Skip to main content

The clinical features of fatal cyclophosphamide-induced cardiotoxicity in a conditioning regimen for allogeneic hematopoietic stem cell transplantation (allo-HSCT)

Abstract

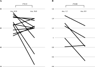
Cyclophosphamide (CY) cardiotoxicity induces a rare lethal complication associated with its use. The minimum dose for cardiac toxicity is still not known, although there are no reports of CY toxicity at doses of less than 100 mg/kg. There are few studies of CY cardiotoxicity that included a large number of patients who received high-dose CY for conditioning for allogeneic stem cell transplant (allo-HSCT). To elucidate the clinical course, complications, true incidence, and risk factors, the cardiac events of 811 patients who received more than a total of 100 mg/kg of CY as conditioning for allo-HSCT were analyzed. Twelve of 811 recipients (1.5 %) developed fatal cardiac failure induced by CY at a median of 4 (range 2–8) days after the first administration of CY. Regarding the dose of CY, 8.5, 1.2, and 0 % of the patients developed cardiac failure among the patients treated with a total of 200, 120, and 100 mg/kg CY, respectively. On echocardiography, the E/A ratio shows diastolic dysfunction but not the ejection fraction changed in the early course. Moreover, a short time to the first symptom after the administration of CY tended to be associated with early death (p = 0.09). Eleven patients died from progressive acute cardiac failure at day 7 (5–30) after the first administration of CY, and only one patient survived. In summary, fatal CY cardiotoxicity with allo-HSCT is a rare complication, but it is associated with high mortality. The possibility of CY-induced cardiotoxicity must be considered early after the administration of CY.

This is a preview of subscription content, access via your institution.

Fig. 1

References

  1. Morandi P, Ruffini PA, Benvenuto GM, Raimondi R, Fosser V (2005) Cardiac toxicity of high-dose chemotherapy. Bone Marrow Transplant 35:323–334

    CAS  Article  PubMed  Google Scholar 

  2. Shanholtz C (2001) Acute life-threatening toxicity of cancer treatment. Crit Care Clin 17:483–502

    CAS  Article  PubMed  Google Scholar 

  3. Morandi P, Ruffini PA, Benvenuto GM, La Vecchia L, Mezzena G, Raimondi R (2001) Serum cardiac troponin I levels and ECG/Echo monitoring in breast cancer patients undergoing high-dose (7 g/m(2)) cyclophosphamide. Bone Marrow Transplant 28:277–282

    CAS  Article  PubMed  Google Scholar 

  4. Braverman AC, Antin JH, Plappert MT, Cook EF, Lee RT (1991) Cyclophosphamide cardiotoxicity in bone marrow transplantation: a prospective evaluation of new dosing regimens. J Clin Oncol 9:1215–1223

    CAS  PubMed  Google Scholar 

  5. Gottdiener JS, Appelbaum FR, Ferrans VJ, Deisseroth A, Ziegler J (1981) Cardiotoxicity associated with high-dose cyclophosphamide therapy. Arch Intern Med 141:758–763

    CAS  Article  PubMed  Google Scholar 

  6. Goldberg MA, Antin JH, Guinan EC, Rappeport JM (1986) Cyclophosphamide cardiotoxicity: an analysis of dosing as a risk factor. Blood 68:1114–1118

    CAS  PubMed  Google Scholar 

  7. Mori J, Ohashi K, Yamaguchi T, Ando M, Hirashima Y, Kobayashi T, Kakihana K, Sakamaki H (2012) Risk assessment for acute kidney injury after allogeneic hematopoietic stem cell transplantation based on Acute Kidney Injury Network criteria. Intern Med 51:2105–2110

    Article  PubMed  Google Scholar 

  8. Mori T, Yanagi N, Maruyama T, Gondo H, Okamura T, Kaji Y, Harada M (2002) Left ventricular diastolic dysfunction induced by cyclophosphamide in blood stem cell transplantation. Jpn Heart J 43:249–261

    Article  PubMed  Google Scholar 

  9. Kataoka K, Nannya Y, Iwata H, Seo S, Kumano K, Takahashi T, Nagai R, Kurokawa M (2010) Plasma brain natriuretic peptide is associated with hepatic veno-occlusive disease and early mortality after allogeneic hematopoietic stem cell transplantation. Bone Marrow Transplant 45:1631–1637

    CAS  Article  PubMed  Google Scholar 

  10. Cardinale D, Sandri MT, Martinoni A, Tricca A, Civelli M, Lamantia G, Cinieri S, Martinelli G, Cipolla CM, Fiorentini C (2000) Left ventricular dysfunction predicted by early troponin I release after high-dose chemotherapy. J Am Coll Cardiol 36:517–522

    CAS  Article  PubMed  Google Scholar 

  11. Nakamae H, Hino M, Akahori M, Terada Y, Yamane T, Ohta K, Hayashi T, Tsumura K (2004) Predictive value of QT dispersion for acute heart failure after autologous and allogeneic hematopoietic stem cell transplantation. Am J Hematol 76:1–7

    Article  PubMed  Google Scholar 

  12. Ranchoux B, Günther S, Quarck R, Chaumais MC, Dorfmüller P, Antigny F, Dumas SJ, Raymond N, Lau E, Savale L, Jaïs X, Sitbon O, Simonneau G, Stenmark K, Cohen-Kaminsky S, Humbert M, Montani D, Perros F (2015) Chemotherapy-induced pulmonary hypertension: role of alkylating agents. Am J Pathol 185:356–371

    CAS  Article  PubMed  Google Scholar 

  13. Bosch X, Rovira M, Sitges M, Domènech A, Ortiz-Pérez JT, de Caralt TM, Morales-Ruiz M, Perea RJ, Monzó M, Esteve J (2013) Enalapril and carvedilol for preventing chemotherapy-induced left ventricular systolic dysfunction in patients with malignant hemopathies: the OVERCOME trial (preventiOn of left Ventricular dysfunction with Enalapril and caRvedilol in patients submitted to intensive ChemOtherapy for the treatment of Malignant hEmopathies). J Am Coll Cardiol 61:2355–2362

    CAS  Article  PubMed  Google Scholar 

Download references

Acknowledgments

We are very grateful to the patients in the current study. The author would like to thank the nursing staff at our institution.

Author information

Affiliations

Authors

Corresponding author

Correspondence to Noriko Doki.

Ethics declarations

Conflict of interest

The authors declare that they have no conflict of interest.

Rights and permissions

Reprints and Permissions

About this article

Verify currency and authenticity via CrossMark

Cite this article

Ishida, S., Doki, N., Shingai, N. et al. The clinical features of fatal cyclophosphamide-induced cardiotoxicity in a conditioning regimen for allogeneic hematopoietic stem cell transplantation (allo-HSCT). Ann Hematol 95, 1145–1150 (2016). https://doi.org/10.1007/s00277-016-2654-6

Download citation

  • Received:

  • Accepted:

  • Published:

  • Issue Date:

  • DOI: https://doi.org/10.1007/s00277-016-2654-6

Keywords

  • Cardiac failure
  • Cyclophosphamide
  • Allogeneic hematopoietic stem cell transplantation (allo-HSCT)