Skip to main content

Iowa Stream Nitrate, Discharge and Precipitation: 30-Year Perspective

Abstract

We evaluated Iowa Department of Natural Resources nitrate (NO3–N) and US Geological Survey hydrological data from 1987 to 2016 in nine agricultural watersheds to assess how transport of this pollutant has changed in the US state of Iowa. When the first 15 years of the 30-year water-quality record is compared to the second 15 years (1987–2001 and 2002–2016), three different metrics used to quantify NO3–N transport all indicate levels of this pollutant are increasing. Yield of NO3–N (kg ha−1) averaged 18% higher in the second 15 years, while flow-weighted average concentrations (mg L−1) were 12% higher. We also introduced the new metric of NO3–N yield (g ha−1) per mm precipitation to assess differences between years and watersheds, which averaged 21 g NO3–N ha−1 per 1 mm of precipitation across all watersheds and was 13% higher during the second half of the record. These increases of NO3–N occurred within a backdrop of increasing wetness across Iowa, with precipitation and discharge levels 8 and 16% higher in the last half of the record, indicating how NO3–N transport is amplified by increasing precipitation levels. The implications of this are that in future climate scenarios where rainfall is more abundant, detaining water and increasing evapotranspiration within the cropping system will be necessary to control NO3–N losses. Land use changes that include use of cover crops, living mulches, and perennial plants should be expanded to improve water quality and affect the water balance within agricultural basins.

This is a preview of subscription content, access via your institution.

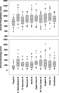
Fig. 1
Fig. 2
Fig. 3
Fig. 4

References

  • Balasubramanian V et al. (2004) Crop, environmental, and management factors affecting nitrogen use efficiency. In: Mosier AR, Syers JK, Freney JR (eds) Agriculture and the nitrogen cycle. Island Press, Washington, DC, p 19–20

    Google Scholar 

  • Baker JL, Campbell KL, Johnson HP, Hanway JJ (1975) Nitrate, phosphorus, and sulfate in subsurface drainage water. J Environ Qual 4:406–412

    CAS  Article  Google Scholar 

  • Basu NB, Destouni G, Jawitz JW, Thompson SE, Loukinova NV, Darracq A, Zanardo S, Yaeger M, Sivapalan M, Rinaldo A, Rao P (2010) Nutrient loads exported from managed catchments reveal emergent biogeochemical stationarity. Geophys Res Lett 37:23

    Article  CAS  Google Scholar 

  • Bowes MJ, Jarvie HP, Halliday SJ, Skeffington RA, Wade AJ, Loewenthal M, Gozzard E, Newman JR, Palmer-Felgate EJ (2015) Characterising phosphorus and nitrate inputs to a rural river using high-frequency concentration–flow relationships. Sci Total Environ 511:608–620

    CAS  Article  Google Scholar 

  • Byun K, Hamlet AF (2018) Projected changes in future climate over the Midwest and Great Lakes region using downscaled CMIP5 ensembles. Int J Climatol. https://doi.org/10.1002/joc.5388

    Article  Google Scholar 

  • Cassman KG, Doberman A, Walters DT (2002) Agroecosystems, nitrogen use, efficiency, and nitrogen management. Ambio 31:132–140

    Article  Google Scholar 

  • Dabney SM, Delgado JA, Reeves DW (2001) Using winter cover crops to improve soil and water quality. Commun Soil Sci Plant Anal 32:1221–1250

    CAS  Article  Google Scholar 

  • David MB, Drinkwater LE, McIsaac GF (2010) Sources of nitrate yields in the Mississippi River Basin. J Environ Qual 39:1657–1667

    CAS  Article  Google Scholar 

  • Davis CA, Ward AS, Burgin AJ, Loecke TD, Riveros-Iregui DA, Schnoebelen DJ, Just CL, Thomas SA, Weber LJ, St Clair MA (2014) Antecedent moisture controls on stream nitrate flux in an agricultural watershed. J Environ Qual 43:1494–1503

    Article  CAS  Google Scholar 

  • Dessau RB, Pipper CB (2008) “R”--project for statistical computing. Ugeskr Laege 170:328–330

    Google Scholar 

  • Dinnes DL, Karlen DL, Jaynes DB, Kaspar TC, Hatfield JL, Colvin TS, Cambardella CA (2002) Nitrogen management strategies to reduce nitrate leaching in tile-drained Midwestern soils. Agron J 94:153–171

    Article  Google Scholar 

  • DMWW (2017) Water quality. http://www.dmww.com/water-quality/. Accessed 13 Oct 2017

  • Dodds WK, Welch EB (2000) Establishing nutrient criteria in streams. J North Am Benthol Soc 19:186–196

    Article  Google Scholar 

  • Donner SD, Coe MT, Lenters JD, Twine TE, Foley JA (2002) Modeling the impact of hydrological changes on nitrate transport in the Mississippi River Basin from 1955 to 1994. Global Biogeochem Cycles 16(3):1043

    Article  CAS  Google Scholar 

  • Dosskey MG (2001) Toward quantifying water pollution abatement in response to installing buffers on crop land. Environ Manag 28:577–598

    CAS  Article  Google Scholar 

  • Goolsby DA, Battaglin BA, Aulenbach BT, Hooper RP (2000) Nitrogen flux and sources in the Mississippi River basin. Sci Total Environ 248:75–86

    CAS  Article  Google Scholar 

  • Goolsby DA, Battaglin WA (2001) Long‐term changes in concentrations and flux of nitrogen in the Mississippi River basin, USA. Hydrol Process 15:1209–1226

    Article  Google Scholar 

  • Hatfield JL, Cruse RM, Tomer MD (2013) Convergence of agricultural intensification and climate change in the Midwestern United States: implications for soil and water conservation. Mar Freshw Res 64:423–435

    Article  Google Scholar 

  • Heinemann JA, Massaro M, Coray DS, Agapito-Tenfen SZ, Wen JD (2014) Sustainability and innovation in staple crop production in the US Midwest. Int J Agric Sustain 12:71–88

    Article  Google Scholar 

  • Howarth RW, Swaney DP, Boyer EW, Marino R, Jaworski N, Goodale C (2006) The influence of climate on average nitrogen export from large watersheds in the Northeastern United States. Biogeochemistry 79:163–186

    CAS  Article  Google Scholar 

  • Iowa DNR (2014) Natural resources geographic information systems library. https://programs.iowadnr.gov/nrgislibx/. Accessed 15 Sep 2017

  • Iowa DNR (2017) Water monitoring. http://www.iowadnr.gov/Environmental-Protection/Water-Quality/Water-Monitoring. Accessed 30 Sep 2017

  • Iowa State University (2012) Iowa nutrient reduction strategy. http://www.nutrientstrategy.iastate.edu/. Accessed 11 Oct 2017

  • Iowa State University (2017) Iowa Environmental Mesonet, IEM Climodat Reports. http://mesonet.agron.iastate.edu/climodat/index.phtml. Accessed 1 Oct 2017

  • Jackson LL (2008) Who “designs” the agricultural landscape? Landsc J 1:23–40

    Article  Google Scholar 

  • Jha M, Pan Z, Takle ES, Gu R (2004) Impacts of climate change on streamflow in the Upper Mississippi River basin: a regional climate model perspective. J Geophys Res Atmos 109:D9

    Article  Google Scholar 

  • Jones CS, Davis CA, Drake CW, Schilling KE, Debionne S, Gilles D, Demir I, Weber, LJ (2018) Iowa statewide stream nitrate load calculated using in-situ sensor network. J Am Water Resour Assoc. http://doi:10.1111/1752-1688.12618

    Article  CAS  Google Scholar 

  • Jones CS, Seeman A, Kyveryga PM, Schilling KE, Kiel A, Chan K-S, Wolter CF (2016) Crop rotation and Raccoon River nitrate. J Soil Water Conserv 71:206–219

    Article  Google Scholar 

  • Jones CS, Kim S-W, Schilling KE (2017a) Use of continuous monitoring to assess stream nitrate flux and transformation patterns. Environ Monit Assess 189:35

    Article  CAS  Google Scholar 

  • Jones CS, Wang B, Schilling KE, Chan K-S (2017b) Nitrate transport and supply limitations quantified using high-frequency stream monitoring and turning point analysis. J Hydrol 549:581–591

    CAS  Article  Google Scholar 

  • Lemke AM, Kirkham KG, Lindenbaum TT, Herbert ME, Tear TH, Perry WL, Herkert JR (2011) Evaluating agricultural best management practices in tile-drained subwatersheds of the Mackinaw River, Illinois. J Environ Qual 40:1215–1228

    CAS  Article  Google Scholar 

  • Li D, Chan K-S, Schilling KE (2013) Nitrate concentration trends in Iowa’s rivers, 1998 to 2012: what challenges await nutrient reduction initiatives? J Environ Qual 42:1822–1828

    CAS  Article  Google Scholar 

  • Libra RD (1998) Nitrate-nitrogen: Iowa’s unintended export. Iowa Geol 23:4–7

    Google Scholar 

  • Loecke TD, Burgin AJ, Riveros-Iregui DA, Ward AS, Thomas SA, Davis CA, St Clair MA (2017) Weather whiplash in agricultural regions drives deterioration of water quality. Biogeochemistry 133:7–15

    CAS  Article  Google Scholar 

  • McIsaac GF, Libra RD (2003) Revisiting nitrate concentrations in the Des Moines River. J Environ Qual 32:2280–2289

    CAS  Article  Google Scholar 

  • Meals DW, Dressing SA, Davenport TE (2010) Lag time in water quality response to best management practices: a review. J Environ Qual 39:85–96

    CAS  Article  Google Scholar 

  • Michalak AM, Anderson EJ, Beletsky D, Boland S, Bosch NS, Bridgeman TB, Chaffin JD, Cho K, Confesor R, Daloğlu I (2013) Record-setting algal bloom in Lake Erie caused by agricultural and meteorological trends consistent with expected future conditions. Proc Natl Acad Sci USA 110:6448–6452

    CAS  Article  Google Scholar 

  • Mueller DK, Helsel DR (1996) Nutrients in the nation’s waters: too much of a good thing? US Government Printing Office, Washington, DC

  • Mulla DJ, Birr AS, Kitchen NR, David MB (2008) Limitations of evaluating the effectiveness of agricultural management practices at reducing nutrient losses to surface water. Final report: Gulf Hypoxia and Local Water Quality Concerns Workshop, Ames, IA. 26–28 September 2005

  • Murphy JC, Hirsch RM, Sprague LA (2013) Nitrate in the Mississippi river and its tributaries, 1980-2010: an update (no. 2013-5169). US Geological Survey, Reston, VA

  • National Agricultural Statistics Service (2018) CropScape and Cropland Data Layer. https://www.nass.usda.gov/Research_and_Science/Cropland/SARS1a.php. Accessed 24 April 2018

  • National Land Cover Database (2018) MRLC. https://www.mrlc.gov/about.php. Accessed 24 April 2018

  • Ochsner TE, Albrecht KA, Schumacher TS, Baker JM, Berkevich RJ (2010) Water balance and nitrate leaching under corn in kura clover living mulch. Agron J 102:1169–1178

    CAS  Article  Google Scholar 

  • Prior JC (1991) Landforms of Iowa. University of Iowa Press, Iowa City, IA

    Google Scholar 

  • Raymond PA, David MB, Saiers JE (2012) The impact of fertilization and hydrology on nitrate fluxes from Mississippi watersheds. Curr Opin Environ Sustain 4:212–218

    Article  Google Scholar 

  • Schilling KE, Libra RD (2000) The relationship of nitrate concentrations in streams to row crop land use in Iowa. J Environ Qual 29:1846–1851

    CAS  Article  Google Scholar 

  • Schilling KE, Zhang Y-K (2004) Baseflow contribution to nitrate-nitrogen export from a large agricultural watershed, USA. J Hydrol 295:305–316

    CAS  Article  Google Scholar 

  • Schilling KE, Wolter CF (2005) Estimation of streamflow, base flow, and nitrate-nitrogen loads in iowa using multiple regression models. J Am Water Resour Assoc 41:1333–1346

    CAS  Article  Google Scholar 

  • Schilling KE, Jha MK, Zhang Y-K, Gassman PW, Wolter CF (2008) Impact of land use and land cover change on the water balance of a large agricultural watershed: historical effects and future directions. Water Resour Res 44(7)

  • Schilling KE, Wolter CF (2009) Modeling nitrate-nitrogen load reduction strategies for the Des Moines River, Iowa using SWAT. Environ Manag 44:671–682

    Article  Google Scholar 

  • Schilling KE, Jindal P, Basu NB, Helmers MJ (2012) Impact of artificial subsurface drainage on groundwater travel times and baseflow discharge in an agricultural watershed, Iowa (USA). Hydrol Process 26:3092–3100

    Article  Google Scholar 

  • Schilling KE, Jones CS, Wolter CF, Liang X, Zhang Y-K, Seeman A, Isenhart T, Schnoebelen D, Skopec M (2017) Variability of nitrate-N load estimation results will make quantifying load reduction strategies difficult. J Soil Water Conserv 72:317–325

    Article  Google Scholar 

  • Singh R, Helmers MJ, Kaleita AL, Takle ES (2009) Potential impact of climate change on subsurface drainage in Iowa’s subsurface drained landscapes. J Irrig Drain Div Am Soc Civ Eng 135:459–466

    Article  Google Scholar 

  • Sinha E, Michalak AM (2016) Precipitation dominates interannual variability of riverine nitrogen loading across the continental United States. Environ Sci Technol 50:12874–12884

    CAS  Article  Google Scholar 

  • Smil V (2002) Nitrogen and food production: proteins for human diets. Ambio 31:126–131

    Article  Google Scholar 

  • Sprague LA, Hirsch RA, Aulenbach BT (2011) Nitrate in the Mississippi river and its tributaries, 1980 to 2008: are we making progress? Environ Sci Technol 45:7209–7216

    CAS  Article  Google Scholar 

  • Tomer MD, Locke MA (2011) The challenge of documenting water quality benefits of conservation practices: a review of USDA-ARS’s conservation effects assessment project watershed studies. Water Sci Technol 64:300–310

    CAS  Article  Google Scholar 

  • Tomer MD, Meek DW, Jaynes DB, Hatfield JL (2003) Evaluation of nitrate nitrogen fluxes from a tile-drained watershed in central Iowa. J Environ Qual 32:642–653

    CAS  Article  Google Scholar 

  • Turner RE, Rabalais NN (1994) Coastal eutrophication near the Mississippi river delta. Nature 368:619–621

    Article  Google Scholar 

  • Turner RE, Rabalais NN (2004) Suspended sediment, C, N, P, and Si yields from the Mississippi river basin. Hydrobiologia 511(1):79–89

    CAS  Article  Google Scholar 

  • USDA (2016) Quick stats. https://quickstats.nass.usda.gov/. Accessed 2 Sep 2017

  • USEPA (1993) Determination of nitrate-nitrite nitrogen by automated colorimetry. https://www.epa.gov/sites/production/files/2015-08/documents/method_353-2_1993.pdf. Accessed 25 Sep 2017

  • USGS (2017) USGS water data for the nation. https://waterdata.usgs.gov/ia/nwis/current/?type=flow. Accessed 28 Sep 2017

  • Villarini G, Scoccimarro E, Gualdi S (2013a) Projections of heavy rainfall over the central United States based on CMIP5 models. Atmos Sci Lett 14(3):200–205

    Article  Google Scholar 

  • Villarini G, Smith JA, Vecchi GA (2013b) Changing frequency of heavy rainfall over the central United States. J Clim 26(1):351–357

    Article  Google Scholar 

  • Villarini G, Jones CS, Schilling KE (2016) Soybean area and baseflow driving nitrate in Iowa’s Raccoon river. J Environ Qual 45:1949–1959

    CAS  Article  Google Scholar 

  • Weyer PJ, Cerhan JR, Kross BC, Hallberg GR, Kantamneni J, Breuer G, Jones MP, Zheng W, Lynch CF (2001) Municipal drinking water nitrate level and cancer risk in older women: the Iowa Women’s Health Study. Epidemiology 12:327–338

    CAS  Article  Google Scholar 

  • Yang X, Jin W (2010) GIS-based spatial regression and prediction of water quality in river networks: a case study in Iowa. J Environ Manag 91:1943–1951

    CAS  Article  Google Scholar 

Download references

Acknowledgements

This publication was prepared with funds from the Iowa Nutrient Research Center. Any opinions, findings, conclusions, or recommendations are the authors and do not necessarily reflect the views of the Iowa Nutrient Research Center or Iowa State University. The authors thank Dan Gilles for his assistance with figure preparation.

Author information

Affiliations

Authors

Corresponding author

Correspondence to Christopher S. Jones.

Ethics declarations

Conflict of Interest

The authors declare that they have no conflict ofinterest.

Rights and permissions

Reprints and Permissions

About this article

Verify currency and authenticity via CrossMark

Cite this article

Jones, C.S., Schilling, K.E., Simpson, I.M. et al. Iowa Stream Nitrate, Discharge and Precipitation: 30-Year Perspective. Environmental Management 62, 709–720 (2018). https://doi.org/10.1007/s00267-018-1074-x

Download citation

  • Received:

  • Accepted:

  • Published:

  • Issue Date:

  • DOI: https://doi.org/10.1007/s00267-018-1074-x

Keywords

  • Nitrate-nitrogen
  • Iowa
  • Agriculture
  • Hypoxia