Skip to main content

Expansion of CD4+CD25+ regulatory T cells from cord blood CD4+ cells using the common γ-chain cytokines (IL-2 and IL-15) and rapamycin

Abstract

Rapamycin has important roles in the modulation of regulatory T cells. We tried to expand CD4+CD25+ regulatory T cells (Treg cells) from umbilical cord blood (CB) CD4-positive cells using interleukin (IL)-15 or IL-2 with transforming growth factor (TGF)-β and rapamycin. We were able to obtain more than 500-fold expansion of CD4+CD25+ cells from CB CD4+ cells using IL-15 and TGF-β with rapamycin. These expanded CD4+CD25+ cells expressed forkhead box P3 (FoxP3) mRNA at a level about 100-fold higher and could suppress allogeneic mixed lymphocyte culture (MLC) by more than 50%. Early after rapamycin stimulation, CB CD4+ cells showed increased expression of FoxP3 and a serine/threonine kinase Pim2 and sustained expression of negative phosphoinositide 3-kinase regulator phosphatase and tensin homolog deleted on chromosome 10 (PTEN). On the other hand, CD4+CD25+ cells expanded with rapamycin for 8 days showed much higher levels of FoxP3 mRNA expression and decreased expression of PTEN. A comparison of IL-15 stimulation and IL-2 stimulation showed slightly higher efficiency of IL-15 for expansion of CD4+CD25+ cells, and for FoxP3 expression, IL-15 also showed significantly higher efficacy for inhibition of MLC. The combination of the common γ-chain cytokine IL-15, TGF-β, and rapamycin may be a useful means for expanding Treg cells. Pim2 expression early after stimulation with rapamycin may be important for conferring rapamycin resistance for growth of Treg cells. IL-15 is not less useful than IL-2 for expansion of Treg cells.

This is a preview of subscription content, access via your institution.

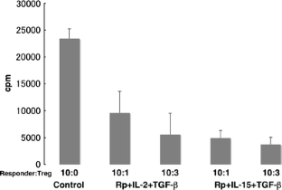
Fig. 1
Fig. 2

References

  1. Nguyen VH, Zeiser R, Negrin RS (2006) Role of naturally arising regulatory T cells in hematopoietic cell transplantation. Biol Blood Marrow Transplant 12:995–1009

    PubMed  Article  CAS  Google Scholar 

  2. Rezvani K, Mielke S, Ahmadzadeh M et al (2006) High donor FOXP3-positive regulatory T-cell (Treg) content is associated with a low risk of GVHD following HLA-matched allogeneic SCT. Blood 108:1291–1297

    PubMed  Article  CAS  Google Scholar 

  3. Xia G, He J, Zhang Z, Leventhal JR (2006) Targeting acute allograft rejection by immunotherapy with ex vivo-expanded natural CD4+ CD25+ regulatory T cells. Transplantation 82:1749–1755

    PubMed  Article  Google Scholar 

  4. Godfrey WR, Ge YG, Spoden DJ et al (2004) In vitro-expanded human CD4(+)CD25(+) T-regulatory cells can markedly inhibit allogeneic dendritic cell-stimulated MLR cultures. Blood 104:453–461

    PubMed  Article  CAS  Google Scholar 

  5. Zheng SG, Wang JH, Gray JD, Soucier H, Horwitz DA (2004) Natural and induced CD4+CD25+ cells educate CD4+CD25− cells to develop suppressive activity: the role of IL-2, TGF-beta, and IL-10. J Immunol 172:5213–5221

    PubMed  CAS  Google Scholar 

  6. Godfrey WR, Spoden DJ, Ge YG et al (2005) Cord blood CD4(+)CD25(+)-derived T regulatory cell lines express FoxP3 protein and manifest potent suppressor function. Blood 105:750–758

    PubMed  Article  CAS  Google Scholar 

  7. Li L, Godfrey WR, Porter SB et al (2005) CD4+CD25+ regulatory T-cell lines from human cord blood have functional and molecular properties of T-cell anergy. Blood 106:3068–3073

    PubMed  Article  CAS  Google Scholar 

  8. Tanaka J, Sugita J, Kato N et al (2007) Expansion of natural killer cell receptor (CD94/NKG2A)-expressing cytolytic CD8 T cells and CD4+CD25+ regulatory T cells from the same cord blood unit. Exp Hematol 35:1562–1566

    PubMed  Article  CAS  Google Scholar 

  9. Thomson AW, Turnquist HR, Raimondi G (2009) Immunoregulatory functions of mTOR inhibition. Nat Rev Immunol 9:324–337

    PubMed  Article  CAS  Google Scholar 

  10. Battaglia M, Stabilini A, Roncarolo MG (2005) Rapamycin selectively expands CD4+CD25+FoxP3+ regulatory T cells. Blood 105:4743–4748

    PubMed  Article  CAS  Google Scholar 

  11. Valmori D, Tosello V, Souleimanian NE et al (2006) Rapamycin-mediated enrichment of T cells with regulatory activity in stimulated CD4+ T cell cultures is not due to the selective expansion of naturally occurring regulatory T cells but to the induction of regulatory functions in conventional CD4+ T cells. J Immunol 177:944–949

    PubMed  CAS  Google Scholar 

  12. Strauss L, Whiteside TL, Knights A, Bergmann C, Knuth A, Zippelius A (2007) Selective survival of naturally occurring human CD4+CD25+Foxp3+ regulatory T cells cultured with rapamycin. J Immunol 178:320–329

    PubMed  CAS  Google Scholar 

  13. Zheng Y, Rudensky AY (2007) Foxp3 in control of the regulatory T cell lineage. Nat Immunol 8:457–462

    PubMed  Article  CAS  Google Scholar 

  14. Walsh PT, Buckler JL, Zhang J et al (2006) PTEN inhibits IL-2 receptor-mediated expansion of CD4+CD25+ Tregs. J Clin Investig 116:2521–2531

    PubMed  CAS  Google Scholar 

  15. Zeiser R, Leveson-Gower DB, Zambricki EA et al (2008) Differential impact of mammalian target of rapamycin inhibition on CD4+CD25+Foxp3+ regulatory T cells compared with conventional CD4+ T cells. Blood 111:453–462

    PubMed  Article  CAS  Google Scholar 

  16. Fox CJ, Hammerman PS, Thompson CB (2005) The Pim kinases control rapamycin-resistant T cell survival and activation. J Exp Med 201:259–266

    PubMed  Article  CAS  Google Scholar 

  17. Basu S, Golovina T, Mikheeva T, June CH, Riley JL (2008) Foxp3-mediated induction of pim 2 allows human T regulatory cells to preferentially expand in rapamycin. J Immunol 180:5794–5798

    PubMed  CAS  Google Scholar 

  18. Giri JG, Ahdieh M, Eisenman J et al (1994) Utilization of the beta and gamma chains of the IL-2 receptor by the novel cytokine IL-15. EMBO J 13:2822–2830

    PubMed  CAS  Google Scholar 

  19. Demirci G, Li XC (2004) IL-2 and IL-15 exhibit opposing effects on Fas mediated apoptosis. Cell Mol Immunol 1:123–128

    PubMed  CAS  Google Scholar 

  20. Lin SJ, Cheng PJ, Hsiao SS, Lin HH, Hung PF, Kuo ML (2005) Differential effect of IL-15 and IL-2 on survival of phytohemagglutinin-activated umbilical cord blood T cells. Am J Hematol 80:106–112

    PubMed  Article  CAS  Google Scholar 

  21. Carson WE, Giri JG, Lindemann MJ et al (1994) Interleukin (IL) 15 is a novel cytokine that activates human natural killer cells via components of the IL-2 receptor. J Exp Med 180:1395–1403

    PubMed  Article  CAS  Google Scholar 

  22. Rutella S, Pierelli L, Bonanno G et al (2001) Immune reconstitution after autologous peripheral blood progenitor cell transplantation: effect of interleukin-15 on T-cell survival and effector functions. Exp Hematol 29:1503–1516

    PubMed  Article  CAS  Google Scholar 

  23. Lin SJ, Cheng PJ, Yan DC, Lee PT, Hsaio HS (2006) Effect of interleukin-15 on alloreactivity in umbilical cord blood. Transpl Immunol 16:112–116

    PubMed  Article  CAS  Google Scholar 

  24. Chen W, Jin W, Hardegen N et al (2003) Conversion of peripheral CD4+CD25− naive T cells to CD4+CD25+ regulatory T cells by TGF-beta induction of transcription factor Foxp3. J Exp Med 198:1875–1886

    PubMed  Article  CAS  Google Scholar 

  25. Hippen KL, Harker-Murray P, Porter SB et al (2008) Umbilical cord blood regulatory T-cell expansion and functional effects of tumor necrosis factor receptor family members OX40 and 4-1BB expressed on artificial antigen-presenting cells. Blood 112:2847–2857

    PubMed  Article  CAS  Google Scholar 

  26. Burchill MA, Yang J, Vang KB, Farrar MA (2007) Interleukin-2 receptor signaling in regulatory T cell development and homeostasis. Immunol Lett 114:1–8

    PubMed  CAS  Google Scholar 

  27. Zeiser R, Negrin RS (2008) Interleukin-2 receptor downstream events in regulatory T cells: implications for the choice of immunosuppressive drug therapy. Cell Cycle 15:458–462

    Article  Google Scholar 

  28. Burchill MA, Yang J, Vogtenhuber C, Blazar BR, Farrar MA (2007) IL-2 receptor beta-dependent STAT5 activation is required for the development of Foxp3+ regulatory T cells. J Immunol 178:280–290

    PubMed  CAS  Google Scholar 

  29. Johnston JA, Bacon CM, Finbloom DS et al (1995) Tyrosine phosphorylation and activation of STAT5, STAT3, and Janus kinases by interleukins 2 and 15. Proc Natl Acad Sci USA 92:8705–8709

    PubMed  Article  CAS  Google Scholar 

  30. Hess AD (2006) Modulation of graft-versus-host disease: role of regulatory T lymphocytes. Biol Blood Marrow Transplant 12:13–21

    PubMed  Article  Google Scholar 

  31. June CH, Blazar BR (2006) Clinical application of expanded CD4+25+ cells. Semin Immunol 18:78–88

    PubMed  Article  CAS  Google Scholar 

  32. Hoffmann P, Boeld TJ, Eder R, Albrecht J, Doser K, Piseshka B, Dada A, Niemand C, Assenmacher M, Orsó E, Andreesen R, Holler E, Edinger M (2006) Isolation of CD4+CD25+ regulatory T cells for clinical trials. Biol Blood Marrow Transplant 12:267–274

    PubMed  Article  CAS  Google Scholar 

  33. Trzonkowski P, Bieniaszewska M, Juścińska J, Dobyszuk A, Krzystyniak A, Marek N, Myśliwska J, Hellmann A (2009) First-in-man clinical results of the treatment of patients with graft versus host disease with human ex vivo expanded CD4+CD25+CD127− T regulatory cells. Clin Immunol 133:22–26

    PubMed  Article  CAS  Google Scholar 

  34. Battaglia M (2010) Potential T regulatory cell therapy in transplantation: how far have we come and how far can we go? Transpl Int 23:761–770

    PubMed  Article  CAS  Google Scholar 

  35. Brunstein CG, Miller JS, Cao Q, McKenna DH, Hippen KL, Curtsinger J, Defor T, Levine BL, June CH, Rubinstein P, McGlave PB, Blazar BR, Wagner JE (2010) Infusion of ex vivo expanded T regulatory cells in adults transplanted with umbilical cord blood: safety profile and detection kinetics. Blood (in press). doi:10.1182/blood-2010-07-293795

Download references

Acknowledgments

We thank Ms. M. Yamane, Ms. M. Mayanagi, and Ms. Y. Ishimaru for their technical assistance. This work was supported in part by a Grant-in-Aid for Scientific Research from the Ministry of Education, Science and Culture, Japan (Tokyo, Japan).

Author information

Affiliations

Authors

Corresponding author

Correspondence to Junji Tanaka.

Rights and permissions

Reprints and Permissions

About this article

Cite this article

Asanuma, S., Tanaka, J., Sugita, J. et al. Expansion of CD4+CD25+ regulatory T cells from cord blood CD4+ cells using the common γ-chain cytokines (IL-2 and IL-15) and rapamycin. Ann Hematol 90, 617–624 (2011). https://doi.org/10.1007/s00277-010-1121-z

Download citation

  • Received:

  • Accepted:

  • Published:

  • Issue Date:

  • DOI: https://doi.org/10.1007/s00277-010-1121-z

Keywords

  • Regulatory T cells
  • IL-2
  • IL-15
  • Rapamycin
  • Cord blood