Skip to main content

Identifying Societal Preferences for River Restoration in a Densely Populated Urban Environment: Evidence from a Discrete Choice Experiment in Central Brussels

Abstract

One of the major challenges facing river restoration in densely populated urban areas has been the disparity between the expectations of policy-makers and societal preferences. This study aimed to elicit public preferences and elucidate underlying sources of preference heterogeneity, using the Zenne River in central Brussels, Belgium, as a case study. A discrete choice experiment was administered to a representative sample of the Brussels population. Five attributes were specified, including water quality, ecological status, hydromorphological features of channels, recreational opportunities, and monetary cost. Our econometric analysis based on mixed logit models revealed that overall public would like to have a more natural river (open and naturalized channel, good water quality, and with rich species diversity), while achieving good water quality was the most preferred attribute. Respondents categorized as male, non-Belgian citizen, or not being a member of an environmental organization constituted an inclination to prefer the status quo. Belgian citizens showed a pronounced preference for good biodiversity, and being a member of an environmental organization could moderate the strong preference for good water quality. This study provided insights into the relative attractiveness of key attributes pertaining to river restoration, in general, and served as a useful input to the ongoing discussion concerning the future plan for the Zenne River in Brussels, specifically. Possible implications also exist for other urban river restorations in the rest of Europe, where the Water Framework Directive has become a major impetus for the expansion of freshwater ecosystem restoration from rural and peri-urban areas to densely populated urban areas. Particularly, the cultural heterogeneity of societal preferences should be tested and accounted for to compare the welfare impacts of river restoration and to facilitate benefit transfer, within and between river basins, in the Water Framework Directive implementation.

This is a preview of subscription content, access via your institution.

Fig. 1
Fig. 2
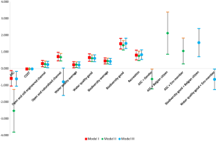
Fig. 3
Fig. 4
Fig. 5

References

  • Abril G, Etcheber H, Borges AV, Frankignoulle M (2000) Excess atmospheric carbon dioxide transported by rivers into the scheldt estuary. Ser IIA Earth Planet Sci 330:761–768

    CAS  Google Scholar 

  • Adamowicz W, Boxall P, Williams M, Louviere J (1998) Stated preference approaches for measuring passive use values: choice experiments and contingent valuation. Am J Agric Econ 80(1):64–75

    Article  Google Scholar 

  • Alberti M, Marzluff JM (2004) Ecological resilience in urban ecosystems: linking urban patterns to human and ecological functions. Urban Ecosyst 7:241–265

    Article  Google Scholar 

  • Andreopoulos D, Damigos D, Comiti F, Fisher C (2015) Estimating the non-market benefits of climate change adaptation of river ecosystem services: a choice experiment application in Aoos basin, Greece. Environ Sci Policy 45:92–103

    Article  Google Scholar 

  • Antrop M (2004) Landscape change and the urbanization process in Europe. Landsc Urban Plan 67:9–26

    Article  Google Scholar 

  • Bae H (2011) Urban stream restoration in Korea: design considerations and residents’ willingness to pay. Urban For Urban Green 10:119–126

    Article  Google Scholar 

  • Barka B, Katz D (2015) Valuing instream and riparian aspects of stream restoration – A willingness to tax approach. Land Use Policy 45:204–214

    Article  Google Scholar 

  • Bateman IJ, Day BH, Jones AP, Jude S (2009) Reducing gain–loss asymmetry: a virtual reality choice experiment valuing land use change. J Environ Econ Manage 58:106–118

    Article  Google Scholar 

  • Bateman IJ et al. (2011) Making benefit transfers work: deriving and testing principles for value transfers for similar and dissimilar sites using a case study of the non-market benefits of water quality improvements across Europe. Environ Resour Econ 50(3):365–387

    Article  Google Scholar 

  • Bech M, Gyrd‐Hansen D (2005) Effects coding in discrete choice experiments. Health Econ 14(10):1079–1083

    Article  Google Scholar 

  • Bennett JW, Adamowicz V (2001) Some fundamentals of environmental choice modeling. In: Bennett J, Blamey R (ed) The choice modelling approach to environmental valuation. Edward Elgar, Cheltenham, p 37–69

    Google Scholar 

  • Bennett SJ et al. (2011) The evolving science of stream restoration. In: Simon A, Bennett SJ, Castro JM (ed) Stream restoration in dynamic fluvial systems: Scientific approaches, analyses, and tools. American Geophysical Union, Washington DC, p 1–8

    Google Scholar 

  • Bergmann A, Hanley N, Wright R (2006) Valuing the attributes of renewable energy investments. Energy Policy 34:1004–1014

    Article  Google Scholar 

  • Bernhardt ES, Palmer MA (2007) Restoring streams in an urbanizing world. Freshw Biol 52(4):738–751

    Article  Google Scholar 

  • Bernhardt ES et al. (2005) Synthesizing U.S. river restoration efforts. Science 308:636–637

    CAS  Article  Google Scholar 

  • Birol E, Karousakis K, Koundouri P (2006) Using a choice experiment to account for preference heterogeneity in wetland attributes: the case of Cheimaditida wetland in Greece. Ecol Econ 60(1):145–156

    Article  Google Scholar 

  • Birol E, Koundouri P (2008) Choice experiments informing environmental policy: a european perspective. Edward Elgar, Cheltenham

    Book  Google Scholar 

  • Bliem M, Getzner M, Rodiga-Laßnig P (2012) Temporal stability of individual preferences for river restoration in Austria using a choice experiment. J Environ Manage 103:65–73

    Article  Google Scholar 

  • Bliemer MC, Rose JM (2010) Construction of experimental designs for mixed logit models allowing for correlation across choice observations. Transp Res Part B 44(6):720–734

    Article  Google Scholar 

  • Börger T (2015) Are fast responses more random? Testing the effect of response time on scale in an online choice experiment. Environ Resour Econ 65:389–413

    Article  Google Scholar 

  • Börger T, Hattam C, Burdon D, Atkins JP, Austen MC (2014) Valuing conservation benefits of an offshore marine protected area. Ecol Econ 108:229–241

    Article  Google Scholar 

  • Boxall PC, Adamowicz WL (2002) Understanding heterogeneous preferences in random utility models: a latent class approach. Environ Resour Econ 23(4):421–446

    Article  Google Scholar 

  • Boxall P, Adamowicz WL, Moon A (2009) Complexity in choice experiments: choice of the status quo alternative and implications for welfare measurement. Aust J Agric Resour Econ 53(4):503–519

    Article  Google Scholar 

  • Boyle KJ, Özdemir S (2009) Convergent validity of attribute-based, choice questions in stated-preference studies. Environ Resour Econ 42:247–264

    Article  Google Scholar 

  • Brion N, Servais P, Bauwens W, Verbanck M (2012) Past and present chemical and microbiological quality of the Zenne River: impact of the Brussels’ sewage management. In: Wynants M, Nuyttens G (ed) Bridges over troubled waters. Veupress, Brussels, p 251–264

    Google Scholar 

  • Brouwer R, Martin-Ortega J, Berbel J (2010) Spatial preference heterogeneity: a choice experiment. Land Econ 86:552–568

    Article  Google Scholar 

  • Bryman A (2008) Social research methods. Oxford University Press, Oxford

    Google Scholar 

  • Campbell D, Hutchinson WG, Scarpa R (2008) Incorporating discontinuous preferences into the analysis of discrete choice experiments. Environ Resour Econ 41(3):401–417

    Article  Google Scholar 

  • Can Ö, Alp E (2012) Valuation of environmental improvements in a specially protected marine area: A choice experiment approach in Göcek Bay, Turkey. Sci Total Environ 439:291–298

    CAS  Article  Google Scholar 

  • Cappuyns V, Swennen R (2007) Classification of alluvial soils according to their potential environmental risk: a case study for Belgian catchments. J Environ Monit 9:319–328

    CAS  Article  Google Scholar 

  • Carlsson F, Frykblom P, Liljenstolpe C (2003) Valuing wetland attributes: an application of choice experiments. Ecol Econ 47(1):95–103

    Article  Google Scholar 

  • Carson RT (1997) Contingent valuation surveys and tests of insensitivity to scope. In: Kopp RJ, Pommerhene W, Schwartz N (ed) Determining the value of non-marketed goods: economic, psychological and policy relevant aspects of contingent valuation methods. Kluwer, Boston, p 127–163

    Chapter  Google Scholar 

  • Carson RT (2000) Contingent valuation: a user’s guide. Environ Sci Technol 34:1413–1418

    CAS  Article  Google Scholar 

  • Casagrande DG (1997) The human component of urban wetland restoration. Yale School For Environ Stud Bull 100:254–270

    Google Scholar 

  • Cerda C, Ponce A, Zappi M (2013) Using choice experiments to understand public demand for the conservation of nature: a case study in a protected area of Chile. J Nat Conserv 21(3):143–153

    Article  Google Scholar 

  • Chin A (2006) Urban transformation of river landscapes in a global context. Geomorphology 79:460–487

    Article  Google Scholar 

  • Che Y, Li W, Shang Z, Liu C, Yang K (2014) Residential preferences for river network improvement: an exploration of choice experiments in Zhujiajiao, Shanghai., China. Environ Manage 54:517–530

    Article  Google Scholar 

  • Chen WY, Aertsens J, Liekens I, Broekx S, De Nocker L (2014) Impact of perceived importance of ecosystem services and stated financial constraints on willingness to pay for riparian meadow restoration in Flanders (Belgium). Environ Manage 54:346–359

    Article  Google Scholar 

  • Christensen T, Pedersen AB, Nielsen HO, Mørkbak MR, Hasle RB, Denver S (2011) Determinants of farmers’ willingness to participate in subsidy schemes for pesticide-free buffer zones—a choice experiment study. Ecol Econ 70(8):1558–1564

    Article  Google Scholar 

  • Clifford N (2007) River restoration: paradigms, paradoxes and the urban dimension. Water Sci Technol 7(2):57–68

    Google Scholar 

  • Commission of European Community (2000) Directive 2000/60/EC of the European Parliament and of the Council of 23 October 2000 establishing a framework for the community action in the field of water policy. Off J Eur Union L237:1–72

    Google Scholar 

  • Coutts C (2009) Multiple case studies of the influence of land-use type on the distribution of uses along urban river greenways. J Urban Plan Dev 135:31–38

    Article  Google Scholar 

  • Craps M, Van Rossen E, Prins S, Tailleu T, Bouwen R, Dewulf A (2003) Social learning and water management: lessons from a case study on the Dijle catchment. In: Proceedings of the connections conference on “Active citizenship and multiple identities”, Leuven, 418–429

  • Dachary-Bernard J, Rambonilaza T (2012) Choice experiment, multiple programmes contingent valuation and landscape preferences: how can we support the land use decision making process? Land Use Policy 29:846–854

    Article  Google Scholar 

  • Deason J, Dickey G, Kinnell J, Shabman L (2010) Integrated planning framework for urban river rehabilitation. J Water Res Plan Manage 136(6):688–696

    Article  Google Scholar 

  • Demey T (1990) Bruxelles, Chronique d’une capital en chantier Volume I: Du voûtement de la Senne à la junction du Nord-Midi. Legrain & CFC Editions, Bruxelles

    Google Scholar 

  • de Ayala A, Hoyos D, Mariel P (2015) Suitability of discrete choice experiments for landscape management under the European Landscape Convention. J For Econ 21:79–96

    Article  Google Scholar 

  • de Groot RS, Alkemade R, Braat L, Hein L, Willemen L (2010) Challenges in integrating the concept of ecosystem services and values in landscape planning, management and decision making. Ecol Complex 7:260–272

    Article  Google Scholar 

  • De Valck J, Vlaeminck P, Broekx S, Liekens I, Aertsens J, Chen W, Vranken L (2014) Benefits of clearing forest plantations to restore nature? Evidence from a discrete choice experiment in Flanders, Belgium. Landsc Urban Plan 125:65–75

    Article  Google Scholar 

  • Dias V, Belcher K (2015) Value and provision of ecosystem services from prairie wetlands: a choice experiment approach. Ecosyst Serv 15:35–44

    Article  Google Scholar 

  • Dietvorst E (2004) The return of the swallows’ from urban hardship to identity retrieval- the making of a movie as a social integration project in Brussels Couth. City 8:279–288

    Article  Google Scholar 

  • Do TN, Bennett J (2009) Estimating wetland biodiversity values: a choice modelling application in Vietnam’s Mekong River Delta. Environ Dev Econ 14(02):163–186

    Article  Google Scholar 

  • Dufour S, Piégay H (2009) From the myth of a lost paradise to targeted river restoration: forget natural references and focus on human benefits. River Res Appl 25(5):568–581

    Article  Google Scholar 

  • Eden S, Tunstall S (2006) Ecological versus social restoration? How urban river restoration challenges but also fails to challenge the science-policy nexus in the United Kingdom. Environ Plan C 24:661–680

    Article  Google Scholar 

  • Espinosa‐Goded M, Barreiro‐Hurlé J, Ruto E (2010) What do farmers want from agri-environmental scheme design? A choice experiment approach. J Agric Econ 61(2):259–273

    Article  Google Scholar 

  • European Commission (2000) Directive 2000/60/EC, Establishing a framework for community action in the field of water policy. Off J Eur Commun L 327:1–71. Brussels

    Google Scholar 

  • European Union Directive (2006) Concerning the management of bathing water quality. Off J Eur Union 64:37–51

    Google Scholar 

  • Feld CK et al. (2011) From natural to degraded rivers and back again: a test of restoration ecology theory and practice. Adv Ecol Res 44:119–209

    Article  Google Scholar 

  • Findlay SJ, Taylor MP (2006) Why rehabilitate urban river systems? Area 38(3):312–325

    Article  Google Scholar 

  • Foster V, Mourato S (2003) Elicitation format and sensitivity to scope. Environ Resour Econ 24:141–160

    Article  Google Scholar 

  • García-Llorente M, Martín-López B, Nunes PALD, Castro AJ, Montes C (2012) A choice experiment study for land-use scenarios in semi-arid watershed environments. J Arid Environ 87:219–230

    Article  Google Scholar 

  • Garnier J et al. (2013) Modeling historical changes in nutrient delivery and water quality of the Zenne River (1790s–2010): the role of land use, waterscape and urban wastewater management. J Mar Syst 128:62–76

    Article  Google Scholar 

  • Gleick PH (2003) Global freshwater resources: soft-path solutions for the 21st century. Science 302:1524–1528

    CAS  Article  Google Scholar 

  • Glenk K (2011) Using local knowledge to model asymmetric preference formation in willingness to pay for environmental services. J Environ Manage 92:531–541

    Article  Google Scholar 

  • Goos P (2002) The optimal design of blocked and split-plot experiments. Springer, New York

    Book  Google Scholar 

  • Greene WH, Hensher DA (2007) Heteroscedastic control for random coefficients and error components in mixed logit. Transp Res E 43(5):610–623

    Article  Google Scholar 

  • Greenlaw C, Brown-Welty S (2009) A comparison of web-based and paper-based survey methods: testing assumptions of survey mode and response cost. Eval Rev 33(5):464–480

    Article  Google Scholar 

  • Gregory KJ, Chin A (2002) Urban stream channel hazards. Area 34:312–321

    Article  Google Scholar 

  • Groffman PM et al. (2003) Down by the riverside: urban riparian ecology. Front Ecol Environ 1:315–321

    Article  Google Scholar 

  • Gsottbauer E, van den Bergh JCJM (2011) Environmental policy theory given bounded rationality and other-regarding preferences. Environ Resour Econ 49:263–304

    Article  Google Scholar 

  • Hanley N, Wright RE, Adamowicz W (1998) Using choice experiments to value the environment. Environ Resour Econ 11:413–428

    Article  Google Scholar 

  • Hanley N, Mourato S, Wright RE (2001) Choice modelling approaches: a superior alternative for environmental valuation? J Econ Surv 15:435–462

    Article  Google Scholar 

  • Hanley N, Colombo S, Tinch D, Black A, Aftab A (2006a) Estimating the benefits of water quality improvements under the water framework directive: are benefits transferable? Eur Rev Agric Econ 33(3):391–413

    Article  Google Scholar 

  • Hanley N, Wright RE, Alvarez-Farizo B (2006b) Estimating the economic value of improvements in river ecology using choice experiments: an application to the water framework directive. J Environ Manage 78(2):183–193

    Article  Google Scholar 

  • Hensher DA (2010) Hypothetical bias, choice experiments and willingness to pay. Transp Res B 44:735–752

    Article  Google Scholar 

  • Hensher DA, Greene WH (2003) The mixed logit model: the state of practice. Transportation 30:133–176

    Article  Google Scholar 

  • Hensher DA, Rose JM, Greene WH (2005) Applied choice analysis: a primer. Cambridge University Press, Cambridge

    Book  Google Scholar 

  • Hering D et al. (2010) The European water framework directive at the age of 10: a critical review of the achievements with recommendations for the future. Sci Total Environ 408(19):4007–4019

    CAS  Article  Google Scholar 

  • Hope RA (2006) Evaluating water policy scenarios against the priorities of the rural poor. World Dev 34:167–179

    Article  Google Scholar 

  • Horne P (2006) Forest owners’ acceptance of incentive based policy instruments in forest biodiversity conservation—a choice experiment based approach. Silva Fennica 40(1):169–178

    Article  Google Scholar 

  • Hoyos D (2010) The state of the art of environmental valuation with discrete choice experiments. Ecol Econ 69:1595–1603

    Article  Google Scholar 

  • Hynes S, Hanley N, Scarpa R (2008) Effects on welfare measures of alternative means of accounting for preference heterogeneity in recreational demand models. Am J Agric Econ 90:1011–1027

    Article  Google Scholar 

  • Ives CD, Kendal D (2013) Values and attitudes of the urban public towards peri-urban agricultural land. Land Use Policy 34:80–90

    Article  Google Scholar 

  • Jones S, Hensher DA (2004) Predicting firm financial distress: a mixed logit model. Acc Rev 79(4):1011–1038

    Article  Google Scholar 

  • Kaika M (2003) The water framework directive: a new directive for a changing social, political and economic European framework. Eur Plan Stud 11(3):299–316

    Article  Google Scholar 

  • Kenter JO, Hyde T, Christie M, Fazey I (2011) The importance of deliberation in valuing ecosystem services in developing countries—evidence from the Solomon Islands. Global Environ Change 21(2):505–521

    Article  Google Scholar 

  • Kondolf GM, Yang CN (2008) Planning river restoration projects: social and cultural dimensions. In: Darby S, Sear D (ed) River restoration: managing the uncertainty in restoring physical habitat. Wiley, Chichester, p 43–60

    Google Scholar 

  • Kosenius A-K, Markku O (2015) Ecosystem benefits from coastal habitats-a three-country choice experiment. Mar Policy 58:15–27

    Article  Google Scholar 

  • Kotchen MJ, Reiling SD (2000) Environmental attitudes, motivations, and contingent valuation of nonuse values: a case study involving endangered species. Ecol Econ 32:93–107

    Article  Google Scholar 

  • Lancaster K (1966) A new approach to consumer theory. J Polit Econ 74:132–157

    Article  Google Scholar 

  • Lancsar E, Louviere J (2006) Deleting ‘irrational’ responses from discrete choice experiments: a case of investigating or imposing preferences? Health Econ 15(8):797–811

    Article  Google Scholar 

  • Lancsar E, Louviere J (2008) Conducting discrete choice experiments to inform healthcare decision making. Pharmacoeconomics 26(8):661–677

    Article  Google Scholar 

  • Laurans Y, Rankovic A, Billé E, Pirard R, Mermet L (2013) Use of ecosystem services economic valuation for decision making: questioning a literature blindspot. J Environ Manage 119:208–219

    Article  Google Scholar 

  • Le HM, Petrovic D, Verbanck MA (2014) The semi-sewer river: hydraulic backwater effects and combined sewer overflow reverse flows in Central Brussels reduce deoxygenation impact further downstream. Water Sci Technol 69:903–908

    CAS  Article  Google Scholar 

  • Leite Ribeiro M, Blanckaert K, Roy AG, Schleiss AJ (2012) Hydromorphological implications of local tributary widening for river rehabilitation. Water Resour Res 48:W10528

    Article  Google Scholar 

  • Liao, K (2012). A theory on urban resilience to floods-a basis for alternative planning practices. Ecol Soc, 17, 48. doi:10.5751/ES-05231-170448

  • Liekens, I, et al. (2009). International Scheldt Basin, Aquamoney case study report. RMA/2009/R/138

  • Liekens I et al. (2013) Developing a value function for nature development and land use policy in Flanders, Belgium. Land Use Policy 30:549–559

    Article  Google Scholar 

  • Lourenço-Gomes L, Costa Pinto LM, Rebelo J (2013) Using choice experiments to value a world cultural heritage site: reflections on the experimental design. J Appl Econ 16:303–332

    Article  Google Scholar 

  • Louviere J, Hensher D, Swait J (2000) Stated choice methods, analysis and application. Cambridge University Press, Cambridge

    Book  Google Scholar 

  • Marsh D, Mkwara L, Scarpa R (2011) Do respondents’ perceptions of the status quo matter in non-market valuation with choice experiments? An application to New Zealand freshwater streams. Sustainability 3(9):1593–1615

    Article  Google Scholar 

  • Martin-Ortega J, Berbel J (2010) Using multi-criteria analysis to explore non-market monetary values of water quality changes in the context of the water framework directive. Sci Total Environ 408(19):3990–3997

    CAS  Article  Google Scholar 

  • Martínez-Paz J, Pellicer-Martínez F, Colino J (2014) A probabilistic approach for the socioeconomic assessment of urban river rehabilitation projects. Land Use Policy 36:468–477

    Article  Google Scholar 

  • Masatlioglu Y, Ok EA (2005) Rational choice with status quo bias. J Econ Theory 121(1):1–29

    Article  Google Scholar 

  • McFadden D (1974) Conditional logit analysis of qualitative choice behavior. In: Zarembka P (ed) Frontiers in econometrics. Academic Press, New York, p 105–142

    Google Scholar 

  • McFadden D, Train K (2000) Mixed MNL models for discrete response. J Appl Econ 15:447–470

    Article  Google Scholar 

  • McFadden D (2001) Economic choices. Am Econ Rev 91:351–378

    Article  Google Scholar 

  • Meyerhoff J, Liebe U (2009) Status quo effect in choice experiments: empirical evidence on attitudes and choice task complexity. Land Econ 85(3):515–528

    Article  Google Scholar 

  • Meyerhoff J, Liebe U, Hartje V (2009) Benefits of biodiversity enhancement of nature-oriented silviculture: evidence from two choice experiments in Germany. J For Econ 15(1):37–58

    Article  Google Scholar 

  • Meyerhoff J, Glenk K (2015) Learning how to choose—effects of instructional choice sets in discrete choice experiments. Resour Energy Econ 41:122–142

    Article  Google Scholar 

  • Meyerhoff J, Oehlmann M, Weller P (2015) The influence of design dimensions on stated choices in an environmental context. Environ Resour Econ 61:385–407

    Article  Google Scholar 

  • Miguez MG, Mascarenhas FCB, de Magalhaes LPC, D’Alterio CFV (2009) Planning and design of urban flood control measures: assessing effects combination. J Urban Plann Dev 135:100–109

    Article  Google Scholar 

  • Miller S, Tait P, Saunders C (2015) Estimating indigenous cultural values of freshwater: a choice experiment approach to Māori values in New Zealand. Ecol Econ 118:207–214

    Article  Google Scholar 

  • Milon JW, Scrogin D (2006) Latent preferences and valuation of wetland ecosystem restoration. Ecol Econ 56(2):162–175

    Article  Google Scholar 

  • Mørkbak MR, Olsen SB, Campbell D (2014) Behavioral implications of providing real incentives in stated choice experiments. J Econ Psychol 45:102–116

    Article  Google Scholar 

  • Morrison MD, Bennett JW, Blamey RK, Louviere J (2002) Choice modelling and tests of benefit transfer. Am J Agric Econ 84:161–170

    Article  Google Scholar 

  • Nakamura K, Tockner K, Amano K (2006) River and wetland restoration: lessons from Japan. BioScience 56(5):419–429

    Article  Google Scholar 

  • Nilsson C, Jansson R, Malmqvist B, Naiman RJ (2007) Restoring riverine landscapes: the challenge of identifying priorities, reference states, and techniques. Ecol Soc 12:16, http://www.ecologyandsociety.org/vol12/iss1/art16/

    Article  Google Scholar 

  • Olsen SB (2009) Choosing between internet and mail survey modes for choice experiment surveys considering non-market goods. Environ Resour Econ 44(4):591–610

    Article  Google Scholar 

  • Ouattara NK, Garcia-Armisen T, Anzil A, Brion N, Servais P (2014) Impact of wastewater release on the faecal contamination of a small urban river, the Zenne River in Brussels (Belgium). Water Air Soil Pollut 225:2043. doi:10.1007/s11270-014-2043-5

    Article  CAS  Google Scholar 

  • Palmer MA et al. (2005) Standards for ecologically successful river restoration. J Appl Ecol 42(2):208–217

    Article  Google Scholar 

  • Palmer MA, Hondula KL, Koch BJ (2014) Ecological restoration of streams and rivers: shifting strategies and shifting goals. Annu Rev Ecol Syst 45:247–269

    Article  Google Scholar 

  • Paul MJ, Meyer JL (2001) Streams in the urban landscape. Annu Rev Ecol Syst 32:333–365

    Article  Google Scholar 

  • Perni Á, Martínez‐Paz J, Martínez‐Carrasco F (2012) Social preferences and economic valuation for water quality and river restoration: the Segura River, Spain. Water Environ J 26(2):274–284

    Article  Google Scholar 

  • Petrolia DR, Interis MG, Hwang J (2014) America’s wetland? A national survey of willingness to pay for restoration of Louisiana’s coastal wetlands. Mar Resour Econ 29:17–37

    Article  Google Scholar 

  • Pouta E (2004) Attitude and belief questions as a source of context effect in a contingent valuation survey. J Econ Psychol 25:229–242

    Article  Google Scholar 

  • Pouta E (2005) Sensitivity to scope of environmental regulation in contingent valuation of forest cutting practices in Finland. For Policy Econ 7(4):539–550

    Article  Google Scholar 

  • Rambonilaza M, Dachary-Bernard J (2007) Land-use planning and public preferences: What can we learn from choice experiment method? Landsc Urban Plan 83(4):318–326

    Article  Google Scholar 

  • Riquier J, Piégay H, Michalková MŠ (2015) Hydromorphological conditions in eighteen restored floodplain channels of a large river: linking patterns to processes. Freshw Biol 60:1085–1103

    Article  Google Scholar 

  • Rose JM, Bliemer CJ (2009) Constructing efficient stated choice experimental designs. Transp Rev 29:587–617

    Article  Google Scholar 

  • Scarpa R, Ferrini S, Willis K (2005) Performance of error component models for status-quo effects in choice experiments. In: Scarpa R, Alnerini A (ed) Applications of simulation methods in environmental and resource economics. Springer, New York, p 247–273

    Chapter  Google Scholar 

  • Scarpa R, Campbell D, Hutchinson WG (2007a) Benefit estimates for landscape improvements: sequential Bayesian design and respondents’ rationality in a choice experiment. Land Econ 83:617–634

    Article  Google Scholar 

  • Scarpa R, Willis KG, Acutt M (2007b) Valuing externalities from water supply: status quo, choice complexity and individual random effects in panel kernel logit analysis of choice experiments. J Environ Plan Manag 50(4):449–466

    Article  Google Scholar 

  • Scarpa R, Rose J (2008) Design efficiency for non-market valuation with choice modelling: how to measure it, what to report and why. Aust J Agric Resour Econ 53:253–282

    Article  Google Scholar 

  • Schaafsma M, Brouwer R, Liekens I, De Nocker L (2014) Temporal stability of preferences and willingness to pay for natural areas in choice experiments: a test–retest. Resour Energy Econ 38:243–260

    Article  Google Scholar 

  • Shoyama K, Managi S, Yamagata Y (2013) Public preferences for biodiversity conservation and climate-change mitigation: a choice experiment using ecosystem services indicators. Land Use Policy 34:282–293

    Article  Google Scholar 

  • Siikamäki J, Larson DM (2015) Finding sensitivity to scope in nonmarket valuation. J Appl Econ 30(2):333–349

    Article  Google Scholar 

  • Smith B, Clifford NJ, Mant J (2014) Analysis of UK river restoration using broad-scale data sets. Water and Environ J 28:490–501

    Article  Google Scholar 

  • Street DJ, Burgess L (2007) The construction of optimal stated choice experiments, theory and methods. Wiley, New Jersey

    Book  Google Scholar 

  • Torres C, Hanley N, Riera A (2011) How wrong can you be? Implications of incorrect utility function specification for welfare measurement in choice experiments. J Environ Econ Manag 62:111–121

    Article  Google Scholar 

  • Train KE (2009) Discrete choice methods with simulation. Cambridge University Press, Cambridge

    Book  Google Scholar 

  • Tunstall SM, Tapsell SM, Eden S (1999) How stable are public responses to changing local environments? A ‘before’ and ‘after’ case study of river restoration. J Environ Plan Manage 42(4):527–545

    Article  Google Scholar 

  • Upton V, Dhubháin ÁN, Bullock C (2012) Preferences and values for afforestation: the effects of location and respondent understanding on forest attributes in a labelled choice experiment. For Policy Econ 23:17–27

    Article  Google Scholar 

  • van Zanten BT, Zasada I, Koetse MJ, Ungaro F, Häfner K, Verburg PH (2016) A comparative approach to assess the contribution of landscape features to aesthetic and recreational values in agricultural landscapes. Ecosyst Serv 17:87–98

    Article  Google Scholar 

  • Violin CR et al. (2011) Effects of urbanization and urban stream restoration on the physical and biological structure of stream ecosystems. Ecol Appl 21(6):1932–1949

    Article  Google Scholar 

  • Von Haefen RH, Massey DM, Adamowicz WL (2005) Serial nonparticipation in repeated discrete choice models. Am J Agric Econ 87(4):1061–1076

    Article  Google Scholar 

  • Vörösmarty CJ et al. (2010) Global threats to human water security and river biodiversity. Nature 467:555–561

    Article  CAS  Google Scholar 

  • Walsh CJ, Roy AH, Feminella JW, Cottingham PD, Groffman PM, Morgan RP (2005) The urban stream syndrome: current knowledge and the search for a cure. J N Am Benthol Soc 24(3):706–723

    Article  Google Scholar 

  • Walton BM, Salling M, Wyles J, Wolin J (2007) Biological integrity in urban streams: toward resolving multiple dimensions of urbanization. Landsc Urban Plan 79(1):110–123

    Article  Google Scholar 

  • Weber MA, Stewart S (2009) Public values for river restoration options on the Middle Rio Grande. Restor Ecol 17(6):762–771

    Article  Google Scholar 

  • Weber MA, Ringold PL (2015) Priority river metrics for residents of an urbanized arid watershed. Landsc Urban Plan 133:37–52

    Article  Google Scholar 

  • Wharton G, Gilvear DJ (2007) River restoration in the UK: meeting the dual needs of the European Union water framework directive and flood defence? Int J River Basin Manag 5(2):143–154

    Article  Google Scholar 

  • Wolter C, Lorenz S, Scheunig S, Lehmann N, Schomaker C, Nastase A, García de Jalón D, Marzin A, Lorenz A, Kraková M, Brabec K, Noble R (2013) Review on ecological response to hydromorphological degradation and restoration, Deliverable D1.3 of EU FP7 REFORM project

  • Yoo SH, Kwak SJ, Lee JS (2008) Using a choice experiment to measure the environmental costs of air pollution impacts in Seoul. J Environ Manage 86(1):308–318

    CAS  Article  Google Scholar 

  • Zhou H, Shi P, Wang J, Yu D, Gao L (2011) Rapid urbanization and implications for river ecological services restoration: case study in Shenzhen, China. J Urban Plan Dev 137:121–132

    Article  Google Scholar 

Download references

Acknowledgements

The authors are very grateful for the General Research Fund from the Research Grants Council of the Hong Kong Special Administrative Region (HKU759413H). We also thank Environment Brussels for their valuable input on the project and the survey.

Author information

Affiliations

Authors

Corresponding author

Correspondence to Wendy Y. Chen.

Ethics declarations

Conflict of Interest

The authors declare that they have no competing interests.

Electronic supplementary material

Rights and permissions

Reprints and Permissions

About this article

Verify currency and authenticity via CrossMark

Cite this article

Chen, W.Y., Liekens, I. & Broekx, S. Identifying Societal Preferences for River Restoration in a Densely Populated Urban Environment: Evidence from a Discrete Choice Experiment in Central Brussels. Environmental Management 60, 263–279 (2017). https://doi.org/10.1007/s00267-017-0885-5

Download citation

  • Received:

  • Accepted:

  • Published:

  • Issue Date:

  • DOI: https://doi.org/10.1007/s00267-017-0885-5

Keywords

  • Societal preference
  • Urban river restoration
  • Discrete choice experiment
  • Urban environment
  • Brussels