Skip to main content

Use of eltrombopag in aplastic anemia in Europe

Abstract

Eltrombopag (ELT), an oral thrombopoietin receptor agonist, has recently emerged as a promising new drug for the treatment of aplastic anemia (AA). How ELT is used outside of clinical trials in the real-world setting and results of this treatment are not known. We conducted therefore a retrospective survey on the use of ELT in AA among EBMT member centers. We analyzed the 134 patients reported in our survey together with 46 patients recently published by Lengline et al. The median follow-up from start of ELT treatment was 15.3 months, with 85.6% patients alive at last follow-up. Importantly, only 28.9% of our patients received ELT according to the FDA/EMA label as monotherapy in the relapsed/refractory setting, whereas 16.7% received ELT upfront. The overall response rate in our cohort was 62%, very similar to the results of the pivotal ELT trial. In multivariate analysis, combination therapy with ELT/cyclosporine/ATG and response to previous therapy were associated with response. Overall survival was favorable with a 1-year survival from ELT start of 87.4%. We identified age, AA severity before ELT start and response to ELT as variables significantly associated with OS. Two patients transformed to MDS; other adverse events were mostly benign. In sum, ELT is used widely in Europe to treat AA patients, mostly in the relapsed/refractory setting. Response to ELT is similar to the clinical trial data across different age groups, treatment lines, and treatment combinations and results in favorable survival.

This is a preview of subscription content, access via your institution.

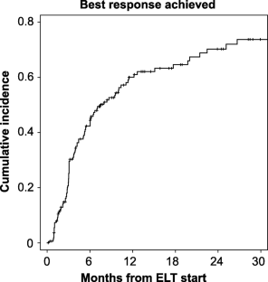
Fig. 1
Fig. 2
Fig. 3

References

  1. Luzzatto L, Risitano AM (2018) Advances in understanding the pathogenesis of acquired aplastic anaemia. Br J Haematol 182(6):758–776

    Article  PubMed  Google Scholar 

  2. Killick SB, Bown N, Cavenagh J, Dokal I, Foukaneli T, Hill A, Hillmen P, Ireland R, Kulasekararaj A, Mufti G, Snowden JA, Samarasinghe S, Wood A, Marsh JCW, the British Society for Standards in Haematology (2016) Guidelines for the diagnosis and management of adult aplastic anaemia. Br J Aematol 172(2):187–207

    Article  Google Scholar 

  3. Tichelli A, Schrezenmeier H, Socié G et al (2011) A randomized controlled study in patients with newly diagnosed severe aplastic anemia receiving antithymocyte globulin (ATG), cyclosporine, with or without G-CSF: a study of the SAA Working Party of the European Group for Blood and Marrow Transplantation. Blood 117(17):4434–4441

    Article  CAS  PubMed  Google Scholar 

  4. Scheinberg P, Nunez O, Young NS (2006) Retreatment with rabbit anti-thymocyte globulin and ciclosporin for patients with relapsed or refractory severe aplastic anaemia. Br J Haematol 133(6):622–627

    Article  CAS  PubMed  Google Scholar 

  5. Giammarco S, van Lint M, Lamparelli T et al Androgens may boost hematologic response to anti-thymocyte globulin in acquired aplastic anemia. Blood 128(22):3900

  6. Tichelli A, Passweg J, Nissen C, Bargetzi M, Hoffmann T, Wodnar-Filipowicz A, Signer E, Speck B, Gratwohl A (1998) Repeated treatment with horse antilymphocyte globulin for severe aplastic anaemia. Br J Haematol 100(2):393–400

    Article  CAS  PubMed  Google Scholar 

  7. Socie G, Henry-Amar M, Bacigalupo A, Hows J, Tichelli A, Ljungman P, McCann SR, Frickhofen N, van’t Veer-Korthof E, Gluckman E (1993) Malignant tumors occurring after treatment of aplastic anemia. N Engl J Med 329(16):1152–1157

    Article  CAS  PubMed  Google Scholar 

  8. Kao SY, Xu W, Brandwein JM, Lipton JH, Messner HA, Minden MD, Schimmer AD, Schuh AC, Yee K, Gupta V (2008) Outcomes of older patients (≥60 years) with acquired aplastic anaemia treated with immunosuppressive therapy. Br J Haematol 143(5):738–743

    Article  PubMed  Google Scholar 

  9. Marsh J, Ganser A, Stadler M (2007) Hematopoietic growth factors in the treatment of acquired bone marrow failure states. Semin Hematol 44(3):138–147

    Article  CAS  PubMed  Google Scholar 

  10. Desmond R, Townsley DM, Dumitriu B et al (2014) Eltrombopag restores trilineage hematopoiesis in refractory severe aplastic anemia that can be sustained on discontinuation of drug. Blood. 123(12):1818–1825

    Article  CAS  PubMed  PubMed Central  Google Scholar 

  11. Kovtonyuk LV, Manz MG, Takizawa H (2016) Enhanced thrombopoietin but not G-CSF receptor stimulation induces self-renewing hematopoietic stem cell divisions in vivo. Blood 127(25):3175–3179

    Article  CAS  PubMed  Google Scholar 

  12. Sun H, Tsai Y, Nowak I, Liesveld J, Chen Y (2012) Eltrombopag, a thrombopoietin receptor agonist, enhances human umbilical cord blood hematopoietic stem/primitive progenitor cell expansion and promotes multi-lineage hematopoiesis. Stem Cell Res 9(2):77–86

    Article  CAS  PubMed  PubMed Central  Google Scholar 

  13. Liu X, Liu S, Feng Q, Liu XN, Li GS, Sheng Z, Chen P, Liu Y, Wei Y, Dong XY, Qin P, Gao C, Ma C, Zhang L, Hou M, Peng J (2016) Thrombopoietin receptor agonists shift the balance of Fcγ receptors toward inhibitory receptor IIb on monocytes in ITP. Blood 128(6):852–861

    Article  CAS  PubMed  Google Scholar 

  14. Olnes MJ, Scheinberg P, Calvo KR et al (2012) Eltrombopag and improved hematopoiesis in refractory aplastic anemia. N Engl J Med 367(1):11–19

    Article  CAS  PubMed  PubMed Central  Google Scholar 

  15. Novartis. Revolade product information. July 2018. https://www.ema.europa.eu/documents/product-information/revolade-epar-product-information_en.pdf. Accessed 9 Oct 2018

  16. Novartis (2017) Promacta prescribing information. https://www.accessdata.fda.gov/drugsatfda_docs/label/2017/022291s019lbl.pdf. Accessed 9 Oct 2018

  17. Townsley DM, Scheinberg P, Winkler T et al (2017) Eltrombopag added to standard immunosuppression for aplastic anemia. N Engl J Med 376(16):1540–1550

    Article  CAS  PubMed  PubMed Central  Google Scholar 

  18. Hwang Y-Y, Gill H, Chan T, Leung G, Cheung C, Kwong Y-L (2018) Eltrombopag in the management of aplastic anaemia: real-world experience in a non-trial setting. Hematology 23(7):399–404

    Article  CAS  PubMed  Google Scholar 

  19. Gill H, Leung GM, Lopes D, Kwong Y-L (2017) The thrombopoietin mimetics eltrombopag and romiplostim in the treatment of refractory aplastic anaemia. Br J Haematol 176(6):991–994

    Article  CAS  PubMed  Google Scholar 

  20. Lengline E, Drenou B, Peterlin P et al (2017) Nationwide survey on the use of eltrombopag in patients with severe aplastic anemia: a report on behalf of the French reference center for aplastic anemia. Haematologica 103(2):212–220

    Article  CAS  PubMed  Google Scholar 

  21. Rodeghiero F, Ruggeri M (2015) Treatment of immune thrombocytopenia in adults: the role of thrombopoietin-receptor agonists. Semin Hematol 52(1):16–24

    Article  CAS  PubMed  Google Scholar 

  22. Khellaf M, Viallard J-F, Hamidou M, Cheze S, Roudot-Thoraval F, Lefrere F, Fain O, Audia S, Abgrall JF, Michot JM, Dauriac C, Lefort S, Gyan E, Niault M, Durand JM, Languille L, Boutboul D, Bierling P, Michel M, Godeau B (2013) A retrospective pilot evaluation of switching thrombopoietic receptor-agonists in immune thrombocytopenia. Haematologica 98(6):881–887

    Article  CAS  PubMed  PubMed Central  Google Scholar 

  23. Fine JP, Gray RJ (1999) A proportional hazards model for the subdistribution of a competing risk. J Am Stat Assoc 94(446):496–509

    Article  Google Scholar 

  24. Kanda Y (2013) Investigation of the freely available easy-to-use software ‘EZR’ for medical statistics. Bone Marrow Transplant 48(3):452–458

    Article  CAS  Google Scholar 

  25. Assi R, Garcia-Manero G, Ravandi F, Borthakur G, Daver NG, Jabbour E, Burger J, Estrov Z, Dinardo CD, Alvarado Y, Hendrickson S, Ferrajoli A, Wierda W, Cortes J, Kantarjian H, Kadia TM (2018) Addition of eltrombopag to immunosuppressive therapy in patients with newly diagnosed aplastic anemia. Cancer 124(21):4192–4201

    Article  CAS  PubMed  Google Scholar 

  26. Gluckman E, Esperou-Bourdeau H, Baruchel A et al (1992) Multicenter randomized study comparing cyclosporine-A alone and antithymocyte globulin with prednisone for treatment of severe aplastic anemia. Blood 2540–2546

  27. Risitano A, Schrezenmeier H (2013) Alternative immunosuppression in patients failing immunosuppression with ATG who are not transplant candidates: Campath (Alemtuzumab). Bone Marrow Transplant 48:186–190

    Article  CAS  PubMed  Google Scholar 

  28. Scheinberg P, Wu CO, Nunez O, Young NS (2009) Predicting response to immunosuppressive therapy and survival in severe aplastic anaemia. Br J Haematol 144(2):206–216

    Article  CAS  PubMed  Google Scholar 

  29. Sugimori C, Chuhjo T, Feng X et al (2006) Minor population of CD55-CD59- blood cells predicts response to immunosuppressive therapy and prognosis in patients with aplastic anemia. Blood 107(4):1308–1314

    Article  CAS  PubMed  Google Scholar 

Download references

Acknowledgements

We would like to thank all centers contributing patient data to the survey.

Author information

Affiliations

Authors

Consortia

Corresponding author

Correspondence to Jakob Passweg.

Ethics declarations

All procedures performed were in accordance with the ethical standards of the applicable institutional and national research committees, with the 1964 Helsinki declaration and its later amendments as well as comparable ethical standards. All patients provided informed consent to inclusion of their data in the EBMT SAA registry.

Conflict of interest

Francesca Bonifazi received speaker’s fees from Novartis. The other authors declare no conflicts of interest.

Additional information

Publisher’s note

Springer Nature remains neutral with regard to jurisdictional claims in published maps and institutional affiliations.

Electronic supplementary material

Figure S1
figure 4

Competing risk analysis for response or death without response according to a) AA severity before ELT start, b) treatment line. (PNG 139 kb)

ESM 1

(DOC 112 kb)

High resolution image

(EPS 120 kb)

Table S1

Baseline characteristics according to a) treatment line, b) ELT combination. (DOCX 15 kb)

Rights and permissions

Reprints and Permissions

About this article

Verify currency and authenticity via CrossMark

Cite this article

Ecsedi, M., Lengline, É., Knol-Bout, C. et al. Use of eltrombopag in aplastic anemia in Europe. Ann Hematol 98, 1341–1350 (2019). https://doi.org/10.1007/s00277-019-03652-8

Download citation

  • Received:

  • Accepted:

  • Published:

  • Issue Date:

  • DOI: https://doi.org/10.1007/s00277-019-03652-8

Keywords

  • Aplastic anemia
  • Eltrombopag
  • Growth factors
  • Immunosuppression