Skip to main content

Anemia in monkey collagen-induced arthritis is correlated with serum IL-6, but not TNFα

Abstract

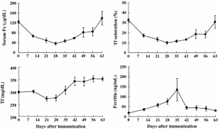
We characterized the anemia in monkey collagen-induced arthritis (CIA) to evaluate whether this model is useful to analyze the basis of an anemia of inflammatory diseases. Cynomolgus monkey was immunized with bovine type II collagen on days 0 and 21. Blood samples were collected regularly and hematological parameters, biochemical parameters and cytokine levels were monitored. Red blood cell (RBC) counts, hematocrit (Ht), and hemoglobin (Hb) gradually decreased after immunization and reached the bottom on day 35. CRP rose rapidly after first immunization and reached a peak on day 21. Serum iron levels and transferrin (Tf) saturation were dropped after immunization and reached a bottom on day 28. Thereafter it returned to normal. On the other hand, ferritin levels increased after immunization. IL-6 levels showed positive correlation with CRP, and negative correlation with Hb, RBC counts and serum iron, but TNFα did not show any correlation. In conclusion, the anemia in monkey CIA is very similar to human anemia of inflammatory diseases concerning the changes of serum parameters. And our data strongly suggest that IL-6 is an essential cytokine for the development of the anemia in monkey CIA.

This is a preview of subscription content, access via your institution.

Fig. 1
Fig. 2
Fig. 3
Fig. 4

References

  1. Baer AN, Dessypris EN, Goldwasser E, Krantz SB (1987) Blunted erythropoietin response to anemia in rheumatoid arthritis. Br J Haematol 66:559–564

    PubMed  Article  CAS  Google Scholar 

  2. Hochberg MC, Arnold CM, Hogans BB, Spivak JL (1988) Serum immunoreactive erythropoietin in rheumatoid arthritis: impaired response to anemia. Arthritis Rheum 31:1318–1321

    PubMed  Article  CAS  Google Scholar 

  3. Peeters HR, Jongen-Lavrencic M, Raja AN, Ramdin HS, Vreugdenhil G, Breedveld FC, Swaak AJ (1996) Course and characteristics of anaemia in patients with rheumatoid arthritis of recent onset. Ann Rheum Dis 55:162–168

    PubMed  CAS  Article  Google Scholar 

  4. Jongen-Lavrencic M, Peeters HR, Wognum A, Vreugdenhil G, Breedveld FC, Swaak AJ (1997) Elevated levels of inflammatory cytokines in bone marrow of patients with rheumatoid arthritis and anemia of chronic disease. J Rheumatol 24:1504–1509

    PubMed  CAS  Google Scholar 

  5. Voulgari PV, Kolios G, Papadopoulos GK, Katsaraki A, Seferiadis K, Drosos AA (1999) Role of cytokines in the pathogenesis of anemia of chronic disease in rheumatoid arthritis. Clin Immunol 92:153–160

    PubMed  Article  CAS  Google Scholar 

  6. Trentham DE, Townes AS, Kang AH (1977) Autoimmunity to type II collagen an experimental model of arthritis. J Exp Med 146:857–868

    PubMed  Article  CAS  Google Scholar 

  7. Vierboom MP, Jonker M, Tak PP, ‘t Hart BA (2007) Preclinical models of arthritis disease in non-human primates. Drug Discov Today 12:327–335

    PubMed  Article  CAS  Google Scholar 

  8. Mihara M, Kotoh M, Nishimoto N, Oda Y, Kumagai E, Takagi N, Tsunemi K, Ohsugi Y, Kishimoto T, Yoshizaki K, Takeda Y (2001) Humanized antibody to human interleukin-6 receptor inhibits the development of collagen arthritis in cynomolgus monkeys. Clin Immunol 98:319–326

    PubMed  Article  CAS  Google Scholar 

  9. Takagi N, Mihara M, Moriya Y, Nishimoto N, Yoshizaki K, Kishimoto T, Takeda Y, Ohsugi Y (1998) Blockage of interleukin-6 receptor ameliorates joint disease in murine collagen-induced arthritis. Arthritis Rheum 41:2117–2121

    PubMed  Article  CAS  Google Scholar 

  10. Hansen NE (1983) The anemia of chronic disorders: a bag of unsolved questions. Scand J Haemotol 31:397–402

    CAS  Google Scholar 

  11. Lee GR (1983) The anemia of chronic disease. Semin Hematol 20:61–80

    PubMed  CAS  Google Scholar 

  12. Schilling RF (1991) Anemia of chronic disease: a misnomer. Ann Intern Med 115:572–573

    PubMed  CAS  Google Scholar 

  13. Jongen-Lavrencic M, Peeters HR, Rozemuller H, Rombouts WJ, Martens AC, Vreugdenhil G, Pillay M, Cox PH, Bijser M, Brutel G, Breedveld FC, Swaak AJ (1996) IL-6-induced anaemia in rats: possible pathogenetic implications for anemia observed in chronic inflammations. Clin Exp Immunol 103:328–334

    PubMed  Article  CAS  Google Scholar 

  14. Nishimoto N, Yoshizaki K, Miyasaka N, Yamamoto K, Kawai S, Takeuchi T, Hashimoto J, Azuma J, Kishimoto T (2004) Treatment of rheumatoid arthritis with humanized anti-interleukin-6 receptor antibody: a multicenter, double-blind, placebo-controlled trial. Arthritis Rheum 50:1761–1769

    PubMed  Article  CAS  Google Scholar 

  15. Cohick CB, Furst DE, Quagliata S, Corcoran KA, Steere KJ, Yager JG, Lindsley HB (1994) Analysis of elevated serum interleukin-6 levels in rheumatoid arthritis: correlation with erythrocyte sedimentation rate or C-reactive protein. J Lab Clin Med 123:721–727

    PubMed  CAS  Google Scholar 

  16. Ganapathi MK, Rzewnicki D, Samols D, Jiang SL, Kushner I (1991) Effect of combinations of cytokines and hormones on synthesis of serum amyloid A and C-reactive protein in Hep 3B cells. J Immunol 147:1261–1265

    PubMed  CAS  Google Scholar 

  17. Yap SH, Moshage HJ, Hazenberg BP, Roelofs HM, Bijzet J, Limburg PC, Aarden LA, van Rijswijk MH (1991) Tumor necrosis factor (TNF) inhibits interleukin (IL)-1 and/or IL-6 stimulated synthesis of C-reactive protein (CRP) and serum amyloid A (SAA) in primary cultures of human hepatocytes. Biochim Biophys Acta 1091:405–408

    PubMed  Article  CAS  Google Scholar 

  18. Davis D, Charles PJ, Potter A, Feldmann M, Maini RN, Elliott MJ (1997) Anaemia of chronic disease in rheumatoid arthritis: in vivo effects of tumour necrosis factor alpha blockade. Br J Rheumatol 36:950–956

    PubMed  Article  CAS  Google Scholar 

  19. Maini R, St Clair EW, Breedveld F, Furst D, Kalden J, Weisman M, Smolen J, Emery P, Harriman G, Feldmann M, Lipsky P (1999) Infliximab (chimeric anti-tumour necrosis factor alpha monoclonal antibody) versus placebo in rheumatoid arthritis patients receiving concomitant methotrexate: a randomised phase III trial. ATTRACT Study Group. Lancet 354:1932–1939

    PubMed  Article  CAS  Google Scholar 

  20. Charles P, Elliott MJ, Davis D, Potter A, Kalden JR, Antoni C, Breedveld FC, Smolen JS, Eberl G, deWoody K, Feldmann M, Maini RN (1999) Regulation of cytokines, cytokine inhibitors, and acute-phase proteins following anti-TNF-α therapy in rheumatoid arthritis. J Immunol 163:1521–1528

    PubMed  CAS  Google Scholar 

  21. Nicolas G, Bennoun M, Porteu A, Mativet S, Beaumont C, Grandchamp B, Sirito M, Sawadogo M, Kahn A, Vaulont S (2002) Severe iron deficiency anemia in transgenic mice expressing liver hepcidin. Proc Natl Acad Sci USA 99:4596–4601

    PubMed  Article  CAS  Google Scholar 

  22. Nicolas G, Bennoun M, Devaux I, Beaumont C, Grandchamp B, Kahn A, Vaulont S (2001) Lack of hepcidin gene expression and severe tissue iron overload in upstream stimulatory factor 2 (USF2) knockout mice. Proc Natl Acad Sci USA 98:8780–8785

    PubMed  Article  CAS  Google Scholar 

  23. Nemeth E, Rivera S, Gabayan V, Keller C, Taudorf S, Pedersen BK, Ganz T (2004) IL-6 mediates hypoferremia of inflammation by inducing the synthesis of the iron regulatory hormone hepcidin. J Clin Invest 113:1271–1276

    PubMed  CAS  Google Scholar 

Download references

Author information

Affiliations

Authors

Corresponding author

Correspondence to Masahiko Mihara.

Rights and permissions

Reprints and Permissions

About this article

Cite this article

Uchiyama, Y., Koike, N. & Mihara, M. Anemia in monkey collagen-induced arthritis is correlated with serum IL-6, but not TNFα. Rheumatol Int 28, 879–883 (2008). https://doi.org/10.1007/s00296-008-0547-2

Download citation

  • Received:

  • Accepted:

  • Published:

  • Issue Date:

  • DOI: https://doi.org/10.1007/s00296-008-0547-2

Keywords

  • Anemia
  • Monkey arthritis
  • IL-6
  • TNFα