Skip to main content

Cobalt Immobilization by Manganese Oxidizing Bacteria from the Indian Ridge System

Abstract

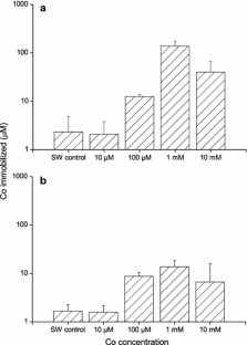
Co immobilization by two manganese oxidizing isolates from Carlsberg Ridge waters (CR35 and CR48) was compared with that of Mn at same molar concentrations. At a lower concentration of 10 μM, CR35 and CR48 immobilized 22 and 23 fM Co cell−1 respectively, which was 1.4 to 2 times higher than that of Mn oxidation, while at 10 mM the immobilization was 15–69 times lower than that of Mn. Scanning electron microscope and energy dispersive X-ray analyses of intact bacterial cells grown in 1 mM Co revealed Co peaks showing extracellular binding of the metal. However, it was evident from transmission electron microscope analyses that most of the sequestered Co was bound intracellularly along the cell membrane in both the isolates. Change in morphology was one of the strategies bacteria adopted to counter metal stress. The cells grew larger and thus maintained a lower than normal surface area–volume ratio on exposure to Co to reduce the number of binding sites. An unbalanced growth with increasing Co additions was observed in the isolates. Cells attained a length of 10–18 μm at 10 mM Co which was 11–15 times the original cell length. Extensive cell rupture indicated that Co was harmful at this concentration. It is apparent that biological and optimal requirement of Mn is more than Co. Thus, these differences in the immobilization of the two metals could be driven by the differences in the requirement, cell physiology and the affinities of the isolates for the concentrations of the metals tested.

This is a preview of subscription content, access via your institution.

Fig. 1
Fig. 2
Fig. 3
Fig. 4
Fig. 5
Fig. 6
Fig. 7

References

  1. Appanna VD (1988) Stimulation of exopolysaccharide production in Rhizobium meliloti JJ-1 by manganese. Biotechnol Lett 10:205–206

    Article  CAS  Google Scholar 

  2. Ariskina EV, Vatsurina AV, Suzina NE, Yu GavrishE (2004) Cobalt- and chromium-containing inclusions in bacterial cells. Microbiologia 73:199–203

    CAS  Google Scholar 

  3. Atlas L, Büyükgüngör H (2007) Heavy metal pollution in the Black Sea shore and offshore of Turkey. Environ Geol 52:469–476

    Article  Google Scholar 

  4. Balistrieri LS, Murray JW, Paul B (1992) The biogeochemical cycling of trace metals in the water column of lake Sammamish, Washington: response to seasonally anoxic conditions. Limnol Oceanogr 37:529–548

    Article  CAS  Google Scholar 

  5. Banerjee R, Ray D (2003) Metallogenesis along the Indian Ocean Ridge System. Curr Sci 85:321–327

    CAS  Google Scholar 

  6. Benjamin MM, Honeyman BD (1992) Trace metals. In: Butcher SS, Charlson RJ, Orians GH, Wolfe GV (eds) Global biogeochemical cycles. Academic Press Limited, London, pp 317–350

    Chapter  Google Scholar 

  7. Chakravarty R, Banerjee PC (2008) Morphological changes in an acidophilic bacterium induced by heavy metals. Extremophiles 12:279–284

    PubMed  Article  CAS  Google Scholar 

  8. Chester R, Hughes MJ (1968) Scheme for the spectrophotometric determination of Cu, Pb, Ni, V and Co in marine sediments: applied earth Science. Trans Inst Min Metall 77:37–41

    Google Scholar 

  9. Cobet AB, Wirsen C Jr, Jones GE (1970) The effect of nickel on a marine bacterium, Arthrobacter marinus sp. nov. J Gen Microbiol 62:159–169

    PubMed  CAS  Google Scholar 

  10. Culotta VC, Yang M, Hall MD (2005) Manganese transport and trafficking: lessons learned from Saccharomyces cerevisiae. Eukaryot Cell 4:1159–1165

    PubMed  Article  CAS  Google Scholar 

  11. Daly MJ, Gaidamakova EK, Matrosova VY, Vasilenko A, Zhai M, Venkateswaran A, Hess M, Omelchenko MV, Kostandarithes HM, Makarova KS, Wackett LP, Fredrickson JK, Ghosal D (2004) Accumulation of Mn(II) in Deinococcus radiodurans facilitates gamma-radiation resistance. Science 306:1025–1028

    PubMed  Article  CAS  Google Scholar 

  12. Diem D, Stumm W (1984) Is dissolved Mn2+ being oxidized by O2 in absence of Mn-bacteria or surface catalysts? Geochim Cosmochim Acta 48:1571–1573

    Article  CAS  Google Scholar 

  13. Dutta RK, Acharya RN, Chakravortty V, Nair AGC, Reddy AVR, Chintalapudi SN, Manohar SB (1998) Instrumental neutron activation analysis of ferromanganese oxide encrustations of Indian Ocean by the K0 NAA method. J Radioanal Nucl Chem 237:91–96

    Article  CAS  Google Scholar 

  14. Ehrlich HL (1997) Microbes and metals. Appl Microbiol Biotechnol 48:687–692

    Article  CAS  Google Scholar 

  15. Ehrlich HL (2000) Ocean manganese nodules: biogenesis and bioleaching possibilities. Miner Metall Process 17:121–128

    CAS  Google Scholar 

  16. Eisenreich SJ (1980) Atmospheric inputs of trace metals to Lake Michigan. Water Air Soil Pollut 13:287–301

    Article  CAS  Google Scholar 

  17. Emerson S, Kalhorn S, Jacobs L, Tebo BM, Nealson KH, Rosson RA (1982) Environmental oxidation rate of manganese(II): bacterial catalysis. Geochim Cosmochim Acta 46:1073–1079

    Article  CAS  Google Scholar 

  18. Fernandes SO, Krishnan KP, Khedekar VD, Loka Bharathi PA (2005) Manganese oxidation by bacterial isolates from the Indian Ridge System. Biometals 18:483–492

    PubMed  Article  CAS  Google Scholar 

  19. Hamilton EI (1994) The geobiochemistry of cobalt. Sci Tot Environ 150:7–39

    Article  CAS  Google Scholar 

  20. Hayat MA (1972) Basic electron microscopy techniques. Van Nostrand Reinold, New York

    Google Scholar 

  21. Kádár E, Costa V, Martins I, Santos RS, Powell JJ (2005) Enrichment of trace metals (Al, Mn, Co, Cu, Mo, Cd, Fe, Zn, Pb and Hg) of macro-invertebrate habitats at hydrothermal vents along the Mid-Atlantic Ridge. Hydrobiologia 548:191–205

    Article  Google Scholar 

  22. Knauer GA, Martin JH, Gordon RM (1982) Cobalt in north-east Pacific waters. Nature 297:49–51

    Article  CAS  Google Scholar 

  23. Kobayashi M, Shimizu S (1999) Cobalt proteins. Eur J Biochem 261:1–9

    PubMed  Article  CAS  Google Scholar 

  24. Krishnan KP, Fernandes CEG, Fernandes SO, Loka Bharathi PA (2006) Tolerance and immobilization of cobalt by some bacteria from ferromanganese crusts of the Afanasiy Nikitin Seamounts. Geomicrobiol J 23:31–36

    Article  CAS  Google Scholar 

  25. Lee Y, Tebo BM (1994) Cobalt(II) oxidation by the marine manganese(II)-oxidizing Bacillus sp. strain SG-1. Appl Environ Microbiol 60:2949–2957

    PubMed  CAS  Google Scholar 

  26. Lienemann CP, Taillefert M, Perret D, Gaillard JF (1997) Association of cobalt and manganese in aquatic systems: chemical and microscopic evidence. Geochim Cosmochim Acta 61:1437–1446

    Article  CAS  Google Scholar 

  27. Loaëc M, Olier R, Guezennec J (1997) Uptake of lead, cadmium and zinc by a novel bacterial exopolysaccharide. Water Res 31:1171–1179

    Article  Google Scholar 

  28. Metz S, Trefry JH (2000) Chemical and mineralogical influences on concentrations of trace metals in hydrothermal fluids. Geochim Cosmochim Acta 64:2267–2279

    Article  CAS  Google Scholar 

  29. Moffett JW, Ho J (1996) Oxidation of cobalt and manganese in seawater via a common microbially catalyzed pathway. Geochim Cosmochim Acta 60:3415–3424

    Article  CAS  Google Scholar 

  30. Morel FMM, Reinfelder JR, Roberts SB, Chamberlain CP, Lee JG, Yee D (1994) Zinc and carbon co-limitation of marine phytoplankton. Nature 369:740–742

    Article  CAS  Google Scholar 

  31. Murray JW, Dillard JG (1979) The oxidation of cobalt(II) adsorbed on manganese dioxide. Geochim Cosmochim Acta 43:781–787

    Article  CAS  Google Scholar 

  32. Nies DH (1992) Resistance to cadmium, cobalt, zinc, and nickel in microbes. Plasmid 27:17–28

    PubMed  Article  CAS  Google Scholar 

  33. Nies DH (1999) Microbial heavy-metal resistance. Appl Microbiol Biotechnol 51:730–750

    PubMed  Article  CAS  Google Scholar 

  34. Pal A, Paul AK (2008) Microbial extracellular polymeric substances: central elements in heavy metal bioremediation. Indian J Microbiol 48:49–64

    Article  CAS  Google Scholar 

  35. Price NM, Morel FMM (1990) Cadmium and cobalt substitution for zinc in a marine diatom. Nature 344:658–660

    Article  CAS  Google Scholar 

  36. Raab A, Feldmann J (2003) Microbial transformation of metals and metalloids. Sci Prog 86:179–202

    PubMed  Article  CAS  Google Scholar 

  37. Rosenberg B, Renshaw E, Vancamp L, Hartwick J, Drobnik J (1967) Platinum-induced filamentous growth in Escherichia coli. J Bacteriol 93:716–721

    PubMed  CAS  Google Scholar 

  38. Ryan MT, Lee MP, Larson HJ (2007) History and framework of commercial low-level radioactive waste management in the United States. Advisory Committee on Nuclear Waste U.S. Nuclear Regulatory Commission, Washington, DC

    Google Scholar 

  39. Saito MA, Moffett JW (2004) Cobalt and nickel in the Peru upwelling region: A major flux of labile cobalt utilized as a micronutrient. Global Biogeochem Cycles 18:GB4030

    Article  Google Scholar 

  40. Saito MA, Moffett JW, Chisholm SW, Waterbury JB (2002) Cobalt limitation and uptake in Prochlorococcus. Limnol Oceanogr 47:1629–1636

    Article  CAS  Google Scholar 

  41. Sunda WG, Huntsman SA (1995) Cobalt and zinc interreplacement in marine phytoplankton: biological and geochemical implications. Limnol Oceanogr 40:1404–1417

    Article  CAS  Google Scholar 

  42. Sunda WG, Kieber DJ (1994) Oxidation of humic substances by manganese oxides yields low-molecular-weight organic substrates. Nature 367:62–64

    Article  CAS  Google Scholar 

  43. Tani Y, Ohashi M, Miyata N, Seyama H, Iwahori K, Soma M (2004) Sorption of Co(II), Ni(II), and Zn(II) on biogenic manganese oxides produced by a Mn-oxidizing fungus, strain KR21–2. J Environ Sci Health A 39:2641–2660

    Article  Google Scholar 

  44. Tebo BM (1991) Manganese(II) oxidation in the suboxic zone of the Black Sea. Deep-Sea Res 38(Suppl 2):883–905

    Article  Google Scholar 

  45. Tebo BM, Bargar JR, Clement BG, Dick GJ, Murray KJ, Parker D, Verity R, Webb SM (2004) Biogenic manganese oxides: properties and mechanisms of formation. Annu Rev Earth Planet Sci 32:287–328

    Article  CAS  Google Scholar 

  46. Tebo BM, Johnson HA, McCarthy JK, Templeton AS (2005) Geomicrobiology of Mn(II) oxidation. Trends Microbiol 13:421–428

    PubMed  Article  CAS  Google Scholar 

  47. Vainshtein M, Suzina N, Kudryashova E, Ariskina E (2002) New magnet-sensitive structures in bacterial and archaeal cells. Biol Cell 94:29–35

    PubMed  Article  CAS  Google Scholar 

  48. Weibull C (1953) The Isolation of protoplasts from Bacillus megatarium by controlled treatment with lysozyme. J Bacteriol 66:688–695

    PubMed  CAS  Google Scholar 

  49. Young RS (1957) The geochemistry of cobalt. Geochim Cosmochim Acta 13:28–41

    Article  CAS  Google Scholar 

Download references

Acknowledgments

The authors thank the Directors; NIO, NCAOR and NCCS for support. Special thanks are due to Dr. Rahul Mohan of NCAOR for providing SEM facility. We acknowledge the services of AIIMS, Delhi for TEM analysis. We thank Dr. CT Achuthankutty, Visiting Scientist, NCAOR, for critical evaluation of the manuscript. This work was carried out under the project ‘Tectonic and Oceanic Processes along the Indian Ridge system and Back-Arc Basins’ funded by CSIR/DOD and led by Dr. KA Kamesh Raju. SPP and SOF acknowledges the Council of Scientific and Industrial Research, New Delhi, India, for the award of ‘Senior Research Fellowship’. The manuscript improved considerably by the critical evaluation of an anonymous reviewer. This is NIO contribution No. 4803 and NCAOR contribution number 030/2010.

Author information

Affiliations

Authors

Corresponding author

Correspondence to P. A. Loka Bharathi.

Rights and permissions

Reprints and Permissions

About this article

Cite this article

Antony, R., Sujith, P.P., Fernandes, S.O. et al. Cobalt Immobilization by Manganese Oxidizing Bacteria from the Indian Ridge System. Curr Microbiol 62, 840–849 (2011). https://doi.org/10.1007/s00284-010-9784-1

Download citation

  • Received:

  • Accepted:

  • Published:

  • Issue Date:

  • DOI: https://doi.org/10.1007/s00284-010-9784-1

Keywords

  • Immobilization
  • Halomonas
  • High Metal Concentration
  • Ferromanganese Nodule
  • Immobilization Rate