Abstract
Key message
A chalcone synthase gene ( PaCHS ) was isolated and functionally characterized from liverwort. The ectopic expression of PaCHS in Marchantia paleacea callus raised the flavonoids content.
Abstract
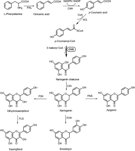
Chalcone synthase (CHS; EC 2.3.1.74) is pivotal for the biosynthesis of flavonoid and anthocyanin pigments in plants. It produces naringenin chalcone by condensing one p-coumaroyl- and three malonyl-coenzyme A thioesters through a polyketide intermediate that is cyclized by intramolecular Claisen condensation. Although CHSs of higher plants have been extensively studied, enzyme properties of the CHSs in liverworts have been scarcely characterized. In this study, we report the cloning and characterization of CHS (designated as PaCHS) from the liverwort Plagiochasma appendiculatum. The gene product was 60–70 % identical with chalcone synthases from other species, and contained the characteristic conserved Cys-His-Asn catalytic triad. The recombinant PaCHS was able to catalyze p-coumaroyl-CoA and malonyl-CoA to generate naringenin in vitro. Heterologously expressed PaCHS protein showed similar kinetic properties to those of higher plant CHS. The ectopic expression of PaCHS in Marchantia paleacea callus raised the content of the total flavonoids. These results suggested that PaCHS played a key role in the flavonoids biosynthesis in liverworts. Furthermore, when the thallus of P. appendiculatum was treated with abiotic stress inducers methyl jasmonate, salicylic acid and abscisic acid, PaCHS expression was enhanced. This is the first time that a CHS in liverworts has been functionally characterized.









Similar content being viewed by others
References
Abe I, Morita H (2010) Structure and function of the chalcone synthase superfamily of plant type III polyketide synthases. Nat Prod Rep 27:809–838
Agrawal A (2011) Pharmacological activities of flavonoids: a review. Int J Pharm Sci Nanotechnol 4:1394–1398
Arnold K, Bordoli L, Kopp J, Schwede T (2006) The SWISS-MODEL workspace: a web-based environment for protein structure homology modelling. Bioinform 22:195–201
Asakawa Y (1995) Chemical constituents of the bryophytes. In: progress in the chemistry of organic natural products. Springer, vienna, Berline, pp 1–562
Cheng A, Wang L, Sun Y, Lou H (2013) Identification and expression analysis of key enzymes of the terpenoids biosynthesis pathway of a liverwort Plagiochasma appendiculatum by EST analysis. Acta Physiol Plant 35:107–118
Chiyoda S, Ishizaki K, Kataoka H, Yamato KT, Kohchi T (2008) Direct transformation of the liverwort Marchantia polymorpha L. by particle bombardment using immature thalli developing from spores. Plant Cell Rep 27:1467–1473
Christie JM, Jenkins GI (1996) Distinct UV-B and UV-A/blue light signal transduction pathways induce chalcone synthase gene expression in Arabidopsis cells. Plant Cell 8:1555–1567
Durbin ML, McCaig B, Clegg MT (2000) Molecular evolution of the chalcone synthase multigene family in the morning glory genome In: Plant Molecular Evolution. Springer, Netherlands, Berline, pp 79–92
Feld H, Zapp J, Becker H (2003) Secondary metabolites from the liverwort Tylimanthus renifolius. Phytochemistry 64:1335–1340
Ferrer J-L, Jez JM, Bowman ME, Dixon RA, Noel JP (1999) Structure of chalcone synthase and the molecular basis of plant polyketide biosynthesis. Nat Struct Mol Biol 6:775–784
Fischer S, Böttcher U, Reuber S, Anhalt S, Weissenböck G (1995) Chalcone synthase in the liverwort Marchantia polymorpha. Phytochemistry 39:1007–1012
Gambino G, Perrone I, Gribaudo I (2008) A rapid and effective method for RNA extraction from different tissues of grapevine and other woody plants. Phytochem Anal 19:520–525
Harashima S, Takano H, Ono K, Takio S (2004) Chalcone synthase-like gene in the liverwort, Marchantia paleacea var. diptera. Plant Cell Rep 23:167–173
Ishizaki K, Chiyoda S, Yamato KT, Kohchi T (2008) Agrobacterium-mediated transformation of the haploid liverwort Marchantia polymorpha L., an emerging model for plant biology. Plant Cell Physiol 49:1084–1091
Jeong ST, Goto-Yamamoto N, Kobayashi S, Esaka M (2004) Effects of plant hormones and shading on the accumulation of anthocyanins and the expression of anthocyanin biosynthetic genes in grape berry skins. Plant Sci 167:247–252
Jez JM, Bowman ME, Noel JP (2002) Expanding the biosynthetic repertoire of plant type III polyketide synthases by altering starter molecule specificity. Proc Natl Acad Sci USA 99:5319–5324
Jiang C, Schommer CK, Kim SY, Suh D-Y (2006) Cloning and characterization of chalcone synthase from the moss, Physcomitrella patens. Phytochemistry 67:2531–2540
Junghans H, Dalkin K, Dixon RA (1993) Stress responses in alfalfa (Medicago sativa L.). 15. Characterization and expression patterns of members of a subset of the chalcone synthase multigene family. Plant Mol Biol 22:239–253
Koduri PH, Gordon GS, Barker EI, Colpitts CC, Ashton NW, Suh D-Y (2010) Genome-wide analysis of the chalcone synthase superfamily genes of Physcomitrella patens. Plant Mol Biol 72:247–263
Lei W, Tang S-H, Luo K-M, Sun M (2010) Molecular cloning and expression profiling of a chalcone synthase gene from hairy root cultures of Scutellaria viscidula Bunge. Genet Mol Biol 33:285–291
Ma L-Q, Guo Y-W, Gao D-Y, Ma D-M, Wang Y-N, Li G-F, Liu B-Y, Wang H, Ye H-C (2009) Identification of a Polygonum cuspidatum three-intron gene encoding a type III polyketide synthase producing both naringenin and p-hydroxybenzalacetone. Planta 229:1077–1086
Markham KR (1988) Distribution of flavonoids in the lower plants and its evolutionary significance. In: the flavonoids. Springer, US, Berline, pp 427–468
Muir SR, Collins GJ, Robinson S, Hughes S, Bovy A, De Vos CR, van Tunen AJ, Verhoeyen ME (2001) Overexpression of petunia chalcone isomerase in tomato results in fruit containing increased levels of flavonols. Nat Biotechnol 19:470–474
Murashige T, Skoog F (1962) A revised medium for rapid growth and bio assays with tobacco tissue cultures. Physiol Plant 15:473–497
Oh H, Kim D-H, Cho J-H, Kim Y-C (2004) Hepatoprotective and free radical scavenging activities of phenolic petrosins and flavonoids isolated from Equisetum arvense. J Ethnopharmacol 95:421–424
Porebski S, Bailey LG, Baum BR (1997) Modification of a CTAB DNA extraction protocol for plants containing high polysaccharide and polyphenol components. Plant Mol Biol Rep 15:8–15
Sommer H, Saedler H (1986) Structure of the chalcone synthase gene of Antirrhinum majus. Mol Gen Genet 202:429–434
Stöckigt J, Zenk M (1974) Chemical syntheses and properties of hydroxycinnamoyl-coenzyme A derivatives. Z Naturforsch Sect C Biosci 30:352–358
Suh D, Fukuma K, Kagami J, Yamazaki Y, Shibuya M, Ebizuka Y, Sankawa U (2000) Identification of amino acid residues important in the cyclization reactions of chalcone and stilbene synthases. Biochem J 350:229–235
Sun Y, Wu Y, Zhao Y, Han X, Lou H, Cheng A (2013) Molecular cloning and biochemical characterization of two cinnamyl alcohol dehydrogenases from a liverwort Plagiochasma appendiculatum. Plant Physiol Biochem 70:133–141
Takenaka M, Yamaoka S, Hanajiri T, Shimizu-Ueda Y, Yamato KT, Fukuzawa H, Ohyama K (2000) Direct transformation and plant regeneration of the haploid liverwort Marchantia polymorpha L. Transgenic Res 9:179–185
Tamura K, Dudley J, Nei M, Kumar S (2007) MEGA4: molecular evolutionary genetics analysis (MEGA) software version 4.0. Mol Biol Evol 24:1596–1599
Wang L, Wang L-N, Zhao Y, Lou H-X, Cheng A-X (2013) Secondary metabolites from Marchantia paleacea calluses and their allelopathic effects on Arabidopsis seed growth. Nat Prod Res 27:274–276
Yu O, Jez JM (2008) Nature’s assembly line: biosynthesis of simple phenylpropanoids and polyketides. Plant J 54:750–762
Acknowledgments
We are grateful for the support of the National Natural Science Foundation of China (No. 30925038 and 31170280).
Conflict of interest
The authors declare that there is no conflict of interest in the present investigation.
Author information
Authors and Affiliations
Corresponding authors
Additional information
Communicated by Zeng-Yu Wang.
H.-N. Yu and L. Wang are contributed equally.
Electronic supplementary material
Below is the link to the electronic supplementary material.
Rights and permissions
About this article
Cite this article
Yu, HN., Wang, L., Sun, B. et al. Functional characterization of a chalcone synthase from the liverwort Plagiochasma appendiculatum . Plant Cell Rep 34, 233–245 (2015). https://doi.org/10.1007/s00299-014-1702-8
Received:
Revised:
Accepted:
Published:
Issue Date:
DOI: https://doi.org/10.1007/s00299-014-1702-8


