Skip to main content

A two-thresholds policy for a Filippov model in combating influenza

Abstract

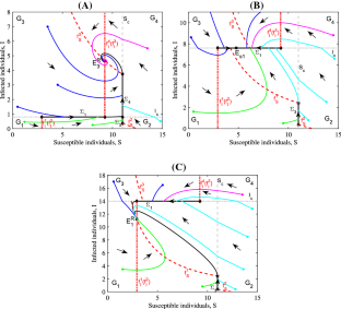
This work designs a two-thresholds policy for a Filippov model in combating influenza, so as to estimate when and whether to take control strategies, including the media coverage, antiviral treatment of infected individuals and vaccination of susceptible population. By introducing two tolerance thresholds \(S_{c}\) and \(I_{c}\) of susceptible and infected individuals, the two-thresholds policy is designed as: a vaccination program is implemented when the number of susceptible individuals is above \(S_{c}\); an antiviral treatment strategy is taken and the mass media begins to report information about influenza when the infection number is larger than \(I_{c}\); no control strategies are required in other cases. Furthermore, the global dynamics of the model are analyzed by varying these two thresholds, including the existence and dynamics of sliding mode, and the existence and global stability of equilibrium. It is shown that the model solutions ultimately converge to a pseudoequilibrium or a pseudoattractor on the switching surface, or a real equilibrium. The obtained results indicate that, by choosing susceptible and infected thresholds properly, the infection number can be remained below or at an acceptable level.

This is a preview of subscription content, access via your institution.

Fig. 1
Fig. 2
Fig. 3
Fig. 4
Fig. 5
Fig. 6
Fig. 7
Fig. 8
Fig. 9
Fig. 10

References

  • Baba IA, Kaymakamzade B, Hincal E (2018) Two-strain epidemic model with two vaccinations. Chaos Solitons Fractals 106:342–348

    MathSciNet  Article  Google Scholar 

  • Chen C, Chong NS, Smith RJ (2018) A Filippov model describing the effects of media coverage and quarantine on the spread of human influenza. Math Biosci 296:98–112

    MathSciNet  Article  Google Scholar 

  • Chen C, Li CT, Kang YM (2018) Modelling the effects of cutting offinfected branches and replanting on fire-blight transmission using Filippov systems. J Theor Biol 439:127–140

    Article  Google Scholar 

  • Chong NS, Dionne B, Smith RJ (2016) An avian-only Filippov model incorporating culling of both susceptible and infected birds in combating avian influenza. J Math Biol 73:751–784

    MathSciNet  Article  Google Scholar 

  • Chung KW, Lui R (2016) Dynamics of two-strain influenza model with cross-immunity and no quarantine class. J Math Biol 73:1467–1489

    MathSciNet  Article  Google Scholar 

  • Dobrovolny HM, Beauchemin CAA (2017) Modelling the emergence of influenza drug resistance: the roles of surface proteins, the immune response and antiviral mechanisms. PLoS ONE 12:e0180582

    Article  Google Scholar 

  • Du XJ, King AA, Woods RJ, Pascual M (2017) Evolution-informed forecasting of seasonal influenza A (H3N2). Sci Transl Med 9:eaan5325

  • Erdem M, Safan M, Castillo-Chavez C (2017) Mathematical analysis of an SIQR influenza model with imperfect quarantine. Bull Math Biol 79:1612–1636

    MathSciNet  Article  Google Scholar 

  • Filippov AF (1988) Differential equations with discontinuous righthand sides. Kluwer Academic, Dordrecht

    Book  Google Scholar 

  • Hay AJ, Gregory V, Douglas AR, Lin YP (2001) The evolution of human influenza viruses. Philos Trans R Soc Lond B 356:1861–1870

    Article  Google Scholar 

  • Ho HS, He DH, Eftimie R (2019) Mathematical models of transmission dynamics and vaccine strategies in Hong Kong during the 2017–2018 winter influenza season. J Theor Biol 476:74–94

    MathSciNet  Article  Google Scholar 

  • Hsu J, Santesso N, Mustafa R et al (2012) Antivirals for treatment of influenza: a systematic review and meta-analysis of observational studies. Ann Intern Med 156:512–524

    Article  Google Scholar 

  • Kim S, Lee J, Jung E (2017) Mathematical model of transmission dynamics and optimal control strategies for 2009 A/H1N1 influenza in the Republic of Korea. J Theor Biol 412:74–85

    Article  Google Scholar 

  • LaSalle JP (1976) The stability of dynamical systems. In: Regional conference series in applied mathematics. SIAM, Philadelphia

  • Leine RI (2000) Bifurcations in discontinuous mechanical systems of Filippov-type. The Universiteitsdrukkerij TU Eindhoven, Eindhoven

    Google Scholar 

  • Li Q, Zhou L, Zhou M et al (2014) Epidemiology of human infections with avian influenza A (H7N9) virus in china. New Engl J Med 370:520–532

    Article  Google Scholar 

  • Liu SH, Ruan SG, Zhang XN (2017) Nonlinear dynamics of avian influenza epidemic models. Math Biosci 283:118–135

    MathSciNet  Article  Google Scholar 

  • McCauley JW, Hongo S, Kaverin NV, Kochs G, Lamb RA et al (2012) Family Orthomyxoviridae. In: King AMQ, Adams MJ, Carstens EB, Lefkowitz EJ (eds) Virus taxonomy, ninth report of the international committee on taxonomy of viruses. Elsevier, Amsterdam, pp 749–761

    Google Scholar 

  • Mu R, Wei AR, Yang YP (2019) Global dynamics and sliding motion in A(H7N9) epidemic models with limited resources and Filippov control. J Math Anal Appl 477:1296–1317

    MathSciNet  Article  Google Scholar 

  • Nuno M, Feng ZL, Martcheva M, Castillo-Chavez C (2005) Dynamics of two-strain influenza with isolation and partial cross-immunity. SIAM J Appl Math 65:964–982

    MathSciNet  Article  Google Scholar 

  • Pei S, Kandula S, Yang W et al (2018) Forecasting the spatial transmission of influenza in the United States. Proc Natl Acad Sci USA 115:2752–2757

    Article  Google Scholar 

  • Pica N, Palese P (2013) Toward a universal influenza virus vaccine: prospects and challenges. Annu Rev Med 64:189–202

    Article  Google Scholar 

  • Qiu ZP, Feng ZL (2010) Transmission dynamics of an influenza model with vaccination and antiviral treatment. Bull Math Biol 72:1–33

    MathSciNet  Article  Google Scholar 

  • Reynolds JJ, Torremorell M, Craft ME (2014) Mathematical modeling of influenza A virus dynamics within swine farms and the effects of vaccination. PLoS ONE 9:e106177

    Article  Google Scholar 

  • Saunders-Hastings P, Hayes BQ, Smith R, Krewski D (2017) Modelling community-control strategies to protect hospital resources during an influenza pandemic in Ottawa, Canada. PLoS ONE 12:e0179315

    Article  Google Scholar 

  • Tang SY, Liang JH, Xiao YN, Cheke RA (2012) Sliding bifurcation of Filippov two stage pest control models with economic thresholds. SIAM J Appl Math 72:1061–1080

    MathSciNet  Article  Google Scholar 

  • Tang B, Xiao YN, Cheke RA, Wang N (2015) Piecewise virus-immune dynamic model with HIV-1 RNA-guided therapy. J Theor Biol 377:36–46

    MathSciNet  Article  Google Scholar 

  • Tuncer N, Martcheva M (2013) Modeling seasonality in Avian influenza H5N1. J Biol Syst 21:134004

    MathSciNet  Article  Google Scholar 

  • Van den Driessche P, Watmough J (2002) Reproduction numbers and sub-threshold endemic equilibria for compartmental models of disease transmission. Math Biosci 180:29–48

    MathSciNet  Article  Google Scholar 

  • Wang JF, Zhang FQ, Wang L (2016) Equilibrium, pseudoequilibrium and sliding-mode heteroclinic orbit in a Filippov-type plant disease model. Nonlinear Anal RWA 31:308–324

    MathSciNet  Article  Google Scholar 

  • Wang YQ, Qu JX, Ba Q, Dong JH et al (2016) Detection and typing of human-infecting influenza viruses in China by using a multiplex DNA biochip assay. J Virol Methods 234:178–185

    Article  Google Scholar 

  • Xiao YN, Sun XD, Tang SY, Wu JH (2014) Transmission potential of the novel avian influenza A(H7N9) infection in mainland China. J Theor Biol 352:1–5

    MathSciNet  Article  Google Scholar 

  • Yoon SW, Webby RJ, Webster RG (2014) Evolution and ecology of influenza aviruses. Curr Top Microbiol Immunol 385:359–375

    Google Scholar 

  • Zhang J, Jin J, Sun GQ, Sun XD, Wang YM, Huang BX (2014) Determination of original infection source of H7N9 avian influenza by dynamical model. Sci Rep 4:4846

    Article  Google Scholar 

  • Zhou WK, Xiao YN, Heffernan JM (2019) Optimal media reporting intensity on mitigating spread of an emerging infectious disease. PLoS ONE 14:e0213898

    Article  Google Scholar 

  • Zhou WK, Xiao YN, Heffernan JM (2019) A two-thresholds policy to interrupt transmission of West Nile Virus to birds. J Theor Biol 463:22–46

    MathSciNet  Article  Google Scholar 

Download references

Acknowledgements

This work was supported by the National Natural Science Foundation of China (Nos. 11801528 and 11801140), Foundation of Henan Educational Committee (Nos. 19A110035 and 19A110008) and Basic Research Projects of Key Scientific Research Projects Plan in Henan Higher Education Institutions(No. 20zx003).

Author information

Affiliations

Authors

Corresponding author

Correspondence to Can Chen.

Additional information

Publisher's Note

Springer Nature remains neutral with regard to jurisdictional claims in published maps and institutional affiliations.

Rights and permissions

Reprints and Permissions

About this article

Verify currency and authenticity via CrossMark

Cite this article

Chen, C., Wang, P. & Zhang, L. A two-thresholds policy for a Filippov model in combating influenza. J. Math. Biol. 81, 435–461 (2020). https://doi.org/10.1007/s00285-020-01514-w

Download citation

  • Received:

  • Revised:

  • Published:

  • Issue Date:

  • DOI: https://doi.org/10.1007/s00285-020-01514-w

Keywords

  • Influenza
  • Filippov model
  • Two-thresholds policy
  • Global dynamics
  • Sliding-mode dynamics

Mathematics Subject Classification

  • 34A38
  • 92D30
  • 34D23