Skip to main content

A negative answer to a conjecture arising in the study of selection–migration models in population genetics

Abstract

We deal with the study of the evolution of the allelic frequencies, at a single locus, for a population distributed continuously over a bounded habitat. We consider evolution which occurs under the joint action of selection and arbitrary migration, that is independent of genotype, in absence of mutation and random drift. The focus is on a conjecture, that was raised up in literature of population genetics, about the possible uniqueness of polymorphic equilibria, which are known as clines, under particular circumstances. We study the number of these equilibria, making use of topological tools, and we give a negative answer to that question by means of two examples. Indeed, we provide numerical evidence of multiplicity of positive solutions for two different Neumann problems satisfying the requests of the conjecture.

This is a preview of subscription content, access via your institution.

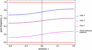
Fig. 1
Fig. 2
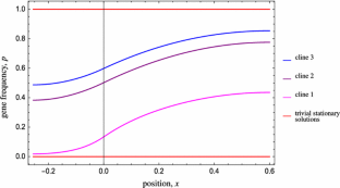
Fig. 3
Fig. 4
Fig. 5
Fig. 6
Fig. 7

References

  • Alama S, Tarantello G (1993) On semilinear elliptic equations with indefinite nonlinearities. Calc Var Partial Differ Equ 1(4):439–475

    MathSciNet  Article  MATH  Google Scholar 

  • Amann H, López-Gómez J (1998) A priori bounds and multiple solutions for superlinear indefinite elliptic problems. J Differ Equ 146(2):336–374

    MathSciNet  Article  MATH  Google Scholar 

  • Bandle C, Pozio MA, Tesei A (1988) Existence and uniqueness of solutions of nonlinear Neumann problems. Math Z 199(2):257–278

    MathSciNet  Article  MATH  Google Scholar 

  • Berestycki H, Capuzzo-Dolcetta I, Nirenberg L (1994) Superlinear indefinite elliptic problems and nonlinear Liouville theorems. Topol Methods Nonlinear Anal 4(1):59–78

    MathSciNet  Article  MATH  Google Scholar 

  • Berestycki H, Capuzzo-Dolcetta I, Nirenberg L (1995) Variational methods for indefinite superlinear homogeneous elliptic problems. NoDEA Nonlinear Differ Equ Appl 2(4):553–572

    MathSciNet  Article  MATH  Google Scholar 

  • Bonheure D, Gomes JM, Habets P (2005) Multiple positive solutions of superlinear elliptic problems with sign-changing weight. J Differ Equ 214(1):36–64

    MathSciNet  Article  MATH  Google Scholar 

  • Boscaggin A (2011) A note on a superlinear indefinite Neumann problem with multiple positive solutions. J Math Anal Appl 377(1):259–268

    MathSciNet  Article  MATH  Google Scholar 

  • Boscaggin A, Garrione M (2016) Multiple solutions to Neumann problems with indefinite weight and bounded nonlinearities. J Dynam Differ Equ 28(1):167–187

    MathSciNet  Article  MATH  Google Scholar 

  • Boscaggin A, Feltrin G, Zanolin F (2016) Pairs of positive periodic solutions of nonlinear ODEs with indefinite weight: a topological degree approach for the super-sublinear case. Proc R Soc Edinb Sect A 146(3):449–474

    MathSciNet  Article  MATH  Google Scholar 

  • Brezis H, Oswald L (1986) Remarks on sublinear elliptic equations. Nonlinear Anal 10:55–64

    MathSciNet  Article  MATH  Google Scholar 

  • Brown KJ, Hess P (1990) Stability and uniqueness of positive solutions for a semi-linear elliptic boundary value problem. Differ Integral Equ 3:201–207

    MathSciNet  MATH  Google Scholar 

  • Brown KJ, Lin SS (1980) On the existence of positive eigenfunctions for an eigenvalue problem with indefinite weight function. J Math Anal Appl 75(1):112–120

    MathSciNet  Article  MATH  Google Scholar 

  • Brown KJ, Lin SS, Tertikas A (1989) Existence and nonexistence of steady-state solutions for a selection–migration model in population genetics. J Math Biol 27(1):91–104

    MathSciNet  Article  MATH  Google Scholar 

  • Bürger R (2014) A survey of migration–selection models in population genetics. Discrete Contin Dyn Syst Ser B 19(4):883–959

    MathSciNet  Article  MATH  Google Scholar 

  • Conley C (1975) An application of Wazewski’s method to a nonlinear boundary value problem which arises in population genetics. J Math Biol 2:241–249

    MathSciNet  Article  MATH  Google Scholar 

  • Feltrin G, Zanolin F (2015) Multiple positive solutions for a superlinear problem: a topological approach. J Differ Equ 259(3):925–963

    MathSciNet  Article  MATH  Google Scholar 

  • Fife PC, Peletier LA (1977) Nonlinear diffusion in population genetics. Arch Rational Mech Anal 64(2):93–109

    MathSciNet  Article  MATH  Google Scholar 

  • Fife PC, Peletier LA (1981) Clines induced by variable selection and migration. Proc R Soc Lond B Biol Sci 214(1194):99–123

    Article  MATH  Google Scholar 

  • Fisher RA (1937) The wave of advance of advantageous genes. Ann Eugen 7(4):355–369

    Article  MATH  Google Scholar 

  • Fisher RA (1950) Gene frequencies in a cline determined by selection and diffusion. Biometrics 6(4):353–361

    Article  Google Scholar 

  • Fleming WH (1975) A selection–migration model in population genetics. J Math Biol 2(3):219–233

    MathSciNet  Article  MATH  Google Scholar 

  • Gaudenzi M, Habets P, Zanolin F (2003) An example of a superlinear problem with multiple positive solutions. Atti Sem Mat Fis Univ Modena 51(2):259–272

    MathSciNet  MATH  Google Scholar 

  • Girão PM, Gomes JM (2009) Multibump nodal solutions for an indefinite superlinear elliptic problem. J Differ Equ 247(4):1001–1012

    MathSciNet  Article  MATH  Google Scholar 

  • Gómez-Reñasco R, López-Gómez J (2000) The effect of varying coefficients on the dynamics of a class of superlinear indefinite reaction–diffusion equations. J Differ Equ 167(1):36–72

    MathSciNet  Article  MATH  Google Scholar 

  • Haldane JB (1948) The theory of a cline. J Genet 48(3):277–284

    Article  Google Scholar 

  • Henry D (1981) Geometric theory of semilinear parabolic equations. Lecture notes in mathematics, vol 840. Springer, Berlin

    Book  Google Scholar 

  • Hess P, Kato T (1980) On some linear and nonlinear eigenvalue problems with an indefinite weight function. Commun Partial Differ Equ 5(10):999–1030

    MathSciNet  Article  MATH  Google Scholar 

  • Huxley J (1938) Clines: an auxiliary method in taxonomy. Nature 142:219–220

    Article  Google Scholar 

  • Jones DF (ed) (1932) Proceedings of the sixth international congress of genetics. Brooklyn Botanical Garden, Ithaca

    Google Scholar 

  • López-Gómez J, Molina-Meyer M (2005) Bounded components of positive solutions of abstract fixed point equations: mushrooms, loops and isolas. J Differ Equ 209(2):416–441

    MathSciNet  Article  MATH  Google Scholar 

  • López-Gómez J, Tellini A (2014) Generating an arbitrarily large number of isolas in a superlinear indefinite problem. Nonlinear Anal 108:223–248

    MathSciNet  Article  MATH  Google Scholar 

  • Lou Y, Nagylaki T (2002) A semilinear parabolic system for migration and selection in population genetics. J Differ Equ 181:388–418

    MathSciNet  Article  MATH  Google Scholar 

  • Lou Y, Ni WM, Su L (2010) An indefinite nonlinear diffusion problem in population genetics. II. Stability and multiplicity. Discrete Contin Dyn Syst 27(2):643–655

    MathSciNet  Article  MATH  Google Scholar 

  • Lou Y, Nagylaki T, Ni WM (2013) An introduction to migration–selection PDE models. Discrete Contin Dyn Syst 33(10):4349–4373

    MathSciNet  Article  MATH  Google Scholar 

  • Nagylaki T (1975) Conditions for the existence of clines. Genetics 3:595–615

    Google Scholar 

  • Nagylaki T (1976) Clines with variable migration. Genetics 83(4):867–886

    Google Scholar 

  • Nagylaki T (1978) Clines with asymmetric migration. Genetics 88(4):813–827

    MathSciNet  Google Scholar 

  • Nagylaki T (1989) The diffusion model for migration and selection. In: Some mathematical questions in biology—models in population biology (Chicago, IL, 1987). Lectures on mathematics in the life science, vol 20. American Mathematical Society, Providence, pp 55–75

  • Nagylaki T (1996) The diffusion model for migration and selection in a dioecious population. J Math Biol 34(3):334–360

    MathSciNet  Article  MATH  Google Scholar 

  • Obersnel F, Omari P (2006) Positive solutions of elliptic problems with locally oscillating nonlinearities. J Math Anal Appl 323(2):913–929

    MathSciNet  Article  MATH  Google Scholar 

  • Peletier LA (1978) A nonlinear eigenvalue problem occurring in population genetics. In: Journées d’Analyse Non Linéaire (Proceedings of the conference, Besançon, 1977). Lecture notes in mathematics, vol 665. Springer, Berlin, pp 170–187

  • Senn S (1983) On a nonlinear elliptic eigenvalue problem with Neumann boundary conditions, with an application to population genetics. Commun Partial Differ Equ 8(11):1199–1228

    MathSciNet  Article  MATH  Google Scholar 

  • Senn S, Hess P (1982) On positive solutions of a linear elliptic eigenvalue problem with Neumann boundary conditions. Math Ann 258:459–470

    MathSciNet  Article  MATH  Google Scholar 

  • Slatkin M (1973) Gene flow and selection in a cline. Genetics 75(75):733–756

    MathSciNet  Google Scholar 

  • Sovrano E, Zanolin F (2015) Remarks on Dirichlet problems with sublinear growth at infinity. Rend Istit Mat Univ Trieste 47:267–305

    MathSciNet  MATH  Google Scholar 

Download references

Acknowledgements

I thank Prof. Reinhard Bürger for inspiring me to work on this problem. I am also very grateful to Profs. Fabio Zanolin, Carlota Rebelo and Alessandro Margheri for providing useful suggestions that greatly improved the manuscript. I wish also to thank two anonymous referees for their valuable comments to improve the quality of the paper.

Author information

Affiliations

Authors

Corresponding author

Correspondence to Elisa Sovrano.

Additional information

This work was supported by the auspices of Gruppo Nazionale per l’Analisi Matematica, la Probabilità e le loro Applicazioni (GNAMPA) of the Istituto Nazionale di Alta Matematica (INdAM). Progetto di Ricerca 2016: “Problemi differenziali non lineari: esistenza, molteplicità e proprietà qualitative delle soluzioni”.

Rights and permissions

Reprints and Permissions

About this article

Verify currency and authenticity via CrossMark

Cite this article

Sovrano, E. A negative answer to a conjecture arising in the study of selection–migration models in population genetics. J. Math. Biol. 76, 1655–1672 (2018). https://doi.org/10.1007/s00285-017-1185-7

Download citation

  • Received:

  • Revised:

  • Published:

  • Issue Date:

  • DOI: https://doi.org/10.1007/s00285-017-1185-7

Keywords

  • Migration
  • Selection
  • Cline
  • Polymorphism
  • Indefinite weight
  • Neumann problem

Mathematics Subject Classification

  • 92D25
  • 35K57
  • 34B18