Skip to main content

Liver diffusion-weighted MR imaging: the tower of Babel?

Abstract

There is a growing amount of literature regarding diffusion-weighted imaging (DWI) of the liver. The apparent diffusion coefficient (ADC) was introduced in 1986 and is used extensively in studies. However, methods for calculating ADC vary considerably and the value of the ADC strongly depends on the b values chosen for its calculation. Indeed, the ADC incorporates the effects of both diffusion and perfusion, which can vary independently. Since signal attenuation as a function of b follows a bi-exponential pattern, other diffusion/perfusion coefficients can be calculated using DWI, and these may provide more meaningful measurements than the ADC. The absence of standardization for both the terminology and the methodology in DWI of the liver makes it difficult for readers to understand the technique used and strongly limits comparisons between studies. Here, we review the main principles of DWI of the liver, the limits of the ADC, and the exciting capabilities of multi-parametric DWI. We also insisted on the need for a common language for DWI of the liver.

When reading papers in the gastrointestinal imaging section of European Radiology, we discovered that diffusion-weighted imaging (DWI) of the liver appears to have been one of the hottest topics over the past 18 months. Indeed, we found at least 7 original papers [14, 10, 12, 13] dealing with DWI of the liver, each of which focused on different clinical applications ranging from the detection of hepatocellular carcinoma [1, 12] to the diagnosis of liver metastases [1, 4, 10], the prediction of tumor response [3, 13] or the evaluation of liver steatosis [2].

These various applications are in keeping with the major capabilities of diffusion-weighted sequences to capture information regarding the molecular diffusion of water, which can be either restricted or enhanced depending on the pathology. The apparent diffusion coefficient (ADC) was introduced in 1986 [8] and its use is widely reported in the literature. Though software included in MR workstations can often perform mono-exponential regression with >2 b values, the ADC is usually calculated by mono-exponential regression using two b values with the formula:

$$ {\hbox{ADC = Lo}}{{\hbox{g}}_{\rm{e}}}\left( {{{\hbox{S}}_0}/{{\hbox{S}}_{{1}}}} \right)/\left( {{b_1} - {b_0}} \right) $$

The optimal b values used for DWI remain unclear, which explains why methods for calculating the ADC vary considerably from one study to another. Furthermore, the ADC incorporates the effects of both diffusion and perfusion [14], which can vary independently. The main drawback is that ADC values depend on both the method used to calculate them and the chosen values for b. This considerably complicates the interpretation of the data.

As detailed below, the variability of the ADC can be explained by the use of a mono-exponential model, whereas signal attenuation is bi-exponential with DWI. Applying a mono-exponential fit to bi-exponential signal attenuation could be considered bad science and may remind us of the famous problem of squaring the circle. In addition to this, the huge variety in the terminology used in publications makes descriptions more difficult to understand and highlights the need for a common language, as was the case in the biblical account of the tower of Babel. Finally, other diffusion/perfusion coefficients can now be calculated using DWI, and these may provide more meaningful measurements than the ADC. Let us take stock of the situation concerning DWI of the liver.

IVIM theory, ADC and other diffusion/perfusion coefficients

The term intravoxel incoherent motion (IVIM) introduced by Le Bihan et al. several years ago [7] reflects the random microscopic translations that occur in voxels on MR images of either intracellular or extracellular water molecules and the microcirculation of blood, since the capillary network is organized pseudorandomly at the voxel level [14]. Since the liver has an isotropic structure, liver DWI is routinely estimated by using tridirectional diffusion gradients (along the 3 axes x, y and z) to calculate an average diffusion-weighted image (called “trace”) [11]. According to IVIM theory [7], signal attenuation as a function of b is expressed by the following equation [6]:

$$ {\hbox{SI = S}}{{\hbox{I}}_0} * \left[ {\left( {{1 }-{\hbox{ f}}} \right) * { \exp }\left( { - b \times {{\hbox{D}}_{\rm{slow}}}} \right){ } + {\hbox{ f}} * { \exp }\left( { - b \times {{\hbox{D}}_{\rm{fast}}}} \right)} \right] $$

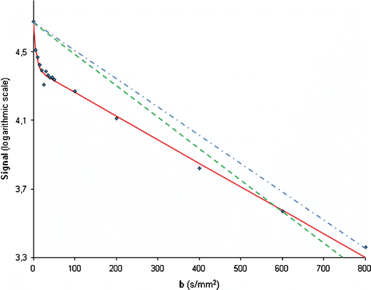
where SI is the signal intensity at the given b value, f represents the perfusion fraction (i.e., fractional volume occupied in the voxel by flowing spins), Dslow (also called D) represents pure molecular diffusion and Dfast (also called D*) perfusion-related diffusion. SI0 is proportional to exp(-TE/T2), which explains why DWI performed with b = 0 s/mm2 corresponds to a T2-weighted sequence. This should not be forgotten when optimizing DWI sequences especially to preserve an adequate signal-to-noise ratio (SNR) with high b values (meaning that if T2 is short or TE is long, the SNR will be very low at high b values). In a normal liver, the Dslow value is about 1.3 × 10−3 mm2/s, the Dfast value is about 100 times higher and f varies between 25% and 30% (Fig. 1). Given the relative values of Dslow and Dfast, the signal from vessels with rapid flow disappears quickly as the b value increases [5], which explains the black-blood images obtained at very low b values. The value of the ADC strongly depends on the b values chosen for its calculation. To show this, Table 1 contains ADC values calculated using a 2-point mono-exponential regression according to the b values used: the ADC varies considerably (1.65–2.83 × 10−3 mm2/s) and is overestimated when b = 0 s/mm2 is used to calculate it, because the effect of perfusion is also incorporated in the calculation.

Fig. 1
figure 1

Evolution of the signal measured using a diffusion-weighted sequence with 16 b values (0, 5, 10, 15, 20, 25, 30, 35, 40, 45, 50, 100, 200, 400, 600, 800 *10−3 s/mm2) in a 43-year-old man with normal liver. (Siemens Trio Tim WIP, Erlangen, Germany). Points: recorded values; red line: bi exponential regression (Dslow = 1.38 × 10−3 mm2/s, Dfast = 160 × 10−3 mm2/s, F = 0.24); dashed blue line: 2-point mono-exponential regression (b = 0, 800 s/mm2) for ADC calculation, dash-point green line: 2-point mono-exponential regression (b = 0, 600 s/mm2) for ADC calculation. In a semi-logarithmic projection, a mono-exponential curve should give a straight line, whose slope is the ADC. Here, a bi-exponential model provides an excellent fit. The first part (0 < b < 50 s/mm2) of the fitting curve represents both pure molecular diffusion and perfusion-related diffusion, whereas the second part (>50 s/mm2) reflects mostly pure molecular diffusion. The ADC (i.e. the slope) varies considerably (and is overestimated) when b = 0 s/mm2 is used to calculate it, because the effect of perfusion is also incorporated in the calculation

Table 1 ADC values calculated from the 16-b diffusion-weighted sequence of Fig. 1, using a 2-point monoexponential regression according to the b values used

Interestingly, the signal due to Dfast (microperfusion) is very close to 0 as soon as the value of b exceeds 50 × 10−3 s/mm2. Therefore, for b values >50–100 × 10−3 s/mm2, signal attenuation can be considered mono-exponential. Thus, the ADC calculated with b > 50 s/mm2 as the first value (and not b = 0) is more reproducible (Table 1) and corresponds to calculating Dslow.

As shown in Table 1, substantial variations of ADC values persist even when b values greater than 50 s/mm2 are used. This can be mostly explained by the noise. The greater the b value, the smaller the SNR. Even at 3 T, with state-of-art gradient hardware, reduced echo times, increased number of acquisitions and respiratory triggering, SI of the liver is very low at b values greater than 800 s/mm2 thereby explaining why noise may contribute substantially to the signal and could influence the calculation of diffusion coefficients. Of course, calculation of the ADC (or other diffusion parameters) can be and should be performed using more than two b values, thereby reducing the effect of noise, provided that the b values are carefully chosen.

Bi-exponential fitting makes it possible to calculate f and Dfast, but very slow b values (between 0 and 20 s/mm2) are needed to model the first part of the curve correctly and thus to provide reliable results for Dfast. Otherwise, its value may be greatly underestimated.

Towards standardization…

To make articles on the subject more easily understandable to readers, the terminology must be clear and standardized if possible. Obviously, we are not in a position to impose rules, but we would like to propose some channels for reflection. First, a precise description of the method used to calculate ADC should be reported in papers since ADC values are meaningful only when reported with the b values used for their measurement, as stated above. Given the significant perfusion fraction in the liver, we suggest abandoning calculation of the ADC using b = 0 s/mm2 and replacing it with b > 50–100 s/mm2. For the sake of clarity, we propose that the b values used to calculate the ADC be systematically included close to the term “ADC” in both the manuscript and the abstract of papers. For instance, if b values of 50, 200 and 400 s/mm2 are used to calculate the ADC, the ADC may be cited as “ADC(b = 50,200,400)”.

With IVIM DWI, other diffusion parameters than the ADC can be calculated [9]. Again, terminology is of major importance, especially so since, to our knowledge, no specific recommendations have been published. The “D” or “Dslow” coefficient was called pure molecular diffusion coefficient by le Bihan. This name is probably more understandable than the term “true diffusion coefficient” proposed by Yamada et al. [14] suggesting that a “false” diffusion coefficient may exist (perhaps ADC?). The abbreviation Dslow has the advantage of being clearer. The “f” coefficient unanimously designates the perfusion fraction. Finally, the name of the “D*” or “Dfast” coefficient is more varied, called either “pseudodiffusion” or “perfusion-related diffusion” or even the “fast-component of diffusion”. In order to be as meaningful as possible, perfusion-related diffusion coefficient is probably the best term and “Dfast” the best suited abbreviation.

The determination of these coefficients (Dslow, Dfast and f) seems promising in diffuse liver disease and especially in cirrhosis in which Dfast is significantly reduced [9]. The exploration of focal lesions using the same approach opens an immense and exciting field to explore (Fig. 2). Currently, even though it is technically challenging to calculate the 3 diffusion coefficients with a high level of reproducibility in focal lesions, further improvements and the optimization of hardware, sequences and signal analysis should considerably improve the reliability of the results in the future.

Fig. 2
figure 2

Hepatocellular carcinoma developed in a non-cirrhotic liver. Besides the classical T2-weighted turbo spin-echo image (a) and the single-shot diffusion-weighted spin echo-planar sequence obtained with a b value of 600 s/mm2 (b), parametric images were calculated (using ImageJ software) from the same diffusion-weighted sequence with 16 b values as in Fig. 1. On the Dslow cartography (c), the HCC nodule exhibits moderately low signal intensity (i.e. moderately restricted pure molecular diffusion; mean Dslow for HCC: 0.94 × 10−3 mm2/s; mean Dslow for surrounding liver: 1.08 × 10−3 mm2/s). The Dfast cartography (d) is more noisy, but reveals low perfusion-related diffusion for the HCC nodule (mean Dfast for HCC: 29 × 10−3 mm2/s; mean Dfast for surrounding liver: 92 × 10−3 mm2/s). Finally, the f cartography (e) demonstrates a very low perfusion fraction in the HCC (mean f for HCC: 0.06; mean F for surrounding liver: 0.32). Color-coded multi-parametric image (f) provides immediate simultaneous visual evaluation of the 3 diffusion parameters

To conclude, there is no doubt that the literature regarding DWI of the liver will grow in the future. We strongly encourage manufacturers to implement multi-b diffusion-weighted echo-planar sequences in MR systems. With such sequences, the possibilities of DWI would be considerably expanded opening an exciting door onto microscopic imaging of both perfusion and molecular diffusion. And wouldn’t it be wonderful if we all spoke the same language!

References

  1. Choi JS, Kim MJ, Choi JY, Park MS, Lim JS, Kim KW (2010) Diffusion-weighted MR imaging of liver on 3.0-Tesla system: effect of intravenous administration of gadoxetic acid disodium. Eur Radiol 20:1052–1060

    Article  PubMed  Google Scholar 

  2. d’Assignies G, Ruel M, Khiat A, Lepanto L, Chagnon M, Kauffmann C, Tang A, Gaboury L, Boulanger Y (2009) Noninvasive quantitation of human liver steatosis using magnetic resonance and bioassay methods. Eur Radiol 19:2033–2040

    Article  PubMed  Google Scholar 

  3. Dudeck O, Zeile M, Wybranski C, Schulmeister A, Fischbach F, Pech M, Wieners G, Ruhl R, Grosser O, Amthauer H, Ricke J (2010) Early prediction of anticancer effects with diffusion-weighted MR imaging in patients with colorectal liver metastases following selective internal radiotherapy. Eur Radiol 20:2699–706

    Article  PubMed  Google Scholar 

  4. Hardie AD, Naik M, Hecht EM, Chandarana H, Mannelli L, Babb JS, Taouli B (2010) Diagnosis of liver metastases: value of diffusion-weighted MRI compared with gadolinium-enhanced MRI. Eur Radiol 20:1431–1441

    Article  PubMed  Google Scholar 

  5. Le Bihan D (2008) Intravoxel incoherent motion perfusion MR imaging: a wake-up call. Radiology 249:748–752

    Article  PubMed  Google Scholar 

  6. Le Bihan D (2007) The ‘wet mind’: water and functional neuroimaging. Phys Med Biol 52:R57–90

    Article  PubMed  Google Scholar 

  7. Le Bihan D, Breton E, Lallemand D, Aubin ML, Vignaud J, Laval-Jeantet M (1988) Separation of diffusion and perfusion in intravoxel incoherent motion MR imaging. Radiology 168:497–505

    PubMed  Google Scholar 

  8. Le Bihan D, Breton E, Lallemand D, Grenier P, Cabanis E, Laval-Jeantet M (1986) MR imaging of intravoxel incoherent motions: application to diffusion and perfusion in neurologic disorders. Radiology 161:401–407

    PubMed  Google Scholar 

  9. Luciani A, Vignaud A, Cavet M, Nhieu JT, Mallat A, Ruel L, Laurent A, Deux JF, Brugieres P, Rahmouni A (2008) Liver cirrhosis: intravoxel incoherent motion MR imaging–pilot study. Radiology 249:891–899

    Article  PubMed  Google Scholar 

  10. Shimada K, Isoda H, Hirokawa Y, Arizono S, Shibata T, Togashi K (2010) Comparison of gadolinium-EOB-DTPA-enhanced and diffusion-weighted liver MRI for detection of small hepatic metastases. Eur Radiol 20(11):2690–8

    Article  PubMed  Google Scholar 

  11. Taouli B, Koh DM (2010) Diffusion-weighted MR imaging of the liver. Radiology 254:47–66

    Article  PubMed  Google Scholar 

  12. Vandecaveye V, De Keyzer F, Verslype C, Op de Beeck K, Komuta M, Topal B, Roebben I, Bielen D, Roskams T, Nevens F, Dymarkowski S (2009) Diffusion-weighted MRI provides additional value to conventional dynamic contrast-enhanced MRI for detection of hepatocellular carcinoma. Eur Radiol 19:2456–2466

    Article  PubMed  Google Scholar 

  13. Wang H, Li J, Chen F, De Keyzer F, Yu J, Feng Y, Nuyts J, Marchal G, Ni Y (2010) Morphological, functional and metabolic imaging biomarkers: assessment of vascular-disrupting effect on rodent liver tumours. Eur Radiol 20:2013–2026

    Article  PubMed  Google Scholar 

  14. Yamada I, Aung W, Himeno Y, Nakagawa T, Shibuya H (1999) Diffusion coefficients in abdominal organs and hepatic lesions: evaluation with intravoxel incoherent motion echo-planar MR imaging. Radiology 210:617–623

    CAS  PubMed  Google Scholar 

Download references

Author information

Affiliations

Authors

Corresponding authors

Correspondence to Boris Guiu or Jean-Pierre Cercueil.

Rights and permissions

Reprints and Permissions

About this article

Cite this article

Guiu, B., Cercueil, JP. Liver diffusion-weighted MR imaging: the tower of Babel?. Eur Radiol 21, 463–467 (2011). https://doi.org/10.1007/s00330-010-2017-y

Download citation

  • Received:

  • Accepted:

  • Published:

  • Issue Date:

  • DOI: https://doi.org/10.1007/s00330-010-2017-y

Keywords

  • Abdomen
  • Magnetic resonance imaging
  • ADC
  • Perfusion
  • Diffusion