Skip to main content

Can pre-operative contrast-enhanced dynamic MR imaging for prostate cancer predict microvessel density in prostatectomy specimens?

Abstract

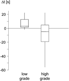
The aim of this study was to correlate quantitative dynamic contrast-enhanced MRI (DCE MRI) parameters with microvessel density (MVD) in prostate carcinoma. Twenty-eight patients with biopsy-proven prostate carcinoma were examined by endorectal MRI including multiplanar T2- and T1-weighted spin-echo and dynamic T1-weighted turbo-FLASH MRI during and after intravenous Gd-DTPA administration. Microvessels were stained on surgical specimens using a CD31 monoclonal antibody. The MVD was quantified in hot spots by counting (MVC) and determining the area fraction by morphometry (MVAF). The DCE MRI data were analyzed using an open pharmacokinetic two-compartment model. In corresponding anatomic locations the time shift (Δt) between the beginning of signal enhancement of cancer and adjacent normal prostatic tissue, the degree of contrast enhancement and the contrast exchange rate constant (k21) were calculated. The MVC and MVAF were elevated in carcinoma (p<0.001 and p=0.002, respectively) and correlated to k21 (r=0.62, p<0.001 and r=0.80, p<0.001, respectively). k21-values of carcinoma were significantly higher compared with normal peripheral but not central zone tissue. Δt was longer in high compared with low-grade tumors (p=0.025). The DCE MRI can provide important information about individual MVD in prostate cancer, which may be helpful for guiding biopsy and assessing individual prognosis.

This is a preview of subscription content, access via your institution.

Fig. 1.
Fig. 2a, b.
Fig. 3.
Fig. 4a, b.
Fig. 5.
Fig. 6.

References

  1. Landis SH, Murray T, Bolden S, Wingo PA (1998) Cancer statistics. CA Cancer J Clin 48:6–29

    CAS  PubMed  Google Scholar 

  2. Carter HB, Coffey DS (1990) The prostate: an increasing medical problem. Prostate 16:39–48

    CAS  PubMed  Google Scholar 

  3. Sarma AV, Schottenfeld D (2002) Prostate cancer incidence, mortality, and survival trends in the United States: 1981–2001. Semin Urol Oncol 20:3–9

    Article  PubMed  Google Scholar 

  4. Quinn SF, Franzini DA, Demlow TA, Rosencrantz DR, Kim J, Hanna RM, Szumowski J (1994) MR imaging of prostate cancer with an endorectal surface coil technique: correlation with whole-mount specimens. Radiology 190:323–327

    CAS  PubMed  Google Scholar 

  5. Yu KK, Hricak H, Alagappan R, Chernoff DM, Bacchetti P, Zaloudek CJ (1997) Detection of extracapsular extension of prostate carcinoma with endorectal and phased-array coil MR imaging: multivariate feature analysis. Radiology 202:697–702

    CAS  PubMed  Google Scholar 

  6. Jager GJ, Severens JL, Thornbury JR, Rosette JJ de la, Ruijs SH, Barentsz JO (2000) Prostate cancer staging: should MR imaging be used? A decision analytic approach. Radiology 215:445–451

    CAS  PubMed  Google Scholar 

  7. Kurhanewicz J, Vigneron DB, Males RG, Swanson MG, Yu KK, Hricak H (2000) The prostate: MR imaging and spectroscopy. Present and future. Radiol Clin North Am 38:115–138

    CAS  PubMed  Google Scholar 

  8. Bostwick DG, Grignon DJ, Hammond ME, Amin MB, Cohen M, Crawford D, Gospadarowicz M, Kaplan RS, Miller DS, Montironi R, Pajak TF, Pollack A, Srigley JR, Yarbro JW (2000) Prognostic factors in prostate cancer. College of American Pathologists Consensus Statement 1999. Arch Pathol Lab Med 124:995–1000

    CAS  PubMed  Google Scholar 

  9. Weidner N, Carroll PR, Flax J, Blumenfeld W, Folkman J (1993) Tumor angiogenesis correlates with metastasis in invasive prostate carcinoma. Am J Pathol 143:401–409

    CAS  PubMed  Google Scholar 

  10. Mehta R, Kyshtoobayeva A, Kurosaki T, Small EJ, Kim H, Stroup R, McLaren CE, Li KT, Fruehauf JP (2001) Independent association of angiogenesis index with outcome in prostate cancer. Clin Cancer Res 7:81–88

    CAS  PubMed  Google Scholar 

  11. Taille A de la, Katz AE, Bagiella E, Buttyan R, Sharir S, Olsson CA, Burchardt T, Ennis RD, Rubin MA (2000) Microvessel density as a predictor of PSA recurrence after radical prostatectomy: a comparison of CD34 and CD31. Am J Clin Pathol 113:555–562

    Article  PubMed  Google Scholar 

  12. Bettencourt MC, Bauer JJ, Sesterhenn IA, Connelly RR, Moul JW (1998) CD34 immunohistochemical assessment of angiogenesis as a prognostic marker for prostate cancer recurrence after radical prostatectomy. J Urol 160:459–465

    CAS  PubMed  Google Scholar 

  13. White S, Hricak H, Forstner R, Kurhanewicz J, Vigneron DB, Zaloudek CJ, Weiss JM, Narayan P, Carroll PR (1995) Prostate cancer: effect of postbiopsy hemorrhage on interpretation of MR images. Radiology 195:385–390

    CAS  PubMed  Google Scholar 

  14. True LD (1994) Surgical pathology examination of the prostate gland: practice survey by American society of clinical pathologists. Am J Clin Pathol 102:572–579

    CAS  PubMed  Google Scholar 

  15. Gleason DF, Mellinger GT (1974) Prediction of prognosis for prostatic adenocarcinoma by combined histological grading and clinical staging. J Urol 111:58–64

    CAS  PubMed  Google Scholar 

  16. Grobholz R, Bohrer MH, Siegsmund M, Jünemann K-P, Bleyl U, Woenckhaus M (2000) Correlation between neovascularisation and neuroendocrine differentiation in prostatic carcinoma. Pathol Res Pract 196:277–284

    CAS  PubMed  Google Scholar 

  17. Jaeger TM, Weidner N, Chew K, Moore DH, Kerschmann RL, Waldman FM, Carroll PR (1995) Tumor angiogenesis correlates with lymph node metastases in invasive bladder cancer. J Urol 154:69–71

    CAS  PubMed  Google Scholar 

  18. Brix G, Semmler W, Port R, Schad LR, Layer G, Lorenz WJ (1991) Pharmacokinetic parameters in CNS Gd-DTPA-enhanced MR imaging. J Comput Assist Tomogr 15:621–628

    CAS  PubMed  Google Scholar 

  19. Port RE, Knopp MV, Hoffmann U, Milker-Zabel S, Brix G (1999) Multicompartment analysis of gadolinium chelate kinetics: blood-tissue exchange in mammary tumors as monitored by dynamic MR imaging. J Magn Reson Imaging 10:233–241

    Article  CAS  PubMed  Google Scholar 

  20. Hoffmann U, Brix G, Knopp MV, Hess T, Lorenz WJ (1995) Pharmacokinetic mapping of the breast: a new method for dynamic MR mammography. Magn Reson Med 33:506–514

    CAS  PubMed  Google Scholar 

  21. Toi M, Kashitani J, Tominaga T (1993) Tumor angiogenesis is an independent prognostic indicator in primary breast carcinoma. Int J Cancer 55:371–374

    CAS  PubMed  Google Scholar 

  22. Schlenger K, Hockel M, Mitze M, Schaffer U, Weikel W, Knapstein PG, Lambert A (1995) Tumor vascularity: a novel prognostic factor in advanced cervical carcinoma. Gynecol Oncol 57–66

    Google Scholar 

  23. Silberman MA, Partin AW, Veltri RW, Epstein JI (1997) Tumor angiogenesis correlates with progression after radical prostatectomy but not with pathologic stage in Gleason sum 5 to 7 adenocarcinoma of the prostate. Cancer 79:772–779

    Article  CAS  PubMed  Google Scholar 

  24. Borre M, Offersen BV, Nerstrom B, Overgaard J (1998) Microvessel density predicts survival in prostate cancer patients subjected to watchful waiting. Br J Cancer 78:940–944

    CAS  PubMed  Google Scholar 

  25. Borre M, Nerstrom B, Overgaard J (2000) Association between immunohistochemical expression of vascular endothelial growth factor (VEGF), VEGF-expressing neuroendocrine-differentiated tumor cells, and outcome in prostate cancer patients subjected to watchful waiting. Clin Cancer Res 1882–1890

  26. Rubin MA, Buyyounouski M, Bagiella E, Sharir S, Neugut A, Benson M, Taille A de la, Katz AE, Olsson CA, Ennis RD (1999) Microvessel density in prostate cancer: lack of correlation with tumor grade, pathologic stage, and clinical outcome. Urology 53:542–547

    Article  CAS  PubMed  Google Scholar 

  27. Gettman MT, Bergstralh EJ, Blute M, Zincke H, Bostwick DG (1998) Prediction of patient outcome in pathologic stage T2 adenocarcinoma of the prostate: lack of significance for microvessel density analysis. Urology 51:79–85

    Article  CAS  PubMed  Google Scholar 

  28. Brown G, Macvicar DA, Ayton V, Husband JE (1999) The role of intravenous contrast enhancement in magnetic resonance imaging of prostatic carcinoma. Clin Radiol 50:601–606

    Google Scholar 

  29. Jager GJ, Ruijter ET, van de Kaa CA, Rosette JJ de la, Oosterhof GO, Thornbury JR, Ruijs SH, Barentsz JO (1997) Dynamic TurboFLASH subtraction technique for contrast-enhanced MR imaging of the prostate: correlation with histopathologic results. Radiology 203:645–652

    CAS  PubMed  Google Scholar 

  30. Barentsz JO, Engelbrecht M, Jager GJ, Witjes JA, Rosette J de la, van der Sanden BP, Huisman HJ, Heerschap A (1999) Fast dynamic gadolinium-enhanced MR imaging of urinary bladder and prostate cancer. J Magn Reson Imaging 10:295–304

    CAS  PubMed  Google Scholar 

  31. Tanaka N, Samma S, Joko M, Akiyama T, Takewa M, Kitano S, Okajima E (1999) Diagnostic usefulness of endorectal magnetic resonance imaging with dynamic contrast-enhancement in patients with localized prostate cancer: mapping studies with biopsy specimens. Int J Urol 6:593–599

    Article  CAS  PubMed  Google Scholar 

  32. Padhani AR, Gapinski CJ, Macvicar DA, Parker GJ, Suckling J, Revell PB, Leach MO, Dearnaley DP, Husband JE (2000) Dynamic contrast-enhanced MRI of prostate cancer: correlation with morphology and tumour stage, histological grade and PSA. Clin Radiol 55:99–109

    CAS  PubMed  Google Scholar 

  33. Ogura K, Maekawa S, Okubo K, Aoki Y, Okada T, Oda K, Watanabe Y, Tsukayama C, Arai Y (2001) Dynamic endorectal magnetic resonance imaging for local staging and detection of neurovascular bundle involvement of prostate cancer: correlation with histopathologic results. Urology 57:721–726

    Article  CAS  PubMed  Google Scholar 

  34. Taylor JS, Tofts PS, Port R, Evelhoch JL, Knopp MV, Reddick WE, Runge VM, Mayr N (1999) MR imaging of tumor microcirculation: promise for the new millenium. J Magn Reson Imaging 10:903–907

    Article  CAS  PubMed  Google Scholar 

  35. Rouvière O, Raudrant A, Ecochard R, Colin-Pangaud C, Pasquiou C, Bouvier R, Maréchal JM, Lyonnet D (2003) Characterization of time-enhancement curves of benign and malignant prostate tissue at dynamic MR imaging. Eur Radiol 13:931–942

    PubMed  Google Scholar 

  36. Preziosi P, Orlachio A, Giambattista GD, Renzi PD, Bortolotti L, Fabiano A, Cruciani E, Pasqualetti P (2003) Enhancement patterns of prostate cancer in dynamic MRI. Eur Radiol 13:925–930

    PubMed  Google Scholar 

  37. Turnbull LW, Buckley DL, Turnbull LS, Liney GP, Knowles AJ (1999) Differentiation of prostatic carcinoma and benign prostatic hyperplasia: correlation between dynamic Gd-DTPA-enhanced MR imaging and histopathology. J Magn Reson Imaging 9:311–316

    CAS  PubMed  Google Scholar 

  38. Huisman HJ, Engelbrecht MR, Barentsz JO (2001) Accurate estimation of pharmacokinetic contrast-enhanced dynamic MRI parameters of the prostate. J Magn Reson Imaging 13:607–614

    Article  CAS  PubMed  Google Scholar 

  39. Gossmann A, Okuhata Y, Shames DM, Helbich TH, Roberts TP, Wendland MF, Huber S, Brasch RC (1999) Prostate cancer tumor grade differentiation with dynamic contrast-enhanced MR imaging in the rat: comparison of macromolecular and small-molecular contrast media—preliminary experience. Radiology 213:265–272

    CAS  PubMed  Google Scholar 

Download references

Acknowledgements

We are grateful to M. Späth and A. Kappeler for technical assistance.

Author information

Affiliations

Authors

Corresponding author

Correspondence to Heinz-Peter Schlemmer.

Rights and permissions

Reprints and Permissions

About this article

Cite this article

Schlemmer, HP., Merkle, J., Grobholz, R. et al. Can pre-operative contrast-enhanced dynamic MR imaging for prostate cancer predict microvessel density in prostatectomy specimens?. Eur Radiol 14, 309–317 (2004). https://doi.org/10.1007/s00330-003-2025-2

Download citation

  • Received:

  • Revised:

  • Accepted:

  • Published:

  • Issue Date:

  • DOI: https://doi.org/10.1007/s00330-003-2025-2

Keywords

  • Prostate carcinoma
  • Dynamic contrast-enhanced MR imaging
  • Angiogenesis
  • Microvessel density