Skip to main content

BCNU-sequestration by metallothioneins may contribute to resistance in a medulloblastoma cell line

Abstract

Purpose

Resistance of neoplastic cells to the alkylating drug BCNU [1,3-bis(2-chloroethyl)-1-nitrosourea] has been correlated with expression of O 6-methylguanine-DNA methyltransferase, which repairs the O 6-chloroethylguanine produced by the drug. Other possible mechanisms of resistance include raised levels of glutathione or increased repair of the DNA interstrand cross-links formed by BCNU. Transcriptional profiling revealed the upregulation of several metallothionein (MT) genes in a BCNU-resistant medulloblastoma cell line [D341 MED (OBR)] relative to its parental line. Previous studies have shown that MTs, through their reactive thiol groups can quench nitrogen mustard-derived alkylating drugs. In this report, we evaluate whether MTs can also quench BCNU.

Methods

To demonstrate the binding of BCNU to MT, we used an assay that measured the release of the MT-bound divalent cations (Zn2+, Cd2+) upon their displacement by the drug. We also measured the decomposition rates of BCNU at those reaction conditions.

Results

The rate of release of the cations was higher in pH 7.4 than at pH 7.0, which is likely a result of more rapid decomposition of BCNU (thus faster release of MT-binding intermediate) at pH 7.4 than at pH 7.0.

Conclusion

We demonstrate that resistance to BCNU may be a result of elevated levels of MTs which act by sequestering the drug’s decomposition product(s).

This is a preview of subscription content, access via your institution.

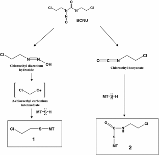
Fig. 1
Fig. 2
Fig. 3
Fig. 4

References

  1. Soffietti R, Ruda R, Trevisan E (2007) New chemotherapy options for the treatment of malignant gliomas. Anticancer Drugs 18:621–632

    PubMed  Article  CAS  Google Scholar 

  2. Kalifa C, Valteau D, Pizer B, Vassal G, Grill J, Hartmann O (1999) High-dose chemotherapy in childhood brain tumours. Childs Nerv Syst 15:498–505

    PubMed  Article  CAS  Google Scholar 

  3. Pegg AE (1990) Properties of mammalian O 6-alkylguanine-DNA transferases. Mutat Res 233:165–175

    PubMed  CAS  Google Scholar 

  4. Tong WP, Kirk MC, Ludlum DB (1982) Formation of the cross-link 1-[N3-deoxycytidyl), 2-[N1-deoxyguanosinyl]ethane in DNA treated with N,N’-bis(2-chloroethyl)-N-nitrosourea. Cancer Res 42:3102–3105

    PubMed  CAS  Google Scholar 

  5. Bacolod MD, Johnson SP, Ali-Osman F, Modrich P, Bullock NS, Colvin OM, Bigner DD, Friedman HS (2002) Mechanisms of resistance to 1,3-bis(2-chloroethyl)-1-nitrosourea in human medulloblastoma and rhabdomyosarcoma. Mol Cancer Ther 1:727–736

    PubMed  CAS  Google Scholar 

  6. Bacolod MD, Johnson SP, Pegg AE, Dolan ME, Moschel RC, Bullock NS, Fang Q, Colvin OM, Modrich P, Bigner DD, Friedman HS (2004) Brain tumor cell lines resistant to O6-benzylguanine/1,3-bis(2-chloroethyl)-1-nitrosourea chemotherapy have O6-alkylguanine-DNA alkyltransferase mutations. Mol Cancer Ther 3:1127–1135

    PubMed  CAS  Google Scholar 

  7. Berhane K, Hao XY, Egyhazi S, Hansson J, Ringborg U, Mannervik B (1993) Contribution of glutathione transferase M3–3 to 1,3-bis(2-chloroethyl)-1-nitrosourea resistance in a human non-small cell lung cancer cell line. Cancer Res 53:4257–4261

    PubMed  CAS  Google Scholar 

  8. Doz F, Roosen N, Rosenblum ML (1993) Metallothionein and anticancer agents: the role of metallothionein in cancer chemotherapy. J Neurooncol 17:123–129

    PubMed  Article  CAS  Google Scholar 

  9. Endresen L, Bakka A, Rugstad HE (1983) Increased resistance to chlorambucil in cultured cells with a high concentration of cytoplasmic metallothionein. Cancer Res 43:2918–2926

    PubMed  CAS  Google Scholar 

  10. Kelley SL, Basu A, Teicher BA, Hacker MP, Hamer DH, Lazo JS (1988) Overexpression of metallothionein confers resistance to anticancer drugs. Science 241:1813–1815

    PubMed  Article  CAS  Google Scholar 

  11. Zaia J, Jiang L, Han MS, Tabb JR, Wu Z, Fabris D, Fenselau C (1996) A binding site for chlorambucil on metallothionein. Biochemistry 35:2830–2835

    PubMed  Article  CAS  Google Scholar 

  12. Wei D, Fabris D, Fenselau C (1999) Covalent sequestration of phosphoramide mustard by metallothionein—an in vitro study. Drug Metab Dispos 27:786–791

    PubMed  CAS  Google Scholar 

  13. Antoine M, Fabris D, Fenselau C (1998) Covalent sequestration of the nitrogen mustard mechlorethamine by metallothionein. Drug Metab Dispos 26:921–926

    PubMed  CAS  Google Scholar 

  14. Yu X, Wu Z, Fenselau C (1995) Covalent sequestration of melphalan by metallothionein and selective alkylation of cysteines. Biochemistry 34:3377–3385

    PubMed  Article  CAS  Google Scholar 

  15. Laib JE, Shaw CFIII, Petering DH, Eidsness MK, Elder RC, Garvey JS (1985) Formation and characterization of aurothioneins: Au, Zn, Cd-thionein, Au, Cd-thionein, and (thiomalato-Au)chi-thionein. Biochemistry 24:1977–1986

    PubMed  Article  CAS  Google Scholar 

  16. Krull IS, Strauss J, Hochberg F, Zervas NT (1981) An improved trace analysis for N-nitrosoureas from biological media. J Anal Toxicol 5:42–46

    PubMed  CAS  Google Scholar 

  17. Jasani B, Elmes ME (1991) Immunohistochemical detection of metallothionein. Methods Enzymol 205:95–107

    PubMed  Article  CAS  Google Scholar 

  18. Loo TL, Dion RL, Dixon RL, Rall DP (1966) The antitumor agent, 1,3-bis(2-chloroethyl)-1-nitrosourea. J Pharm Sci 55:492–497

    Article  CAS  Google Scholar 

  19. West AK, Hidalgo J, Eddins D, Levin ED, Aschner M (2008) Metallothionein in the central nervous system: roles in protection, regeneration and cognition. Neurotoxicology 29:488–502

    Article  CAS  Google Scholar 

  20. Maier H, Jones C, Jasani B, Ofner D, Zelger B, Schmid KW, Budka H (1997) Metallothionein overexpression in human brain tumours. Acta Neuropathol 94:599–604

    PubMed  Article  CAS  Google Scholar 

  21. Haq F, Mahoney M, Koropatnick J (2003) Signaling events for metallothionein induction. Mutat Res 533:211–226

    PubMed  CAS  Google Scholar 

  22. Desjardins JP, Beard SE, Mapoles JE, Gee P, Thompson JA (1998) Transcriptional activity of quinone methides derived from the tumor promoter butylated hydroxytoluene in HepG2 cells. Cancer Lett 131:201–207

    PubMed  Article  CAS  Google Scholar 

  23. Wulfing C, van Ahlen H, Eltze E, Piechota H, Hertle L, Schmid KW (2007) Metallothionein in bladder cancer: correlation of overexpression with poor outcome after chemotherapy. World J Urol 25:199–205

    PubMed  Article  CAS  Google Scholar 

  24. Surowiak P, Materna V, Kaplenko I, Spaczynski M, Dietel M, Lage H, Zabel M (2005) Augmented expression of metallothionein and glutathione S-transferase pi as unfavourable prognostic factors in cisplatin-treated ovarian cancer patients. Virchows Arch 447:626–633

    PubMed  Article  CAS  Google Scholar 

  25. Weinlich G, Topar G, Eisendle K, Fritsch PO, Zelger B (2007) Comparison of metallothionein-overexpression with sentinel lymph node biopsy as prognostic factors in melanoma. J Eur Acad Dermatol Venereol 21:669–677

    PubMed  CAS  Google Scholar 

  26. Chun JH, Kim HK, Kim E, Kim IH, Kim JH, Chang HJ, Choi IJ, Lim HS, Kim IJ, Kang HC, Park JH, Bae JM, Park JG (2004) Increased expression of metallothionein is associated with irinotecan resistance in gastric cancer. Cancer Res 64:4703–4706

    PubMed  Article  CAS  Google Scholar 

  27. Lemoine A, Lucas C, Ings RM (1991) Metabolism of the chloroethylnitrosoureas. Xenobiotica 21:775–791

    PubMed  CAS  Article  Google Scholar 

  28. Tong WP, Kirk MC, Ludlum DB (1981) Molecular pharmacology of the haloethyl nitrosoureas: formation of 6-hydroxyethylguanine in DNA treated with BCNU (N,N1-bis[2-chloroethyl]-N-nitrosourea). Biochem Biophys Res Commun 100:351–357

    PubMed  Article  CAS  Google Scholar 

  29. Fornace AJ Jr, Kohn KW, Kann HE Jr (1978) Inhibition of the ligase step of excision repair by 2-chloroethyl isocyanate, a decomposition product of 1,3-bis(2-chloroethyl)-1-nitrosourea. Cancer Res 38:1064–1069

    PubMed  CAS  Google Scholar 

  30. Kann HE Jr, Schott MA, Petkas A (1980) Effects of structure and chemical activity on the ability of nitrosoureas to inhibit DNA repair. Cancer Res 40:50–55

    PubMed  CAS  Google Scholar 

  31. Wheeler GP, Bowdon BJ, Struck RF (1975) Carbamoylation of amino acid, peptides, and proteins by nitrosoureas. Cancer Res 35:2974–2984

    PubMed  CAS  Google Scholar 

  32. Lea MA (1987) Effects of carbamoylating agents on tumor metabolism. Crit Rev Oncol Hematol 7:329–371

    PubMed  Article  CAS  Google Scholar 

  33. Ali-Osman F (1989) Quenching of DNA cross-link precursors of chloroethylnitrosoureas and attenuation of DNA interstrand cross-linking by glutathione. Cancer Res 49:5258–5261

    PubMed  CAS  Google Scholar 

  34. Ali-Osman F, Caughlan J, Gray GS (1989) Decreased DNA interstrand cross-linking and cytotoxicity induced in human brain tumor cells by 1,3-bis(2-chloroethyl)-1-nitrosourea after in vitro reaction with glutathione. Cancer Res 49:5954–5958

    PubMed  CAS  Google Scholar 

  35. Ali-Osman F, Stein DE, Renwick A (1990) Glutathione content and glutathione-S-transferase expression in 1,3-bis(2-chloroethyl)-1-nitrosourea-resistant human malignant astrocytoma cell lines. Cancer Res 50:6976–6980

    PubMed  CAS  Google Scholar 

  36. Stahl W, Krauth-Siegel RL, Schirmer RH, Eisenbrand G (1987) A method to determine the carbamoylating potential of 1-(2-chloroethyl)-1-nitrosoureas. IARC Sci Publ 84:191–193

    PubMed  Google Scholar 

  37. Carbone V, Salzano A, Pucci P, Fiume I, Pocsfalvi G, Sannolo N, Di Landa G, Malorni A (1997) In vitro reactivity of the antineoplastic drug carmustin and acrolein with model peptides. J Pept Res 49:586–595

    PubMed  CAS  Google Scholar 

  38. Satoh M, Cherian MG, Imura N, Shimizu H (1994) Modulation of resistance to anticancer drugs by inhibition of metallothionein synthesis. Cancer Res 54:5255–5257

    PubMed  CAS  Google Scholar 

Download references

Acknowledgments

This work was supported by NIH grants NS-30245 and NS-20023 and a grant from the Pediatric Brain Tumor Foundation.

Author information

Affiliations

Authors

Corresponding author

Correspondence to Manny D. Bacolod.

Rights and permissions

Reprints and Permissions

About this article

Cite this article

Bacolod, M.D., Fehdrau, R., Johnson, S.P. et al. BCNU-sequestration by metallothioneins may contribute to resistance in a medulloblastoma cell line. Cancer Chemother Pharmacol 63, 753 (2009). https://doi.org/10.1007/s00280-008-0792-9

Download citation

  • Received:

  • Accepted:

  • Published:

  • DOI: https://doi.org/10.1007/s00280-008-0792-9

Keywords

  • Carmustine
  • BCNU
  • Metallothionein
  • Medulloblastoma
  • Brain tumor
  • Cancer drug resistance