Skip to main content

Objective characterization of the course of the parasellar internal carotid artery using mathematical tools

Abstract

Background

Along the internal carotid artery (ICA), atherosclerotic plaques are often located in its cavernous sinus (parasellar) segments (pICA). Studies indicate that the incidence of pre-atherosclerotic lesions is linked with the complexity of the pICA; however, the pICA shape was never objectively characterized. Our study aims at providing objective mathematical characterizations of the pICA shape.

Methods and results

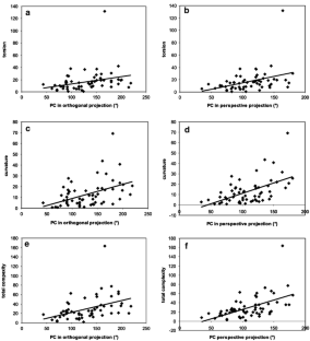
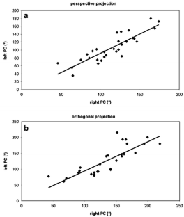
Three-dimensional (3D) computer models, reconstructed from contrast enhanced computed tomography (CT) data of 30 randomly selected patients (60 pICAs) were analyzed with modern visualization software and new mathematical algorithms. As objective measures for the pICA shape complexity, we provide calculations of curvature energy, torsion energy, and total complexity of 3D skeletons of the pICA lumen. We further measured the posterior knee of the so-called “carotid siphon” with a virtual goniometer and performed correlations between the objective mathematical calculations and the subjective angle measurements.

Conclusions

Firstly, our study provides mathematical characterizations of the pICA shape, which can serve as objective reference data for analyzing connections between pICA shape complexity and vascular diseases. Secondly, we provide an objective method for creating such data. Thirdly, we evaluate the usefulness of subjective goniometric measurements of the angle of the posterior knee of the carotid siphon.

This is a preview of subscription content, access via your institution.

Fig. 1
Fig. 2
Fig. 3
Fig. 4
Fig. 5
Fig. 6

References

  1. Bergland RM, Ray BS, Torack RM (1968) Anatomical variations in the pituitary gland and adjacent structures in 225 human autopsy cases. J Neurosurg 28(2):93–99

    PubMed  CAS  Google Scholar 

  2. Borozan PG, Schuler JJ, LaRosa MP, Ware MS, Flanigan DP (1984) The natural history of isolated carotid siphon stenosis. J Vasc Surg 1(6):744–749

    PubMed  Article  CAS  Google Scholar 

  3. Chrzanowski R (1971) The assessment of the intracranial part of the internal carotid artery. Neuroradiology 2(4):223–226

    PubMed  Article  CAS  Google Scholar 

  4. Costa LdF, Cesar JRM (2001) Shape analysis and classification: theory and practice. CRC Press, Boca Raton

    Google Scholar 

  5. Craig DR, Meguro K, Watridge C, Robertson JT, Barnett HJ, Fox AJ (1982) Intracranial internal carotid artery stenosis. Stroke 13(6):825–828

    PubMed  CAS  Google Scholar 

  6. Curry RW, Culbreth GC (1951) The normal cerebral angiogram. AJR Am J Roentgenol 65(3):345–373

    CAS  Google Scholar 

  7. Dei Poli G, Zucha J (1940) Beiträge zur Kenntnis der Anomalien und der Arteria carotis interna. Zentralblatt für Neurochirurgie 5(6):209–238

    Google Scholar 

  8. Ding Z, Friedman MH (2000) Dynamics of human coronary arterial motion and its potential role in coronary atherogenesis. J Biomech Eng 122(5):488–492

    PubMed  Article  CAS  Google Scholar 

  9. Do Carmo M (1976) Differential geometry of curves and surfaces. Prentice-Hall, Englewood Cliffs

    Google Scholar 

  10. Dörfler J (1935) Ein Beitrag zur Frage der Lokalisation der Arteriosklerose der Gehirngefäße mit besonderer Berücksichtigung der arteria carotis interna. Arch Psychiatr 103:180–190

    Article  Google Scholar 

  11. Fischer E (1938) Die Lageabweichung der vorderen Hirnarterie im Gefäßbild. Zentralblatt für Neurochirurgie 5(3):300–317

    Google Scholar 

  12. Fisher CM, Gore I, Okabe N, White PD (1965) Calcification of the carotid siphon. Circulation 32(4):538–548

    PubMed  CAS  Google Scholar 

  13. Hasso AN, Bentson JR, Wilson GH, Vignaud J (1975) Neuroradiology of the sphenoidal region. Radiology 114(3):619–627

    PubMed  CAS  Google Scholar 

  14. Jovanovic S (1971) [Variations and development of the internal carotid artery curves in the cavernous sinus]. Glas Srp Akad Nauka [Med] 23:163–173

    Google Scholar 

  15. Kappelle LJ, Eliasziw M, Fox AJ, Sharpe BL, Barnett HJ (1999) Importance of intracranial atherosclerotic disease in patients with symptomatic stenosis of the internal carotid artery. The North American symptomatic carotid endarterectomy trail. Stroke 30(2):282–286

    PubMed  CAS  Google Scholar 

  16. Knosp E, Muller G, Perneczky A (1988) The paraclinoid carotid artery: anatomical aspects of a microneurosurgical approach. Neurosurgery 22(5):896–901

    PubMed  Article  CAS  Google Scholar 

  17. Kozlowski P (1963) Relation of the internal carotid siphon to the carotid sulcus. Acta Radiol Ther Phys Biol 1:328–331

    PubMed  CAS  Google Scholar 

  18. Marzewski DJ, Furlan AJ, St Louis P, Little JR, Modic MT, Williams G (1982) Intracranial internal carotid artery stenosis: long-term prognosis. Stroke 13(6):821–824

    PubMed  CAS  Google Scholar 

  19. Medina R, Wahle A, Om E, Sonka M (2004) Curvature and torsion estimation for coronary-artery motion analysis. Proc SPIE 5369:504–515

    Article  Google Scholar 

  20. Michailow SS (1964) Makro-und mikroskopische Untersuchungen des Baues des Sinus cavernosus. Anat Anz 115:233–255

    PubMed  CAS  Google Scholar 

  21. Moniz E (1940) Die cerebrale Arteriographie und Phlebographie. In: Bumke O, Foerster O (eds) Handbuch der Neurologie. Springer, Berlin

    Google Scholar 

  22. Platzer W (1957) Die Variabilität der Arteria carotis interna im Sinus cavernosus in Beziehung zur Variabilität der Schädelbasis. Gegenbaurs Morphologisches Jahrbuch 98:227–243

    Google Scholar 

  23. Raju S, Fredericks RK (1987) Carotid siphon stenosis. J Cardiovasc Surg (Torino) 28(6):671–677

    CAS  Google Scholar 

  24. Resnick N, Yahav H, Shay-Salit A, Shushy M, Schubert S, Zilberman LC, Wofovitz E (2003) Fluid shear stress and the vascular endothelium: for better and for worse. Prog Biophys Mol Biol 81(3):177–199

    PubMed  Article  Google Scholar 

  25. Schiefer W, Vetter K (1957) Das zerebrale Angiogramm in den verschiedenen Altersstufen. Zentralblatt für Neurochirurgie 17(4):218–231

    PubMed  CAS  Google Scholar 

  26. Verroust A, Lazarus F (2000) Extracting skeletal curves from 3D scattered data. The Visual Computer 16:15–25

    Article  Google Scholar 

  27. Wechsler LR, Kistler JP, Davis KR, Kaminski MJ (1986) The prognosis of carotid siphon stenosis. Stroke 17(4):714–718

    PubMed  CAS  Google Scholar 

  28. Weninger WJ, Müller GB (1999) The parasellar region of human infants: cavernous sinus topography and surgical approaches. J Neurosurg 90(3):484–490

    PubMed  CAS  Article  Google Scholar 

  29. Weninger WJ, Müller GB, Reiter C, Meng S, Rabl SU (1999) Intimal hyperplasia of the infant parasellar carotid artery: a potential developmental factor in atherosclerosis and SIDS. Circ Res 85(10):970–975

    PubMed  CAS  Google Scholar 

  30. Zhu H, Friedman MH (2003) Relationship between the dynamic geometry and wall thickness of a human coronary artery. Arterioscler Thromb Vasc Biol 23(12):2260–2265

    PubMed  Article  CAS  Google Scholar 

Download references

Acknowledgments

Luciano da F. Costa thank FAPESP (05/00587-5) and CNPq (301303/2006-1) for financial support. Matheus P. Viana thank FAPESP (07/50882-9).

Author information

Affiliations

Authors

Corresponding author

Correspondence to Stefan Meng.

Rights and permissions

Reprints and Permissions

About this article

Cite this article

Meng, S., Geyer, S.H., Costa, L.d.F. et al. Objective characterization of the course of the parasellar internal carotid artery using mathematical tools. Surg Radiol Anat 30, 519 (2008). https://doi.org/10.1007/s00276-008-0366-x

Download citation

  • Received:

  • Accepted:

  • Published:

  • DOI: https://doi.org/10.1007/s00276-008-0366-x

Keywords

  • Blood velocity
  • Carotid artery
  • Cardiovascular diseases
  • Circulation
  • Three dimensional imaging
  • Risk factors