Skip to main content

Production of Levansucrase from Bacillus subtilis NRC 33a and Enzymic Synthesis of Levan and Fructo-Oligosaccharides

Abstract

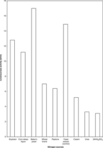
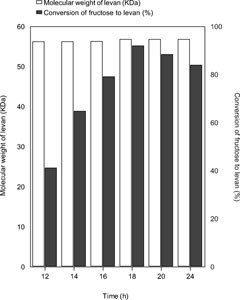
Bacillus subtilis NRC33a was able to produce both inducible and constitutive extracellular levansucrase, respectively, using sucrose and glucose as carbon source. The optimal production of the levansucrase was at 30°C. The effect of different nitrogen sources showed that baker’s yeast with 2% concentration gave the highest levansucrase activity. Addition of 0.15 g/L MgSO4 was the most favorable for levansucrase production. The enzymic synthesis of levan was studied using 60% acetone fraction. The results indicated that high enzyme concentrations produced increasing amounts of levan, and hence conversion of fructose to levan reached 84% using 1000 μg/ml enzyme protein. Sucrose concentration was the most effective factor controlling the molecular weight of the synthesized levan. The conversion of fructose to levan was maximal at 30°C. The time of reaction clearly affected the conversion of fructose to levan, which reached its maximum productivity at 18 hours (92%). Identification of levan indicated that fructose was the building unit of levan.

This is a preview of subscription content, access via your institution.

Fig. 1
Fig. 2
Fig. 3
Fig. 4
Fig. 5

Literature Cited

  1. Ammar Y, Matsubara T, Itu K, Iizuka M, Limpaseni T, Ponsawasdi P, et al. (2002) Some properties of levansucrase of Bacillus natto stabilized with periodate oxidized yeast glucomannan. Enzyme Microb Technol 30:875–882

    Google Scholar 

  2. Block RJ, Durrum EL, Zweig G (1995) A manual of paper chromatography and paper electrophoresis. New York, NY: Academic, p. 127

    Google Scholar 

  3. Gross M, Ceier G, Rudolph K, Cieder K (1992) Levan and levansucrase synthesized by the fireblight pathogen Erwinia amylovora. Physiol Mol Plant Pathol 40:371–381

    Article  CAS  Google Scholar 

  4. Keith I, Wiley B, Ball D, Arcidiacono S, Zorfass D, Mayer J, et al. (1991) Continuous culture system for production of biopolymer levan using Erwinia herbicola. Biotechnol Bioeng 38:557–560

    Article  CAS  Google Scholar 

  5. Hermandez L, Arrieta J, Menendez C, Vazquez R, Coego A, Suarez V, et al. (1995) Isolation and enzymic-properties of levansucrase secreted by Acetobacter diazotrophicus SRT4, a bacterium associated with sugar cane. Biochem J 309:113–118

    Google Scholar 

  6. Kasapis S, Morris E, Gross M, Rudolph K (1994) Solution polysaccharide from Pseudomonas syringe pv phaseolicola and its possible primary role as a blocker of recognition during pathogenesis. Carbohydr Polym 23:55–69

    Article  CAS  Google Scholar 

  7. Laziè ML, Veljković VB, Vuxetić JI, Vrvić MM (1993) Effect of pH and aeration on dextran production by Leuconstoc mesenteroides. Enzyme Microb Technol 15:334–338

    Google Scholar 

  8. Lowry OH, Rosebrough NJ, Farr AL, Randall RJ (1951) Protein measurement with folin phenol reagent. J Biol Chem 193:265–275

    PubMed  CAS  Google Scholar 

  9. Marx S, Köning S, Hartmeier W (1999) Synthesis of fructo-oligosaccharides by native and immobilized levansucrase from Zymomonas mobilis. Thirteenth Forum for Applied Biotechnology. Hept Pand, Gent, Belgium. Proceedings, Part I 64:246–251

    CAS  Google Scholar 

  10. Ohtsuka K, Hino S, Fukushima T, Ozawa O, Kanematsu T, Uchida T (1992) Characterization of levansucrase from Rhanella aquatilis JCM-1683. Biosci Biochem 56:1373–1377

    CAS  Google Scholar 

  11. Oseguera P, Guereca L, Lopez-Munguia A (1996) Properties of levansucrase from Bacillus circulans. Appl Microbiol Biotechnol 45:465–471

    Article  CAS  Google Scholar 

  12. Sacha A, Hijum V, Bonthing K, Marc J, Maarel V, Dijkhuzen L (2001). Purification of novel fructosyltransferase from Lactobacillus reuteri strains 121 and characterization of the levan produced. FEMS Microbiol Lett 205:323–328

    Google Scholar 

  13. Vina I, Bekers M, Karsakenvich A, Linde R, Gonta S, Toma M (1998) Some properties of fructose biopolymer levan produced by Zymomonas mobilis. Biomass for Energy and Industry. Proceedings of the International Conference, pp 460–463

  14. Yanase H, Fukushi H, Ueda N, Maeda Y, Toyoda A, Tonomura K (1991) Cloning, sequencing and characterization of the intracellular invertase gene from Zymomonas mobilis. Agric Biol Chem 55:1383–1390

    PubMed  CAS  Google Scholar 

  15. Yun JW (1996) Fructo-oligosaccharides occurrence, preparation and application. Enzyme Microb Technol 19:107–117

    Article  CAS  Google Scholar 

  16. Kaboli H, Reilly RJ (1980) Immobilisation and properties of Leuconostoc mesenteroides. Biotechnol Bioeng 22:1055–1069

    Article  CAS  Google Scholar 

  17. Pileggi R, Khin BW (1962) Enzymatic colorimetric method. J Biol Chem 40:585–589

    Google Scholar 

  18. Kim M.G, Seo JW, Song KS, Kim CH, Chung BH, Ki-Rhee S (1998) Levan and fructosyl derivatives formation by a recombinant levansucrase from Rahnella aquatilis. Biotech Lett 20:333–336

    CAS  Google Scholar 

  19. Han WY, Clarke AM (1990) Production and characterization of microbial levan. J Agric Food Chem 38:393–39

    Article  CAS  Google Scholar 

  20. Meng G, Futterer K (2003) Structural framework of fructosyl transfer in Bacillus subtilis levansucrase. Nat Struct Biol 10:935–41

    Article  PubMed  CAS  Google Scholar 

Download references

Author information

Affiliations

Authors

Corresponding author

Correspondence to Mona A. T. Esawy.

Rights and permissions

Reprints and Permissions

About this article

Cite this article

Abdel-Fattah, A.F., Mahmoud, D.A.R. & Esawy, M.A.T. Production of Levansucrase from Bacillus subtilis NRC 33a and Enzymic Synthesis of Levan and Fructo-Oligosaccharides. Curr Microbiol 51, 402–407 (2005). https://doi.org/10.1007/s00284-005-0111-1

Download citation

  • Received:

  • Accepted:

  • Published:

  • Issue Date:

  • DOI: https://doi.org/10.1007/s00284-005-0111-1

Keywords

  • Fructose
  • Sucrose Concentration
  • Enzyme Protein
  • Zymomonas Mobilis
  • Anhydrous Calcium Chloride