Skip to main content

Assessing liver function in patients with HBV-related HCC: a comparison of T1 mapping on Gd-EOB-DTPA-enhanced MR imaging with DWI

Abstract

Objectives

To compare the potential of T1 mapping on gadoxetic acid (Gd-EOB-DTPA)-enhanced magnetic resonance imaging (MRI) and diffusion-weighted imaging (DWI) for assessing liver function in patients with hepatitis B virus (HBV)-related hepatocellular carcinoma (HCC).

Methods

One hundred consecutive patients with known HBV-related HCCs were included. T1 relaxation time and apparent diffusion coefficient (ADC) of the liver were measured, and the reduction rate of T1 relaxation time (∆%) was calculated. T1 relaxation time measurements were compared with ADC values according to the Model for End-Stage Liver Disease (MELD) score.

Results

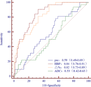
Hepatobiliary phase (HBP) and ∆% of T1 relaxation time measurements showed significant correlations with MELD score (rho = 0.571, p < 0.0001; rho = −0.573, p < 0.0001, respectively). HBP and ∆% of T1 relaxation time were significantly different between good (MELD ≤8) and poor liver function (MELD ≥9) (p < 0.0001 for both). Areas under the receiver operating characteristic curves (AUCs) of T1 relaxation time for HBP (AUC 0.84) and ∆% (AUC 0.82) were significantly better than for ADC (AUC 0.53; p < 0.0001).

Conclusions

T1 mapping on Gd-EOB-DTPA-enhanced MRI showed promise for evaluating liver function in patients with HBV-related HCC, while DWI was not reliable. HBP T1 relaxation time measurement was equally accurate as ∆% measurement.

Key Points

T 1 mapping on Gd-EOB-DTPA MRI was accurate for assessing liver function.

HBP T 1 relaxation time measurement was as accurate as ∆% T 1

T 1 mapping on Gd-EOB-DTPA MRI was more accurate than DWI-ADC measurement.

This is a preview of subscription content, access via your institution.

Fig. 1
Fig. 2

References

  1. Zipprich A, Kuss O, Rogowski S et al (2010) Incorporating indocyanin green clearance into the Model for End Stage Liver Disease (MELD-ICG) improves prognostic accuracy in intermediate to advanced cirrhosis. Gut 59:963–968

    Article  PubMed  Google Scholar 

  2. Zappa M, Dondero F, Sibert A, Vullierme MP, Belqhiti J, Vilqrain V (2009) Liver regeneration at day 7 after right hepatectomy: global and segmental volumetric analysis by using CT. Radiology 252:426–432

    PubMed  Google Scholar 

  3. Stauber RE, Wagner D, Stadlbauer V et al (2009) Evaluation of indocyanine green clearance and model for end-stage liver disease for estimation of short-term prognosis in decompensated cirrhosis. Liver Int 29:1516–1520

    Article  CAS  PubMed  Google Scholar 

  4. Cucchetti A, Ercolani G, Vivarelli M et al (2006) Impact of model for end-stage liver disease (MELD) score on prognosis after hepatectomy for hepatocellular carcinoma on cirrhosis. Liver Transpl 12:966–971

    Article  PubMed  Google Scholar 

  5. Kamath PS, Kim WR, Advanced Liver Disease Study Group (2007) The model for end-stage liver disease (MELD). Hepatology 45:797–805

    Article  PubMed  Google Scholar 

  6. Tam HH, Collins DJ, Wallace T, Brown G, Riddell A, Koh DM (2012) Segmental liver hyperintensity in malignant biliary obstruction on diffusion weighted MRI: associated MRI findings and relationship with serum alanine aminotransferase levels. Br J Radiol 85:22–28

    Article  PubMed Central  CAS  PubMed  Google Scholar 

  7. Watanabe H, Kanematsu M, Goshima S et al (2011) Staging hepatic fibrosis: comparison of gadoxetate disodium-enhanced and diffusion-weighted MR imaging—preliminary observations. Radiology 259:142–150

    Article  PubMed  Google Scholar 

  8. Verloh N, Haimerl M, Zeman F et al (2014) Assessing liver function by liver enhancement during the hepatobiliary phase with Gd-EOB-DTPA-enhanced MRI at 3 Tesla. Eur Radiol 24:1013–1019

    Article  CAS  PubMed  Google Scholar 

  9. Utsunomiya T, Shimada M, Hanaoka J et al (2012) Possible utility of MRI using Gd-EOB-DTPA for estimating liver functional reserve. J Gastroenterol 47:470–476

    Article  PubMed  Google Scholar 

  10. Saito K, Ledsam J, Sourbron S et al (2014) Measuring hepatic functional reserve using low temporal resolution Gd-EOB-DTPA dynamic contrast-enhanced MRI: a preliminary study comparing galactosyl human serum albumin scintigraphy with indocyanine green retention. Eur Radiol 24:112–119

    Article  PubMed  Google Scholar 

  11. Saito S, Moriyama Y, Kobayashi S et al (2012) Assessment of liver function in thioacetamide-induced rat acute liver injury using an empirical mathematical model and dynamic contrast-enhanced MRI with Gd-EOB-DTPA. J Magn Reson Imaging 36:1483–1489

    Article  PubMed  Google Scholar 

  12. Kim SU, Kim YC, Choi JS et al (2010) Can preoperative diffusion-weighted MRI predict postoperative hepatic insufficiency after curative resection of HBV-related hepatocellular carcinoma? A pilot study. Magn Reson Imaging 28:802–811

    Article  PubMed  Google Scholar 

  13. Materne R, Smith AM, Peeters F et al (2002) Assessment of hepatic perfusion parameters with dynamic MRI. Magn Reson Med 47:135–142

    Article  CAS  PubMed  Google Scholar 

  14. Ding Y, Rao SX, Meng T, Chen C, Li R, Zeng MS (2014) Usefulness of T1 mapping on Gd-EOB-DTPA-enhanced MR imaging in assessment of non-alcoholic fatty liver disease. Eur Radiol 24:959–966

    Article  PubMed  Google Scholar 

  15. Katsube T, Okada M, Kumano S et al (2011) Estimation of liver function using T1 mapping on Gd-EOB-DTPA-enhanced magnetic resonance imaging. Investig Radiol 46:277–283

    Article  Google Scholar 

  16. Haimerl M, Verloh N, Zeman F et al (2013) Assessment of clinical signs of liver cirrhosis using T1 mapping on Gd-EOB-DTPA-enhanced 3 T MRI. PLoS One 8:e85658

    Article  PubMed Central  PubMed  Google Scholar 

  17. Bruix J, Sherman M, Practice Guidelines Committee, American Association for the Study of Liver Diseases (2005) Management of hepatocellular carcinoma. Hepatology 42:1208–1236

    Article  PubMed  Google Scholar 

  18. Saito K, Araki Y, Park J et al (2010) Effect of Gd-EOB-DTPA on T2-weighted and diffusion-weighted images for the diagnosis of hepatocellular carcinoma. J Magn Reson Imaging 32:229–234

    Article  PubMed  Google Scholar 

  19. Choi JS, Kim MJ, Choi JY et al (2010) Diffusion-weighted MR imaging of liver on 3.0-Tesla system: effect of intravenous administration of gadoxetic acid disodium. Eur Radiol 20:1052–1060

    Article  PubMed  Google Scholar 

  20. Muhi A, Ichikawa T, Motosugi U et al (2012) Diffusion- and T2-weighted MR imaging of the liver: effect of intravenous administration of gadoxetic acid disodium. Magn Reson Med Sci 11:185–191

    Article  PubMed  Google Scholar 

  21. Van Beers BE, Pastor CM, Hussain HK (2012) Primovist, Eovist: what to expect? J Hepatol 57:421–429

    Article  PubMed  Google Scholar 

  22. Reimer P, Schneider G, Schima W (2004) Hepatobiliary contrast agents for contrast-enhanced MRI of the liver: properties, clinical development and applications. Eur Radiol 14:559–578

    Article  PubMed  Google Scholar 

  23. Lee JM, Zech CJ, Bolondi L et al (2011) Consensus report of the 4th international forum for gadolinium-ethoxybenzyl-diethylenetriamine pentaacetic acid magnetic resonance imaging. Korean J Radiol 12:403–415

    Article  PubMed Central  PubMed  Google Scholar 

  24. Kitao A, Zen Y, Matsui O et al (2010) Hepatocellular carcinoma: signal intensity at gadoxetic acid-enhanced MR Imaging—correlation with molecular transporters and histopathologic features. Radiology 256:817–826

    Article  PubMed  Google Scholar 

  25. Bae KE, Kim SY, Lee SS et al (2012) Assessment of hepatic function with Gd-EOB-DTPA-enhanced hepatic MRI. Dig Dis 30:617–622

    Article  PubMed  Google Scholar 

  26. Yoshimura N, Saito K, Saguchi T et al (2013) Distinguishing hepatic hemangiomas from metastatic tumors using T1 mapping on gadoxetic-acid-enhanced MRI. Magn Reson Imaging 31:23–27

    Article  CAS  PubMed  Google Scholar 

  27. Erturk SM, Alberich-Bayarri A, Herrmann KA, Marti-Bonmati L, Ros PR (2009) Use of 3.0-T MR imaging for evaluation of the abdomen. Radiographics 29:1547–1563

    Article  PubMed  Google Scholar 

  28. de Bazelaire CM, Duhamel GD, Rofsky NM, Alsop DC (2004) MR imaging relaxation times of abdominal and pelvic tissues measured in vivo at 3.0 T: preliminary results. Radiology 230:652–659

    Article  PubMed  Google Scholar 

  29. Yamada A, Hara T, Li F et al (2011) Quantitative evaluation of liver function with use of gadoxetate disodium-enhanced MR imaging. Radiology 260:727–733

    Article  PubMed  Google Scholar 

  30. Tamada T, Ito K, Yamamoto A et al (2013) Simple Method for evaluating the degree of liver parenchymal enhancement in the hepatobiliary phase of gadoxetic acid-enhanced magnetic resonance imaging. J Magn Reson Imaging 37:1115–1121

    Article  PubMed  Google Scholar 

Download references

Acknowledgments

The scientific guarantor of this publication is Sheng-xiang Rao. The authors of this manuscript declare no relationships with any companies, whose products or services may be related to the subject matter of the article. This study has received funding by Project supported by the National Science Foundation of China (Grant No. 81371543). No complex statistical methods were necessary for this paper. Institutional Review Board approval was obtained. Written informed consent was waived by the Institutional Review Board. Methodology: case–control study, performed at one institution.

Project supported by the National Science Foundation of China (Grant No. 81371543)

Author information

Affiliations

Authors

Corresponding author

Correspondence to Sheng-Xiang Rao.

Rights and permissions

Reprints and Permissions

About this article

Verify currency and authenticity via CrossMark

Cite this article

Ding, Y., Rao, SX., Chen, C. et al. Assessing liver function in patients with HBV-related HCC: a comparison of T1 mapping on Gd-EOB-DTPA-enhanced MR imaging with DWI. Eur Radiol 25, 1392–1398 (2015). https://doi.org/10.1007/s00330-014-3542-x

Download citation

  • Received:

  • Accepted:

  • Published:

  • Issue Date:

  • DOI: https://doi.org/10.1007/s00330-014-3542-x

Keywords

  • Gd-EOB-DTPA
  • T 1 relaxation time
  • Magnetic resonance imaging
  • Diffusion-weighted imaging
  • Liver function