Skip to main content

Preoperative Plasma Fibrinogen is Associated with Lymph Node Metastasis and Predicts Prognosis in Resectable Esophageal Cancer

Abstract

Background

Although it is well known that patients with malignant tumors have abnormal blood coagulation, its clinical significance has not been studied. We investigated the clinicopathological and prognostic impact of plasma fibrinogen, which is the major factor of the coagulation system, in patients with esophageal cancer.

Methods

From February 1995 to December 2006, 100 patients with esophageal cancer who had their plasma fibrinogen measured were enrolled. The associations between plasma fibrinogen, clinicopathological factors, and prognosis were analyzed. A concentration of 2.0–4.0 g/L was defined as normofibrinogenemia, and a concentration higher than 4.0 g/L was described as hyperfibrinogenemia.

Results

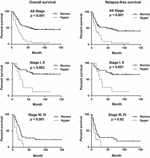
Patients with large, advanced tumors, and lymph node metastasis had significantly higher plasma fibrinogen than those with small, early tumors, and no lymph node metastasis (p < 0.001, p = 0.002, and p = 0.03, respectively). Plasma fibrinogen was associated with not only the existence of lymph node metastasis but also the extension of lymph node metastasis and lymphatic recurrence. Patients with hyperfibrinogenemia had a significantly poor prognosis as compared to those with normofibrinogenemia, regardless of pathological staging. Plasma fibrinogen was an independent risk factor for overall survival and relapse-free survival as well as tumor depth and lymph node metastasis (p = 0.004 and p = 0.031, respectively).

Conclusion

Preoperative plasma fibrinogen is a possible biomarker for the prediction of tumor progression, recurrence pattern, and prognosis for esophageal cancer. Preoperative plasma fibrinogen is also associated with lymph node metastasis and may be helpful in adjusting neo-adjuvant therapy.

This is a preview of subscription content, access via your institution.

Fig. 1
Fig. 2

References

  1. Pennathur A, Gibson MK, Jobe BA, Luketich JD (2013) Oesophageal carcinoma. Lancet 381:400–412

    Article  PubMed  Google Scholar 

  2. Group MRCOCW (2002) Surgical resection with or without preoperative chemotherapy in oesophageal cancer: a randomised controlled trial. Lancet 359:1727–1733

    Article  Google Scholar 

  3. Burmeister BH, Smithers BM, Gebski V et al (2005) Surgery alone versus chemoradiotherapy followed by surgery for resectable cancer of the oesophagus: a randomised controlled phase III trial. Lancet Oncol 6:659–668

    Article  PubMed  Google Scholar 

  4. Bedenne L, Michel P, Bouche O et al (2007) Chemoradiation followed by surgery compared with chemoradiation alone in squamous cancer of the esophagus: FFCD 9102. J Clin Oncol 25:1160–1168

    CAS  Article  PubMed  Google Scholar 

  5. Stahl M, Stuschke M, Lehmann N et al (2005) Chemoradiation with and without surgery in patients with locally advanced squamous cell carcinoma of the esophagus. J Clin Oncol 23:2310–2317

    Article  PubMed  Google Scholar 

  6. Kelsen DP, Winter KA, Gunderson LL et al (2007) Long-term results of RTOG trial 8911 (USA Intergroup 113): a random assignment trial comparison of chemotherapy followed by surgery compared with surgery alone for esophageal cancer. J Clin Oncol 25:3719–3725

    Article  PubMed  Google Scholar 

  7. van Hagen P, Hulshof MC, van Lanschot JJ et al (2012) Preoperative chemoradiotherapy for esophageal or junctional cancer. N Engl J Med 366:2074–2084

    Article  PubMed  Google Scholar 

  8. Ando N, Kato H, Igaki H et al (2012) A randomized trial comparing postoperative adjuvant chemotherapy with cisplatin and 5-fluorouracil versus preoperative chemotherapy for localized advanced squamous cell carcinoma of the thoracic esophagus (JCOG9907). Ann Surg Oncol 19:68–74

    Article  PubMed  Google Scholar 

  9. Nozoe T, Saeki H, Sugimachi K (2001) Significance of preoperative elevation of serum C-reactive protein as an indicator of prognosis in esophageal carcinoma. Am J Surg 182:197–201

    CAS  Article  PubMed  Google Scholar 

  10. Ikeda M, Natsugoe S, Ueno S et al (2003) Significant host- and tumor-related factors for predicting prognosis in patients with esophageal carcinoma. Ann Surg 238:197–202

    PubMed  PubMed Central  Google Scholar 

  11. Shimada H, Nabeya Y, Okazumi S et al (2003) Elevation of preoperative serum C-reactive protein level is related to poor prognosis in esophageal squamous cell carcinoma. J Surg Oncol 83:248–252

    Article  PubMed  Google Scholar 

  12. Crumley AB, McMillan DC, McKernan M et al (2006) An elevated C-reactive protein concentration, prior to surgery, predicts poor cancer-specific survival in patients undergoing resection for gastro-oesophageal cancer. Br J Cancer 94:1568–1571

    CAS  PubMed  PubMed Central  Google Scholar 

  13. Wang LS, Chow KC, Wu CW (1999) Expression and up-regulation of interleukin-6 in oesophageal carcinoma cells by n-sodium butyrate. Br J Cancer 80:1617–1622

    CAS  Article  PubMed  PubMed Central  Google Scholar 

  14. Oka M, Yamamoto K, Takahashi M et al (1996) Relationship between serum levels of interleukin 6, various disease parameters and malnutrition in patients with esophageal squamous cell carcinoma. Cancer Res 56:2776–2780

    CAS  PubMed  Google Scholar 

  15. Davalos D, Akassoglou K (2012) Fibrinogen as a key regulator of inflammation in disease. Semin Immunopathol 34:43–62

    CAS  Article  PubMed  Google Scholar 

  16. Dvorak HF (1987) Thrombosis and cancer. Hum Pathol 18:275–284

    CAS  Article  PubMed  Google Scholar 

  17. Arigami T, Okumura H, Matsumoto M et al (2015) Analysis of the fibrinogen and neutrophil–lymphocyte ratio in esophageal squamous cell carcinoma: a promising blood marker of tumor progression and prognosis. Medicine (Baltimore) 94:e1702

    CAS  Article  PubMed  PubMed Central  Google Scholar 

  18. Takeuchi H, Ikeuchi S, Kitagawa Y et al (2007) Pretreatment plasma fibrinogen level correlates with tumor progression and metastasis in patients with squamous cell carcinoma of the esophagus. J Gastroenterol Hepatol 22:2222–2227

    CAS  Article  PubMed  Google Scholar 

  19. Tuut M, Hense HW (2001) Smoking, other risk factors and fibrinogen levels. Evidence of effect modification. Ann Epidemiol 11:232–238

    CAS  Article  PubMed  Google Scholar 

  20. Zheng TL, Cao K, Liang C et al (2014) Prognostic value of C-reactive protein in esophageal cancer: a meta-analysis. Asian Pac J Cancer Prev 15:8075–8081

    Article  PubMed  Google Scholar 

  21. Lukaszewicz-Zajac M, Mroczko B, Kozlowski M et al (2012) Higher importance of interleukin 6 than classic tumor markers (carcinoembryonic antigen and squamous cell cancer antigen) in the diagnosis of esophageal cancer patients. Dis Esophagus 25:242–249

    CAS  Article  PubMed  Google Scholar 

  22. Matsuda S, Takeuchi H, Fukuda K et al (2014) Clinical significance of plasma fibrinogen level as a predictive marker for postoperative recurrence of esophageal squamous cell carcinoma in patients receiving neoadjuvant treatment. Dis Esophagus 27:654–661

    CAS  Article  PubMed  Google Scholar 

  23. Apte MV, Park S, Phillips PA et al (2004) Desmoplastic reaction in pancreatic cancer: role of pancreatic stellate cells. Pancreas 29:179–187

    CAS  Article  PubMed  Google Scholar 

  24. Bachem MG, Schunemann M, Ramadani M et al (2005) Pancreatic carcinoma cells induce fibrosis by stimulating proliferation and matrix synthesis of stellate cells. Gastroenterology 128:907–921

    CAS  Article  PubMed  Google Scholar 

  25. Hwang RF, Moore T, Arumugam T et al (2008) Cancer-associated stromal fibroblasts promote pancreatic tumor progression. Cancer Res 68:918–926

    CAS  Article  PubMed  PubMed Central  Google Scholar 

  26. Vonlaufen A, Joshi S, Qu C et al (2008) Pancreatic stellate cells: partners in crime with pancreatic cancer cells. Cancer Res 68:2085–2093

    CAS  Article  PubMed  Google Scholar 

  27. Simpson-Haidaris PJ, Rybarczyk B (2001) Tumors and fibrinogen. The role of fibrinogen as an extracellular matrix protein. Ann N Y Acad Sci 936:406–425

    CAS  Article  PubMed  Google Scholar 

  28. Palumbo JS, Kombrinck KW, Drew AF et al (2000) Fibrinogen is an important determinant of the metastatic potential of circulating tumor cells. Blood 96:3302–3309

    CAS  PubMed  Google Scholar 

  29. Palumbo JS, Potter JM, Kaplan LS et al (2002) Spontaneous hematogenous and lymphatic metastasis, but not primary tumor growth or angiogenesis, is diminished in fibrinogen-deficient mice. Cancer Res 62:6966–6972

    CAS  PubMed  Google Scholar 

  30. Palumbo JS, Talmage KE, Massari JV et al (2005) Platelets and fibrin(ogen) increase metastatic potential by impeding natural killer cell-mediated elimination of tumor cells. Blood 105:178–185

    CAS  Article  PubMed  Google Scholar 

Download references

Author information

Affiliations

Authors

Corresponding author

Correspondence to Kohei Wakatsuki.

Ethics declarations

Conflict of interest

The authors declare no conflict of interest.

Rights and permissions

Reprints and Permissions

About this article

Verify currency and authenticity via CrossMark

Cite this article

Wakatsuki, K., Matsumoto, S., Migita, K. et al. Preoperative Plasma Fibrinogen is Associated with Lymph Node Metastasis and Predicts Prognosis in Resectable Esophageal Cancer. World J Surg 41, 2068–2077 (2017). https://doi.org/10.1007/s00268-017-3991-x

Download citation

  • Published:

  • Issue Date:

  • DOI: https://doi.org/10.1007/s00268-017-3991-x

Keywords

  • Overall Survival
  • Esophageal Cancer
  • Lymphatic Invasion
  • Plasma Fibrinogen
  • Negative Likelihood Ratio