Abstract
Objectives
MR neurography, diffusion tensor imaging (DTI) and tractography at 3 Tesla were evaluated for the assessment of patients with ulnar neuropathy at the elbow (UNE).
Methods
Axial T2-weighted and single-shot DTI sequences (16 gradient encoding directions) were acquired, covering the cubital tunnel of 46 patients with clinically and electrodiagnostically confirmed UNE and 20 healthy controls. Cross-sectional area (CSA) was measured at the retrocondylar sulcus and FA and ADC values on each section along the ulnar nerve. Three-dimensional nerve tractography and T2-weighted neurography results were independently assessed by two raters.
Results
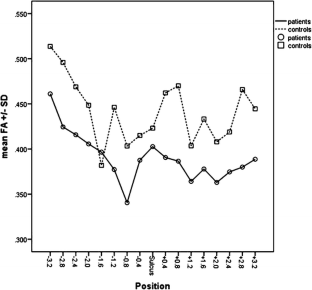
Patients showed a significant reduction of ulnar nerve FA values at the retrocondylar sulcus (p = 0.002) and the deep flexor fascia (p = 0.005). At tractography, a complete or partial discontinuity of the ulnar nerve was found in 26/40 (65 %) of patients. Assessment of T2 neurography was most sensitive in detecting UNE (sensitivity, 91 %; specificity, 79 %), followed by tractography (88 %/69 %). CSA and FA measurements were less effective in detecting UNE.
Conclusion
T2-weighted neurography remains the most sensitive MR technique in the imaging evaluation of clinically manifest UNE. DTI-based neurography at 3 Tesla supports the MR imaging assessment of UNE patients by adding quantitative and 3D imaging data.
Key Points
• DTI and tractography support conventional MR neurography in the detection of UNE
• Regionally reduced FA values and discontinuous tractography patterns indicate UNE
• T2-weighted MR neurography remains the imaging gold standard in cases of UNE
• DTI-based ulnar nerve tractography offers additional topographic information in 3D





Abbreviations
- ADC:
-
apparent diffusion coefficient
- CSA:
-
cross-sectional area
- DTI:
-
diffusion tensor imaging
- FA:
-
fractional anisotropy
- ICC:
-
intraclass correlation coefficient
- ROC:
-
receiver operating characteristic
- ROI:
-
region of interest
- UNE:
-
ulnar neuropathy at the elbow
References
Mallette P, Zhao M, Zurakowski D, Ring D (2007) Muscle atrophy at diagnosis of carpal and cubital tunnel syndrome. J Hand Surg [Am] 32:855–858
Landau ME, Campbell WW (2013) Clinical features and electrodiagnosis of ulnar neuropathies. Phys Med Rehabil Clin N Am 24:49–66
Shen J, Zhou CP, Zhong XM et al (2010) MR neurography: T1 and T2 measurements in acute peripheral nerve traction injury in rabbits. Radiology 254:729–738
Bayrak AO, Bayrak IK, Turker H, Elmali M, Nural MS (2010) Ultrasonography in patients with ulnar neuropathy at the elbow: comparison of cross-sectional area and swelling ratio with electrophysiological severity. Muscle Nerve 41:661–666
Beekman R, Visser LH, Verhagen WI (2011) Ultrasonography in ulnar neuropathy at the elbow: a critical review. Muscle Nerve 43:627–635
Keen NN, Chin CT, Engstrom JW, Saloner D, Steinbach LS (2012) Diagnosing ulnar neuropathy at the elbow using magnetic resonance neurography. Skeletal Radiol 41:401–407
Bendszus M, Wessig C, Solymosi L, Reiners K, Koltzenburg M (2004) MRI of peripheral nerve degeneration and regeneration: correlation with electrophysiology and histology. Exp Neurol 188:171–177
Husarik DB, Saupe N, Pfirrmann CW, Jost B, Hodler J, Zanetti M (2009) Elbow nerves: MR findings in 60 asymptomatic subjects–normal anatomy, variants, and pitfalls. Radiology 252:148–156
Baumer P, Dombert T, Staub F et al (2011) Ulnar neuropathy at the elbow: MR neurography–nerve T2 signal increase and caliber. Radiology 260:199–206
Hiltunen J, Suortti T, Arvela S, Seppa M, Joensuu R, Hari R (2005) Diffusion tensor imaging and tractography of distal peripheral nerves at 3 T. Clin Neurophysiol 116:2315–2323
Stein D, Neufeld A, Pasternak O et al (2009) Diffusion tensor imaging of the median nerve in healthy and carpal tunnel syndrome subjects. J Magn Reson Imaging 29:657–662
Andreisek G, White LM, Kassner A, Tomlinson G, Sussman MS (2009) Diffusion tensor imaging and fiber tractography of the median nerve at 1.5T: optimization of b value. Skeletal Radiol 38:51–59
Guggenberger R, Markovic D, Eppenberger P et al (2012) Assessment of median nerve with MR neurography by using diffusion-tensor imaging: normative and pathologic diffusion values. Radiology 265:194–203
Bäumer P, Pham M, Ruetters M et al (2014) Peripheral neuropathy: detection with diffusion-tensor imaging. Radiology 273:185–193
Hiltunen J, Kirveskari E, Numminen J, Lindfors N, Goransson H, Hari R (2012) Pre- and post-operative diffusion tensor imaging of the median nerve in carpal tunnel syndrome. Eur Radiol 22:1310–1319
Khalil C, Hancart C, Le Thuc V, Chantelot C, Chechin D, Cotten A (2008) Diffusion tensor imaging and tractography of the median nerve in carpal tunnel syndrome: preliminary results. Eur Radiol 18:2283–2291
Brienza M, Pujia F, Colaiacomo MC et al (2014) 3T diffusion tensor imaging and electroneurography of peripheral nerve: a morphofunctional analysis in carpal tunnel syndrome. J Neuroradiol 41:124–130
Lindberg PG, Feydy A, Le Viet D, Maier MA, Drape JL (2013) Diffusion tensor imaging of the median nerve in recurrent carpal tunnel syndrome - initial experience. Eur Radiol 23:3115–3123
Barcelo C, Faruch M, Lapegue F, Bayol MA, Sans N (2013) 3-T MRI with diffusion tensor imaging and tractography of the median nerve. Eur Radiol 23:3124–3130
Takagi T, Nakamura M, Yamada M et al (2009) Visualization of peripheral nerve degeneration and regeneration: monitoring with diffusion tensor tractography. Neuroimage 44:884–892
Stöhr M, Riffel B (1988) Nerven- und Nervenwurzelläsionen. Praktische Neurologie. VCH, Weinheim
DeLong ER, DeLong DM, Clarke-Pearson DL (1988) Comparing the areas under two or more correlated receiver operating characteristic curves: a nonparametric approach. Biometrics 44:837–845
Assmus H, Antoniadis G, Bischoff C et al (2011) Cubital tunnel syndrome - a review and management guidelines. Cen Eur Neurosurg 72:90–98
Beekman R, Schoemaker MC, Van Der Plas JP et al (2004) Diagnostic value of high-resolution sonography in ulnar neuropathy at the elbow. Neurology 62:767–773
Lehmann HC, Zhang J, Mori S, Sheikh KA (2010) Diffusion tensor imaging to assess axonal regeneration in peripheral nerves. Exp Neurol 223:238–244
Beekman R, Van Der Plas JP, Uitdehaag BM, Schellens RL, Visser LH (2004) Clinical, electrodiagnostic, and sonographic studies in ulnar neuropathy at the elbow. Muscle Nerve 30:202–208
Kabakci N, Gurses B, Firat Z et al (2007) Diffusion tensor imaging and tractography of median nerve: normative diffusion values. AJR Am J Roentgenol 189:923–927
Guggenberger R, Nanz D, Bussmann L et al (2013) Diffusion tensor imaging of the median nerve at 3.0 T using different MR scanners: agreement of FA and ADC measurements. Eur J Radiol 82:e590–e596
Hui ES, Cheung MM, Chan KC, Wu EX (2010) B-value dependence of DTI quantitation and sensitivity in detecting neural tissue changes. Neuroimage 49:2366–2374
Acknowledgements
The scientific guarantor of this publication is Gregor Kasprian. The authors of this manuscript declare no relationships with any companies whose products or services may be related to the subject matter of the article. The authors state that this work has not received any funding. Michael Weber kindly provided statistical advice for this manuscript. Institutional review board approval was obtained. Written informed consent was obtained from all subjects in this study. Methodology: prospective diagnostic study performed at one institution
Author information
Authors and Affiliations
Corresponding author
Rights and permissions
About this article
Cite this article
Breitenseher, J.B., Kranz, G., Hold, A. et al. MR neurography of ulnar nerve entrapment at the cubital tunnel: a diffusion tensor imaging study. Eur Radiol 25, 1911–1918 (2015). https://doi.org/10.1007/s00330-015-3613-7
Received:
Revised:
Accepted:
Published:
Issue Date:
DOI: https://doi.org/10.1007/s00330-015-3613-7