Skip to main content

Population pharmacokinetics of FOLFIRINOX: a review of studies and parameters

Abstract

Purpose

FOLFIRINOX regimen is commonly used in colorectal and more recently pancreatic cancer. However, FOLFIRINOX induces significant and dose-limiting toxic effects leading to empirical dose reduction and sometimes treatment discontinuation. Model-based FOLFIRINOX regimen optimization might help improving patients’ outcome. As a first step, the current review aims at bringing together all published population pharmacokinetics models for FOLFIRINOX anticancer drugs.

Methods

A literature search was conducted in the PubMed database from inception to February 2018, using the following terms: population pharmacokinetic(s), irinotecan, oxaliplatin, fluorouracil, FOLFIRI, FOLFOX, FOLFIRINOX. Only articles displaying nonlinear mixed effect models were included. Study description, pharmacokinetic parameter values and influential covariates are reported. For each model, the typical pharmacokinetic profile was simulated for the standard FOLFIRINOX protocol.

Results

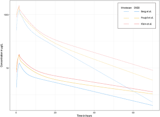
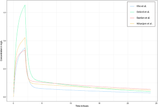
The FOLFIRINOX compounds have been studied only separately so far. A total of six articles were retained for 5-fluorouracil, 6 for oxaliplatin and 5 for irinotecan (also including metabolites). Either one- or two-compartment models have been described for 5-fluorouracil, while two- or three-compartment models were reported for oxaliplatin and irinotecan pharmacokinetics. Non-linear elimination was sometimes reported for 5-fluorouracil. Sex and body size were found as influential covariates for all molecules in some publications. Despite some differences in model structures and parameter values, the simulated profiles and subsequent exposure were consistent between studies.

Conclusions

The current review allows for a global understanding of FOLFIRINOX pharmacokinetics, and will provide a basis for further development of pharmacokinetics–pharmacodynamics–toxicity models for model-driven FOLFIRINOX protocol optimization to reach the best benefit-to-risk ratio.

This is a preview of subscription content, access via your institution.

Fig. 1
Fig. 2
Fig. 3
Fig. 4
Fig. 5

References

  1. KöhneCH, PetersGJ (2000) UFT: mechanism of drug action. Oncol Williston Park N14:13–18

    Google Scholar 

  2. OmuraK (2003) Clinical implications of dihydropyrimidine dehydrogenase (DPD) activity in 5-FU-based chemotherapy: mutations in the DPD gene, and DPD inhibitory fluoropyrimidines. Int J Clin Oncol8:132–138. https://doi.org/10.1007/s10147-003-0330-z

    Article  CAS  PubMed  Google Scholar 

  3. Boisdron-CelleM, Guérin-MeyerV, CapitainO (2013) 5-fluorouracile: MSI, pharmacocinétique, DPD, TYMS et MTHFR. In: Médecine personnalisée en cancérologie digestive. Springer, Paris, pp 75–92

    Google Scholar 

  4. AlcindorT, BeaugerN (2011) Oxaliplatin: a review in the era of molecularly targeted therapy. Curr Oncol18:18–25

    Article  CAS  PubMed  PubMed Central  Google Scholar 

  5. GrahamMA, LockwoodGF, GreensladeD et al (2000) Clinical pharmacokinetics of oxaliplatin: a critical review. Clin Cancer Res6:1205–1218

    CAS  PubMed  Google Scholar 

  6. SanghaniSP, QuinneySK, FredenburgTB et al (2004) Hydrolysis of irinotecan and its oxidative metabolites, 7-ethyl-10-[4-N-(5-aminopentanoic acid)-1-piperidino] carbonyloxycamptothecin and 7-ethyl-10-[4-(1-piperidino)-1-amino]-carbonyloxycamptothecin, by human carboxylesterases Ces1a1, Ces2, and a newly expressed carboxylesterase isoenzyme, Ces3. Drug Metab Dispos32:505–511. https://doi.org/10.1124/dmd.32.5.505

    Article  CAS  PubMed  Google Scholar 

  7. SantosA, ZanettaS, CresteilT et al (2000) Metabolism of irinotecan (CPT-11) by CYP3A4 and CYP3A5 in humans. Clin Cancer Res6:2012–2020

    CAS  PubMed  Google Scholar 

  8. ChabotGG (1997) Clinical pharmacokinetics of irinotecan. Clin Pharmacokinet33:245–259. https://doi.org/10.2165/00003088-199733040-00001

    Article  CAS  PubMed  Google Scholar 

  9. YchouM, ConroyT, SeitzJF et al (2003) An open phase I study assessing the feasibility of the triple combination: oxaliplatin plus irinotecan plus leucovorin/5-fluorouracil every 2 weeks in patients with advanced solid tumors. Ann Oncol14:481–489. https://doi.org/10.1093/annonc/mdg119

    Article  CAS  PubMed  Google Scholar 

  10. FalconeA, RicciS, BrunettiI et al (2007) Phase III trial of infusional fluorouracil, leucovorin, oxaliplatin, and irinotecan (FOLFOXIRI) compared with infusional fluorouracil, leucovorin, and irinotecan (FOLFIRI) as first-line treatment for metastatic colorectal cancer: the gruppo oncologico nord ovest. J Clin Oncol25:1670–1676. https://doi.org/10.1200/JCO.2006.09.0928

    Article  CAS  PubMed  Google Scholar 

  11. ConroyT, PaillotB, FrançoisE et al (2005) Irinotecan plus oxaliplatin and leucovorin-modulated fluorouracil in advanced pancreatic cancer—a Groupe Tumeurs Digestives of the Federation Nationale des Centres de Lutte Contre le Cancer study. J Clin Oncol Off J Am Soc Clin Oncol23:1228–1236. https://doi.org/10.1200/JCO.2005.06.050

    Article  CAS  Google Scholar 

  12. ConroyT, DesseigneF, YchouM et al (2011) FOLFIRINOX versus gemcitabine for metastatic pancreatic cancer. N Engl J Med364:1817–1825

    Article  CAS  Google Scholar 

  13. ThibodeauS, VoutsadakisIA (2018) FOLFIRINOX chemotherapy in metastatic pancreatic cancer: a systematic review and meta-analysis of retrospective and phase II studies. J Clin Med. https://doi.org/10.3390/jcm7010007

    Article  PubMed  PubMed Central  Google Scholar 

  14. AllineM, ColomboPE, QuenetF et al (2015) Surgical resectability after neo-adjuvant FOLFIRINOX for borderline or locally advanced pancreatic adenocarcinoma. J Clin Oncol33:421–421. https://doi.org/10.1200/jco.2015.33.3_suppl.421

    Article  Google Scholar 

  15. ConroyT, HammelP, HebbarM et al (2018) Unicancer GI PRODIGE 24/CCTG PA.6 trial: A multicenter international randomized phase III trial of adjuvant mFOLFIRINOX versus gemcitabine (gem) in patients with resected pancreatic ductal adenocarcinomas. Meeting ASCO 2018. https://meetinglibrary.asco.org/record/159164/abstract. Accessed 20 Jul 2018

  16. Guion-DusserreJ-F, BertautA, GhiringhelliF et al (2016) Folfirinox in elderly patients with pancreatic or colorectal cancer-tolerance and efficacy. World J Gastroenterol22:9378–9386. https://doi.org/10.3748/wjg.v22.i42.9378

    Article  CAS  PubMed  PubMed Central  Google Scholar 

  17. AssenatE (2012) FOLFIRINOX for the treatment of colorectal cancer: latest evidence from clinical trials. Colorectal Cancer1:181–184. https://doi.org/10.2217/crc.12.20

    Article  Google Scholar 

  18. PéronJ, RoyP, ConroyT et al (2016) An assessment of the benefit-risk balance of FOLFIRINOX in metastatic pancreatic adenocarcinoma. Oncotarget7:82953

    Article  PubMed  PubMed Central  Google Scholar 

  19. MarshRDW, TalamontiMS, KatzMH, HermanJM (2015) Pancreatic cancer and FOLFIRINOX: a new era and new questions. Cancer Med4:853–863. https://doi.org/10.1002/cam4.433

    Article  PubMed Central  Google Scholar 

  20. RomboutsSJ, MungroopTH, HeilmannMN et al (2016) FOLFIRINOX in locally advanced and metastatic pancreatic cancer: a single centre cohort study. J Cancer7(1861):1861–1866. https://doi.org/10.7150/jca.16279

    Article  CAS  PubMed  PubMed Central  Google Scholar 

  21. KisselJ, PortRE, ZaersJ et al (1999) Noninvasive determination of the arterial input function of an anticancer drug from dynamic PET scans using the population approach. Med Phys26:609–615. https://doi.org/10.1118/1.598560

    Article  CAS  PubMed  Google Scholar 

  22. MuellerF, BüchelB, KöberleD et al (2013) Gender-specific elimination of continuous-infusional 5-fluorouracil in patients with gastrointestinal malignancies: results from a prospective population pharmacokinetic study. Cancer Chemother Pharmacol71:361–370. https://doi.org/10.1007/s00280-012-2018-4

    Article  CAS  PubMed  Google Scholar 

  23. TerretC, ErdociainE, GuimbaudR et al (2000) Dose and time dependencies of 5-fluorouracil pharmacokinetics. Clin Pharmacol Ther68:270–279. https://doi.org/10.1067/mcp.2000.109352

    Article  CAS  PubMed  Google Scholar 

  24. KhoY, JansmanFGA, PrinsNH et al (2006) Population pharmacokinetics of oxaliplatin (85 mg/m2) in combination with 5-fluorouracil in patients with advanced colorectal cancer. Ther Drug Monit28:206–211. https://doi.org/10.1097/01.ftd.0000191305.64775.04

    Article  CAS  PubMed  Google Scholar 

  25. DelordJ-P, UmlilA, GuimbaudR et al (2003) Population pharmacokinetics of oxaliplatin. Cancer Chemother Pharmacol51:127–131. https://doi.org/10.1007/s00280-002-0550-3

    CAS  Article  PubMed  Google Scholar 

  26. BastianG, BarrailA, UrienS (2003) Population pharmacokinetics of oxaliplatin in patients with metastatic cancer. Anticancer Drugs14:817–824. https://doi.org/10.1097/01.cad.0000099000.92896.5d

    Article  CAS  PubMed  Google Scholar 

  27. PoujolS, PinguetF, YchouM et al (2007) A limited sampling strategy to estimate the pharmacokinetic parameters of irinotecan and its active metabolite, SN-38, in patients with metastatic digestive cancer receiving the FOLFIRI regimen. Oncol Rep18:1613–1621

    CAS  PubMed  Google Scholar 

  28. ThompsonPA, GuptaM, RosnerGL et al (2008) Pharmacokinetics of irinotecan and its metabolites in pediatric cancer patients: a report from the children’s oncology group. Cancer Chemother Pharmacol62:1027–1037. https://doi.org/10.1007/s00280-008-0692-z

    Article  CAS  PubMed  Google Scholar 

  29. KimuraT, KashiwaseS, MakimotoA et al (2010) Pharmacokinetic and pharmacodynamic investigation of irinotecan hydrochloride in pediatric patients with recurrent or progressive solid tumors. Int J Clin Pharmacol Ther48:327–334

    Article  CAS  PubMed  Google Scholar 

  30. FouladiM, BlaneySM, PoussaintTY et al (2006) Phase II study of oxaliplatin in children with recurrent or refractory medulloblastoma, supratentorial primitive neuroectodermal tumors, and atypical teratoid rhabdoid tumors. Cancer107:2291–2297. https://doi.org/10.1002/cncr.22241

    Article  CAS  PubMed  Google Scholar 

  31. BeatyO, BergS, BlaneyS et al (2010) A phase II trial and pharmacokinetic study of oxaliplatin in children with refractory solid tumors: a children’s oncology group study. Pediatr Blood Cancer55:440–445. https://doi.org/10.1002/pbc.22544

    Article  PubMed  PubMed Central  Google Scholar 

  32. NikanjamM, StewartCF, TakimotoCH et al (2015) Population pharmacokinetic analysis of oxaliplatin in adults and children identifies important covariates for dosing. Cancer Chemother Pharmacol75:495–503. https://doi.org/10.1007/s00280-014-2667-6

    Article  CAS  PubMed  PubMed Central  Google Scholar 

  33. BressolleF, JouliaJM, PinguetF et al (1999) Circadian rhythm of 5-fluorouracil population pharmacokinetics in patients with metastatic colorectal cancer. Cancer Chemother Pharmacol44:295–302. https://doi.org/10.1007/s002800050980

    Article  CAS  PubMed  Google Scholar 

  34. Porta-OltraB, Pérez-RuixoJJ, Climente-MartíM et al (2004) Population pharmacokinetics of 5-fluorouracil in colorectal cancer patients. J Oncol Pharm Pract10:155–167. https://doi.org/10.1191/1078155204jp129oa

    Article  CAS  Google Scholar 

  35. WolochC, DiPaoloA, MarouaniH et al (2012) Population pharmacokinetic analysis of 5-FU and 5-FDHU in colorectal cancer patients: search for biomarkers associated with gastro-intestinal toxicity. Curr Top Med Chem12:1713–1719

    Article  CAS  PubMed  Google Scholar 

  36. vanKuilenburgABP, HäuslerP, SchalhornA et al (2012) Evaluation of 5-fluorouracil pharmacokinetics in cancer patients with a C.1905 + 1G>A Mutation in DPYD by means of a bayesian limited sampling strategy. Clin Pharmacokinet51:163–174. https://doi.org/10.1007/BF03257473

    Article  Google Scholar 

  37. BergAK, BucknerJC, GalanisE et al (2015) Quantification of the impact of enzyme-inducing antiepileptic drugs on irinotecan pharmacokinetics and SN-38 exposure. J Clin Pharmacol55:1303–1312. https://doi.org/10.1002/jcph.543

    Article  CAS  PubMed  PubMed Central  Google Scholar 

  38. KleinCE, GuptaE, ReidJM et al (2002) Population pharmacokinetic model for irinotecan and two of its metabolites, SN-38 and SN-38 glucuronide. Clin Pharmacol Ther72:638–647. https://doi.org/10.1067/mcp.2002.129502

    Article  CAS  Google Scholar 

  39. JoelSP, PapamichaelD, RichardsF et al (2004) Lack of pharmacokinetic interaction between 5-fluorouracil and oxaliplatin. Clin Pharmacol Ther76:45–54. https://doi.org/10.1016/j.clpt.2004.03.008

    Article  CAS  PubMed  Google Scholar 

  40. WassermanE, CuvierC, LokiecF et al (1999) Combination of oxaliplatin plus irinotecan in patients with gastrointestinal tumors: results of two independent phase I studies with pharmacokinetics. J Clin Oncol Off J Am Soc Clin Oncol17:1751–1759. https://doi.org/10.1200/JCO.1999.17.6.1751

    Article  CAS  Google Scholar 

  41. SaltzLB, KanowitzJ, KemenyNE et al (1996) Phase I clinical and pharmacokinetic study of irinotecan, fluorouracil, and leucovorin in patients with advanced solid tumors. J Clin Oncol14:2959–2967. https://doi.org/10.1200/JCO.1996.14.11.2959

    Article  CAS  PubMed  Google Scholar 

  42. KobuchiS, ItoY, NakanoY, SakaedaT (2015) Population pharmacokinetic modelling and simulation of 5-fluorouracil incorporating a circadian rhythm in rats. Xenobiotica Fate Foreign Compd Biol Syst. https://doi.org/10.3109/00498254.2015.1100767

    Article  Google Scholar 

  43. MathijssenRHJ, VerweijJ, LoosWJ et al (2002) Irinotecan pharmacokinetics-pharmacodynamics: the clinical relevance of prolonged exposure to SN-38. Br J Cancer87:144–150. https://doi.org/10.1038/sj.bjc.6600447

    Article  CAS  PubMed  PubMed Central  Google Scholar 

  44. ValenzuelaB, Nalda-MolinaR, Bretcha-BoixP et al (2011) Pharmacokinetic and pharmacodynamic analysis of hyperthermic intraperitoneal oxaliplatin-induced neutropenia in subjects with peritoneal carcinomatosis. AAPS J13:72–82. https://doi.org/10.1208/s12248-010-9249-2

    Article  CAS  PubMed  PubMed Central  Google Scholar 

  45. LeeJ-C, KimJW, AhnS et al (2017) Optimal dose reduction of FOLFIRINOX for preserving tumour response in advanced pancreatic cancer: using cumulative relative dose intensity. Eur J Cancer Oxf Engl 199076:125–133. https://doi.org/10.1016/j.ejca.2017.02.010

    CAS  Article  Google Scholar 

Download references

Acknowledgements

The authors would also like to thank the Ligue Contre le Cancer French association who generously provided a grant to Laure Deyme. We are grateful to E. Chatelut (Institut Claudius-Regaud, IUCT-Oncopole, CRCT, Université de Toulouse, Inserm, Toulouse, France) for providing us with the original data and model from the Delord et al. study.

Funding

No funding was sought for this manuscript.

Author information

Affiliations

Authors

Corresponding author

Correspondence to Laure Deyme.

Ethics declarations

Conflict of interest

The authors declare that they have no conflict of interest.

Human and animal statement

This article does not contain any studies with human participants or animals performed by any of the authors.

Electronic supplementary material

Below is the link to the electronic supplementary material.

Supplementary material 1 (PDF 296 KB)

Rights and permissions

Reprints and Permissions

About this article

Verify currency and authenticity via CrossMark

Cite this article

Deyme, L., Barbolosi, D. & Gattacceca, F. Population pharmacokinetics of FOLFIRINOX: a review of studies and parameters. Cancer Chemother Pharmacol 83, 27–42 (2019). https://doi.org/10.1007/s00280-018-3722-5

Download citation

  • Received:

  • Accepted:

  • Published:

  • Issue Date:

  • DOI: https://doi.org/10.1007/s00280-018-3722-5

Keywords

  • FOLFIRINOX
  • 5-Fluorouracil
  • Irinotecan
  • Oxaliplatin
  • Population pharmacokinetics
  • Nonlinear mixed effect modelling