Abstract
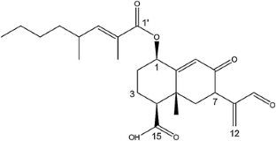
The biosynthesis of integric acid, a secondary metabolite of the wood-decay fungus Xylaria feejeensis strain 2FB-PPM08M, has been studied. Labeling experiments using [1-13C], [2-13C] and [1,2-13C2] acetate and l-methionine (methyl-13C) were separately performed with fungal culture. The labeling patterns of these metabolites indicated the same origin, and determined that integric acid was formed through the condensation of a sesquiterpene and a polyketide. These experiments showed that side chain of compounds would be synthesized by the polyketide pathway, while the ring carbon indicated the biosynthesis of compounds via the mevalonate pathway.




Similar content being viewed by others
Explore related subjects
Discover the latest articles and news from researchers in related subjects, suggested using machine learning.References
Singh SB, Zink D, Polishook J, Valentino D, Shafiee A, Silverman K, Felock P, Teran A, Vilella D, Hazuda DJ, Lingham RB (1999) Structure and absolute stereochemistry of HIV-1 integrase inhibitor integric acid. A novel eremophilane sesquiterpenoid produced by Xylaria sp. Tetrahedron Lett 40:8775–8779
Singh SB, Felock P, Hazuda DJ (2000) Chemical and enzymatic modifications of integric acid and HIV-1 integrase inhibitory activity. Bioorg Med Chem Lett 10:235–238
Srisapoomi T, Ichiyanagi T, Nakajima H, Aimi T, Boonlue S (2014) Biological activities of integric acid isolated from the wood-decay fungus Xylaria feejeensis 2FB-PPM08M. Chiang Mai J Sci 42:xx–xx
Rogers JD (1985) Anamorphs of Xylaria: taxonomic considerations. Sydowia 38:255–262
Waalboer DCJ, Kalkeren HA, Schaapman MC, Delft FL, Rutjes FPJT (2009) Total synthesis and absolute stereochemistry of integric acid. J Org Chem 74:8878–8881
Furumoto T, Hamasaki T, Nakajima H (1999) Biosynthesis of phytotoxin neovasinin and its related metabolites, neovasipyrones A and B and neovasifuranones A and B, in the phytopathogenic fungus Neocosmospora vasinfecta. J Chem Soc Perkin Trans 1:131–135
Romminger S, Pimenta EF, Nascimento ES, Ferreira AG, Berlinck RGS (2012) Biosynthesis of two dihydropyrrole-polyketides from a marine-derived Penicillium citrinum. J Braz Chem Soc 23:1783–1788
Putra SR, Disch A, Bravo JM, Rohnmer M (1998) Distribution of mevalonate and glyceraldehyde 3-phosphate/pyruvate routes for isoprenoid biosynthesis in some Gram-negative bacteria and mycobacteria. FEMS Microbiol Lett 164:169–175
Wilson RJM (2002) Progress with parasite plastids. J Mol Biol 319:257–274
Simpson TJ (1998) Application of isotopic methods to secondary metabolic pathways. Top Curr Chem 195:1–48
Rohnmer M (1999) The discovery of a mevalonate-independent pathway for isoprenoid biosynthesis in bacteria, algae and higher plants. Nat Prod Rep 16:565–574
Jux A, Gleixner G, Boland W (2001) Classification of terpenoids according to the methylerythritol phosphate or the mevalonate pathway with natural 12C/13C isotope ratios: dynamic allocation of resources in induced plants. Angew Chem Int Ed 40:2091–2094
Acknowledgments
We would like to thank the Global COE Program (Tottori University, Japan) on Advanced Utilization of Fungus/Mushroom Resources for Sustainable Society in Harmony with Nature for their valuable support and analytical processes.
Author information
Authors and Affiliations
Corresponding author
Rights and permissions
About this article
Cite this article
Srisapoomi, T., Ichiyanagi, T., Nakajima, H. et al. Biosynthesis of Integric Acid Isolated from the Wood-Decay Fungus Xylaria feejeensis 2FB-PPM08M. Curr Microbiol 70, 550–555 (2015). https://doi.org/10.1007/s00284-014-0759-5
Received:
Accepted:
Published:
Issue Date:
DOI: https://doi.org/10.1007/s00284-014-0759-5
