Skip to main content

Elevation of serum IgG subclass concentration in patients with rheumatoid arthritis

Abstract

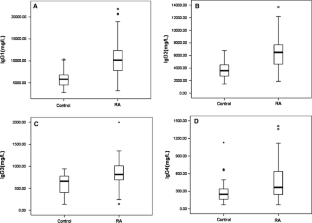
A new concept of IgG subclass such as IgG4-related systemic disease including autoimmune pancreatitis, characterized by a high-serum IgG4 level, has been proposed. Our aim was to investigate serum IgG subclass levels in rheumatoid arthritis (RA). IgG subclass levels of sera from 72 patients with rheumatoid arthritis were determined by immunonephelometric assay. The patients were divided into two groups according to clinical activity of the disease: active disease and remission. The sera from 45 normal controls were also measured. All statistical analyses were carried out with SPSS software version 13.0. We found a significant increase of all the four IgG subclass concentrations in sera of patients with RA compared to those of the controls (P < 0.001). When the patients were divided according to clinical activity, the IgG subclass concentrations were similar between the two groups (P > 0.05). Our data suggest that besides IgG1, IgG2 and IgG3, IgG4 may involve in the pathogenesis of the disease.

This is a preview of subscription content, access via your institution.

Fig. 1

References

  1. Hamano H, Kawa S, Horiuchi A, Unno H, Furuya N, Akamatsu T, Fukushima M, Nikaido T, Nakayama K, Usuda N, Kiyosawa K (2001) High serum IgG4 concentrations in patients with sclerosing pancreatitis. N Engl J Med 344:732–738

    Article  CAS  PubMed  Google Scholar 

  2. Chapuy-Regaud S, Nogueira L, Clavel C, Sebbag M, Vincent C, Serre G (2005) IgG subclass distribution of the rheumatoid arthritis-specific autoantibodies to citrullinated fibrin. Clin Exp Immunol 139:542–550

    Article  CAS  PubMed  Google Scholar 

  3. Martini A, Plebani A, Ravelli A, Avanzini MA, Jefferis R, Zonta L, Notarangelo LD, Ugazio AG, Burgio R (1986) IgG subclass serum levels in juvenile chronic arthritis. Ann Rheum Dis 45:400–404

    Article  CAS  PubMed  Google Scholar 

  4. Shakib F, Stanworth DR (1976) IgG subclass composition of rheumatoid arthritic sera and joint fluids. Ann Rheum Dis 35:263–266

    Article  CAS  PubMed  Google Scholar 

  5. Pressac M, Allouche F, Circaud R, Aymard P (1995) Evaluation of human IgG subclass assays on Beckman array. Ann Clin Biochem 32(Pt 3):281–288

    CAS  PubMed  Google Scholar 

  6. Arnett FC, Edworthy SM, Bloch DA, McShane DJ, Fries JF, Cooper NS et al (1988) The American Rheumatism Association 1987 revised criteria for the classification of rheumatoid arthritis. Arthritis Rheum 31:315–324

    Article  CAS  PubMed  Google Scholar 

  7. Fransen J, Langenegger T, Michel BA, Stucki G (2000) Feasibility and validity of the RADAI, a self-administered rheumatoid arthritis disease activity index. Rheumatology (Oxford) 39:321–327

    Article  CAS  Google Scholar 

  8. Martini A, Avanzini MA, Ravelli A, Zonta L, Plebani A, de Benedetti F, Burgio RG (1989) Variation of serum IgG subclass concentrations with disease activity in juvenile chronic arthritis. Ann Rheum Dis 48:582–585

    Article  CAS  PubMed  Google Scholar 

  9. Ravetch JV, Bolland S (2001) IgG Fc receptors. Annu Rev Immunol 19:275–290

    Article  CAS  PubMed  Google Scholar 

  10. Engelmann R, Brandt J, Eggert M, Karberg K, Krause A, Neeck G, Mueller-Hilke B (2008) IgG1 and IgG4 are the predominant subclasses among auto-antibodies against two citrullinated antigens in RA. Rheumatology (Oxford) 47:1489–1492

    Article  CAS  Google Scholar 

  11. Cohen PL, Cheek RL, Hadler JA, Yount WJ, Eisenberg RA (1987) The subclass distribution of human IgG rheumatoid factor. J Immunol 139:1466–1471

    CAS  PubMed  Google Scholar 

  12. Mihai S, Chiriac MT, Herrero-Gonzalez JE, Goodall M, Jefferis R, Savage CO, Zillikens D, Sitaru C (2007) IgG4 autoantibodies induce dermal-epidermal separation. J Cell Mol Med 11:1117–1128

    Article  CAS  PubMed  Google Scholar 

  13. Kawa S, Kitahara K, Hamano H, Ozaki Y, Arakura N, Yoshizawa K, Umemura T, Ota M, Mizoguchi S, Shimozuru Y, Bahram S (2008) A novel immunoglobulin - immunoglobulin interaction in autoimmunity. PLoS ONE 3:e1637

    Article  PubMed  Google Scholar 

  14. van der Neut Kolfschoten M, Schuurman J, Losen M, Bleeker WK, Martínez-Martínez P, Vermeulen E, den Bleker TH, Wiegman L, Vink T, Aarden LA, De Baets MH, van de Winkel JG, Aalberse RC, Parren PW (2007) Anti-inflammatory activity of human IgG4 antibodies by dynamic Fab arm exchange. Science 317:1554–1557

    Article  PubMed  Google Scholar 

  15. Aalberse RC, van der Gaag R, van Leeuwen J (1983) Serologic aspects of IgG4 antibodies. I. Prolonged immunization results in an IgG4-restricted response. J Immunol 130:722–726

    CAS  PubMed  Google Scholar 

Download references

Acknowledgments

We thank professor Jian Guo and professor Zhi-Xian Xie of Beijing Hospital for their assistance.

Author information

Affiliations

Authors

Corresponding author

Correspondence to Jinming Li.

Rights and permissions

Reprints and Permissions

About this article

Cite this article

Lin, G., Li, J. Elevation of serum IgG subclass concentration in patients with rheumatoid arthritis. Rheumatol Int 30, 837–840 (2010). https://doi.org/10.1007/s00296-009-1330-8

Download citation

  • Received:

  • Accepted:

  • Published:

  • Issue Date:

  • DOI: https://doi.org/10.1007/s00296-009-1330-8

Keywords

  • Rheumatoid arthritis
  • IgG subclass
  • Immunonephelometric assay