Skip to main content

Urban Domestic Gardens (XIV): The Characteristics of Gardens in Five Cities

Abstract

Domestic gardens make substantial contributions to the provision of green space in urban areas. However, the ecological functions provided by such gardens depend critically on their configuration and composition. Here, we present the first detailed analysis of variation in the composition of urban gardens, in relation to housing characteristics and the nature of the surrounding landscape, across different cities in the United Kingdom. In all five cities studied (Belfast, Cardiff, Edinburgh, Leicester, and Oxford), garden size had an overwhelming influence on garden composition. Larger gardens supported more of the land-use types recorded, in greater extents, and were more likely to contain particular features, including tall trees and mature shrubs, areas of unmown grass and uncultivated land, vegetable patches, ponds, and composting sites. The proportional contribution of non-vegetated land-uses decreased as garden area increased. House age was less significant in determining the land-use within gardens, although older houses, which were more likely to be found further from the urban edge of the city, contained fewer hedges and greater areas of vegetation canopy >2 m in height. Current UK government planning recommendations will ultimately reduce the area of individual gardens and are thus predicted to result in fewer tall trees and, in particular, less vegetation canopy >2 m. This might be detrimental from ecological, aesthetic, social, and economic stand points.

This is a preview of subscription content, access via your institution.

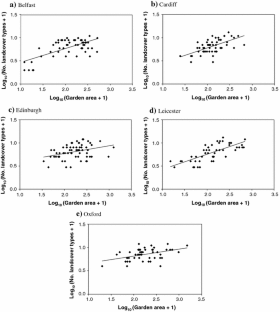
Fig. 1
Fig. 2
Fig. 3

References

  • Anderson LM, Cordell HK (1988) Influence of trees on residential property values in Athens, Georgia (U.S.A): a survey based on actual sales prices. Landscape and Urban Planning 15:153–164

    Article  Google Scholar 

  • Baker PJ, Ansell RJ, Dodds PAA, Webber CE, Harris S (2003) Factors affecting the distribution of small mammals in an urban area. Mammal Review 33:95–100

    Article  Google Scholar 

  • Bonan GB (2000) The microclimates of a suburban Colorado (USA) landscape and implications for planning and design. Landscape and Urban Planning 49:97–114

    Article  Google Scholar 

  • Chocholoušková Z, Pyšek P (2003) Changes in composition and structure of urban flora over 120 years: a case study of the city of Plzeň. Flora 198:366–376

    Google Scholar 

  • Davis BNK (1978) Urbanisation and the diversity of insects. In: Mound LA, Waloff LA (eds) Diversity of insects faunas. Royal Entomological Society of London, London

    Google Scholar 

  • DETR (1999) Planning policy guidance 3: housing. Stationery Office, London

    Google Scholar 

  • DETR (2000) Our towns and cities: the future: full report. Department of Transport and the Regions, London

    Google Scholar 

  • Dickman CR, Doncaster CP (1987) The ecology of small mammals in urban habitats. I. Populations in a patchy environment. Journal of Animal Ecology 56:629–640

    Article  Google Scholar 

  • Edinburgh Biodiversity Partnership (2004) The Edinburgh biodiversity action plan 2004–2009. Edinburgh City Council, Edinburgh

    Google Scholar 

  • Gaston KJ, Smith SM, Thompson K, Warren PH (2004) Gardens and wildlife: the BUGS project. British Wildlife 16:1–9

    Google Scholar 

  • Gaston KJ, Smith RM, Thompson K, Warren PH (2005a) Urban domestic gardens (II): experimental tests of methods for increasing biodiversity. Biodiversity and Conservation 14:395–413

    Article  Google Scholar 

  • Gaston KJ, Warren PH, Thompson K, Smith RM (2005b) Urban domestic gardens (IV): the extent of the resource and its features. Biodiversity and Conservation 14:3327–3349

    Article  Google Scholar 

  • Gaston KJ, Cush P, Ferguson S et al (2007) Improving the contribution of urban gardens for wildlife: some guiding propositions. British Wildlife 18:171–177

    Google Scholar 

  • Hardy PB, Dennis RLH (1999) The impact of urban development on butterflies within a city region. Biodiversity and Conservation 8:1261–1279

    Article  Google Scholar 

  • Henry JA, Dicks SE (1987) Association of urban temperatures with land use and surface materials. Landscape and Urban Planning 14:21–29

  • Hessayon DG, Hessayon JP (1973) The garden books of Europe. Elm Tree Books, London

    Google Scholar 

  • Kühn I, Brandl R, Klotz S (2004) The flora of German cities is naturally species rich. Evolutionary Ecology Research 6:749–764

    Google Scholar 

  • Liu J, Daily GC, Ehrlich PR, Luck GW (2003) Effects of household dynamics on resource consumption and biodiversity. Nature 421:530–533

    Article  CAS  Google Scholar 

  • London Biodiversity Partnership (2005) Habitat action plan; private gardens. London Biodiversity Partnership, London

    Google Scholar 

  • Loram A, Tratalos J, Warren PH, Gaston KJ (2007) Urban domestic gardens (X): the extent & structure of the resource in five major cities. Landscape Ecology 22:601–615

    Article  Google Scholar 

  • Loram A, Warren PH, Gaston KJ (2008) Urban domestic gardens (XII): the richness and composition of the flora in five cities. Journal of Vegetation Science 19:321–330

    Article  Google Scholar 

  • Luttik J (2000) The value of trees, water and open space as reflected by house prices in the Netherlands. Landscape and Urban Planning 48:161–167

    Google Scholar 

  • Marzluff JM, Ewing K (2001) Restoration of fragmented landscapes for the conservation of birds: a general framework and specific recommendations for urbanizing landscapes. Restoration Ecology 9:280–292

    Article  Google Scholar 

  • McCall A, Doar N (1997) The state of Scottish Greenspace. Scottish Natural Heritage

  • McIntyre NE, Rango J, Fagan WF, Faeth SH (2001) Ground arthropod community structure in a heterogeneous urban environment. Landscape and Urban Planning 52:257–274

    Article  Google Scholar 

  • McKinney ML (2002) Urbanization, biodiversity, and conservation. Bioscience 52:883–890

    Article  Google Scholar 

  • Niemelä J (1999a) Ecology and urban planning. Biodiversity and Conservation 8:119–131

    Article  Google Scholar 

  • Niemelä J (1999b) Is there a need for a theory of urban ecology? Urban Ecosystems 3:57–65

    Article  Google Scholar 

  • Pyšek P, Chocholoušková Z, Pyšek A, Jarošík V, Chytrý M, Tichý L (2004) Trends in species diversity and composition of urban vegetation over three decades. Journal of Vegetation Science 15:781–788

    Article  Google Scholar 

  • Rebele, F (1994) Urban ecology and special features of urban ecosystems. Global Ecology and Biogeography Letters 4:173–187

    Article  Google Scholar 

  • Roy DB, Hill MO, Rothery P (1999) Effects of urban land cover on the local species pool in Britain. Ecography 22:507–515

    Google Scholar 

  • Ruszczyk A, De Araujo AM (1992) Gradients in butterfly species diversity in an urban area in Brazil. Journal of the Lepidopterist’s Society 46:255–264

    Google Scholar 

  • Savard J-P, Clergeau P, Mennechez G (2000) Biodiversity concepts and urban ecosystems. Landscape and Urban Planning 48:131–142

    Article  Google Scholar 

  • Smith RM, Gaston KJ, Warren PH, Thompson K (2005) Urban domestic gardens (V): relationships between landcover composition, housing and landscape. Landscape Ecology 20:235–253

    Article  Google Scholar 

  • Smith RM, Gaston KJ, Warren PH, Thompson K (2006a) Urban domestic gardens (VI): environmental correlates of invertebrate species richness. Biodiversity and Conservation 15:2415–2438

    Article  Google Scholar 

  • Smith RM, Gaston KJ, Warren PH, Thompson K (2006b) Urban domestic gardens (VIII): environmental correlates of invertebrate abundance. Biodiversity and Conservation 15:2515–2545

    Article  Google Scholar 

  • Smith RM, Thompson K, Hodgson JG, Warren PH, Gaston KJ (2006c) Urban domestic gardens (IX): composition and richness of the vascular plant flora, and implications for native biodiversity. Biological Conservation 129:312–322

    Article  Google Scholar 

  • The Geoinformation Group (2001) Cities Revealed. The GeoInformation Group, Cambridge

  • Thompson K, Austin KC, Smith RM, Warren PH, Angold PG, Gaston KJ (2003) Urban domestic gardens (I): putting small-scale plant diversity in context. Journal of Vegetation Science 14:71–78

    Article  Google Scholar 

  • Thompson K, Hodgson JG, Smith RM, Warren PH, Gaston KJ (2004) Urban domestic gardens (III): composition and diversity of lawn floras. Journal of Vegetation Science 15:373–378

    Article  Google Scholar 

  • Thompson K, Colsell S, Carpenter J, Smith RM, Warren PH, Gaston KJ (2005) Urban domestic gardens (VII): a preliminary survey of the soil seed banks of private gardens. Seed Science Research 15:133–141

    Article  Google Scholar 

  • UNDP, WB, and WRI. (2000) World resources 2000–2001: people and ecosystems: the fraying web of life. United Nations Development Programme, United Nations Environment Programme, World Bank, World Resources Institute/Elsevier Science, Amsterdam

  • Vickery ML (1995) Gardens: the neglected habitat. In: Pullin AS (ed) Ecology and conservation of butterflies. Chapman and Hall, London, pp 123–134

    Google Scholar 

  • Wood BC, Pullin AS (2002) Persistence of species in a fragmented urban landscape: the importance of dispersal ability and habitat availability for grassland butterflies. Biodiversity and Conservation 11:1451–1468

    Article  Google Scholar 

Download references

Acknowledgments

This work was supported by funding from the Countryside Council for Wales, the Department for Environment, Food and Rural Affairs, English Nature, the Environment and Heritage Service, and the Scottish and Northern Ireland Forum for Environmental Research. Data were kindly supplied by Ordnance Survey. We are grateful to P. Cush, N. Dempsey, R. Hughes, C. Peacock, C. Powell, A. Renshaw, A. Smith, S. Steel and A. Woolley for assistance in contacting garden owners, and to J. Tratalos for analytical assistance.

Author information

Affiliations

Authors

Corresponding author

Correspondence to Alison Loram.

Appendix

Appendix

Table A1 Frequency with which different types of land-use were recorded in domestic gardens in the five cities
Table A2 Relationship between garden area (m2) and the extent of each land-use type (m2) and the proportion of the garden it occupies

Rights and permissions

Reprints and Permissions

About this article

Cite this article

Loram, A., Warren, P.H. & Gaston, K.J. Urban Domestic Gardens (XIV): The Characteristics of Gardens in Five Cities. Environmental Management 42, 361 (2008). https://doi.org/10.1007/s00267-008-9097-3

Download citation

  • Received:

  • Revised:

  • Accepted:

  • Published:

  • DOI: https://doi.org/10.1007/s00267-008-9097-3

Keywords

  • Biodiversity
  • Green spaces
  • Housing
  • Land-use
  • Urbanization
  • Vegetation