Ashburner J (2012) SPM: a history. Neuroimage 62:791–800

    Article  PubMed  Google Scholar 

  19. Arrigo A, Calamuneri A, Milardi D et al (2017) Visual System Involvement in Patients with Newly Diagnosed Parkinson Disease. Radiology:161732

  20. Fan W, Zhang W, Li J et al (2015) Altered contralateral auditory cortical morphology in unilateral sudden sensorineural hearing loss. Otology & Neurotology 36:1622

    Article  Google Scholar 

  21. Smith SM, Jenkinson M, Johansen-Berg H et al (2006) Tract-based spatial statistics: voxelwise analysis of multi-subject diffusion data. Neuroimage 31:1487–1505

    Article  PubMed  Google Scholar 

  22. Smith SM, Jenkinson M, Woolrich MW et al (2004) Advances in functional and structural MR image analysis and implementation as FSL. Neuroimage 23:S208–S219

    Article  PubMed  Google Scholar 

  23. Jenkinson M, Bannister P, Brady M, Smith S (2002) Improved optimization for the robust and accurate linear registration and motion correction of brain images. Neuroimage 17:825–841

    Article  PubMed  Google Scholar 

  24. Smith SM (2002) Fast robust automated brain extraction. Human brain mapping 17:143–155

    Article  PubMed  Google Scholar 

  25. Pedregosa F, Varoquaux G, Gramfort A et al (2011) Scikit-learn: Machine learning in Python. Journal of Machine Learning Research 12:2825–2830

    Google Scholar 

  26. Mori S, Oishi K, Jiang H et al (2008) Stereotaxic white matter atlas based on diffusion tensor imaging in an ICBM template. Neuroimage 40:570–582

    Article  PubMed  PubMed Central  Google Scholar 

  27. Poeppl TB, Langguth B, Laird AR, Eickhoff SB (2014) The functional neuroanatomy of male psychosexual and physiosexual arousal: A quantitative meta-analysis. Human brain mapping 35:1404–1421

    Article  PubMed  Google Scholar 

  28. Kader KO, Sanverdi E, Has A, Temuçin Ç, T mu S, Doerschner K (2013) Tract-based spatial statistics of diffusion tensor imaging in hereditary spastic paraplegia with thin corpus callosum reveals widespread white matter changes. Diagnostic and Interventional Radiology 19:181

    Google Scholar 

  29. Alexander AL, Hurley SA, Samsonov AA et al (2011) Characterization of cerebral white matter properties using quantitative magnetic resonance imaging stains. Brain connectivity 1:423–446

    Article  PubMed  PubMed Central  Google Scholar 

  30. Song S-K, Yoshino J, Le TQ et al (2005) Demyelination increases radial diffusivity in corpus callosum of mouse brain. Neuroimage 26:132–140

    Article  PubMed  Google Scholar 

  31. Sun SW, Liang HF, Trinkaus K, Cross AH, Armstrong RC, Song SK (2006) Noninvasive detection of cuprizone induced axonal damage and demyelination in the mouse corpus callosum. Magnetic Resonance in Medicine 55:302–308

    Article  PubMed  Google Scholar 

  32. Alexander AL, Lee JE, Lazar M, Field AS (2007) Diffusion tensor imaging of the brain. Neurotherapeutics 4:316–329

    Article  PubMed  PubMed Central  Google Scholar 

  33. Rouw R, Scholte HS (2007) Increased structural connectivity in grapheme-color synesthesia. Nature neuroscience 10:792

    Article  PubMed  CAS  Google Scholar 

  34. Scholz J, Klein MC, Behrens TE, Johansen-Berg H (2009) Training induces changes in white-matter architecture. Nature neuroscience 12:1370–1371

    Article  PubMed  PubMed Central  CAS  Google Scholar 

  35. Jellinger K (2007) Fiber Pathways of the Brain. European Journal of Neurology 14

  36. Henze R, Brunner R, Thiemann U et al (2012) White matter alterations in the corpus callosum of adolescents with first-admission schizophrenia. Neuroscience letters 513:178–182

    Article  PubMed  CAS  Google Scholar 

  37. Hagemann JH, Berding G, Bergh S et al (2003) Effects of visual sexual stimuli and apomorphine SL on cerebral activity in men with erectile dysfunction. European Urology 43:412–420

    Article  PubMed  CAS  Google Scholar 

Download references

Acknowledgements

We would like to thank the three anonymous reviewers for their helpful comments on an earlier version of this manuscript. We thank all participants in this study.

Funding

This research was supported by the National Natural Science Foundation of China (No. 81701673) and the Hubei Natural Science Foundation (No. 2017CFB796).

Author information

Affiliations

Authors

Corresponding authors

Correspondence to Lian Yang or Zhaohui Zhu.

Ethics declarations

Guarantor

The scientific guarantor of this publication is Lian Yang.

Conflict of interest

The authors of this manuscript declare no relationships with any companies whose products or services may be related to the subject matter of the article.

Statistics and biometry

No complex statistical methods were necessary for this paper.

Informed consent

Written informed consent was obtained from all subjects (patients) in this study.

Ethical approval

Institutional Review Board approval was obtained by the Medical Ethics Committee of the Union Hospital.

Methodology

• prospective

• case-control study/diagnostic study

• performed at one institution

Electronic supplementary material

ESM 1

(DOC 2877 kb)

Rights and permissions

Reprints and Permissions

About this article

Verify currency and authenticity via CrossMark

Cite this article

Li, L., Fan, W., Li, J. et al. Abnormal brain structure as a potential biomarker for venous erectile dysfunction: evidence from multimodal MRI and machine learning. Eur Radiol 28, 3789–3800 (2018). https://doi.org/10.1007/s00330-018-5365-7

Download citation

  • Received:

  • Revised:

  • Accepted:

  • Published:

  • Issue Date:

  • DOI: https://doi.org/10.1007/s00330-018-5365-7

Keywords

  • Venous erectile dysfunction
  • Multimode magnetic resonance imaging
  • VBM
  • TBSS
  • Machine-learning classification