Abstract
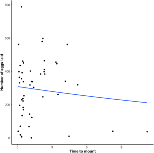
Females choose to mate with certain males to accrue either genetic or direct benefits, and male sexual attractiveness evolved to advertise those benefits to potential mates. Sexually attractive males are expected to be of higher genetic quality and thus possess greater body condition and perhaps greater disease resistance. Positive covariance between male sexual attractiveness and disease resistance should thus provide females an avenue for acquiring genes related to better disease resistance for their offspring. We support the hypothesis that sexually attractive males are in better body condition, but we did not support the hypothesis that they are more disease resistant. Contrary to prediction, the offspring of more attractive males were neither in better body condition nor more disease resistant than the offspring of less attractive males, thus suggesting that females do not gain indirect genetic benefits by mating with attractive males. We supported the hypothesis that females receive more material benefits from mating with more attractive males as females laid more eggs when mated to males having greater sexual attractiveness. The mechanism underlying this effect is unclear at present but could be due to more ejaculatory products (i.e., more sperm or seminal substances) being passed by more attractive mates or due to female processes such as cryptic female choice.
Significance statement
Females are generally the choosier sex when it comes to finding mate. Choosiness benefits females because by mating with a preferred, sexually attractive male, females can accrue better or more material resources that they require for breeding or superior genes for their offspring. We experimentally tested whether and how mating with sexually attractive males benefits female sand crickets (Gryllus firmus). In line with prediction, we found that females laid more eggs when they copulated with attractive males rather than unattractive males. Contrary to prediction, however, our tests revealed that the offspring of attractive males were not significantly more disease resistant or more sexually attractive than the offspring of less attractive males. Not surprisingly, we found little evidence of strong heritability in these traits and that daughters of sexually attractive males were no less fit than sons (and vice versa).



Similar content being viewed by others
Explore related subjects
Discover the latest articles and news from researchers in related subjects, suggested using machine learning.Data availability
The data and R code used in this study are available at the Open Science Framework (https://osf.io/b9egq/).
References
Adamo S (2004a) Estimating disease resistance in insects: phenoloxidase and lysozyme-like activity and disease resistance in the cricket Gryllus texensis. J Insect Physiol 50:209–216. https://doi.org/10.1016/j.jinsphys.2003.11.011
Adamo SA (2004b) How should behavioural ecologists interpret measurements of immunity. Anim Behav 68:1443–1449. https://doi.org/10.1016/j.anbehav.2004.05.005
Adamo SA, Spiteri RJ (2009) He’s healthy, but will he survive the plague? Possible constraints on mate choice for disease resistance. Anim Behav 77:67–78
Adamo SA, Jensen M, Younger M (2001) Changes in lifetime immunocompetence in male and female Gryllus texensis (formerly G. integer): trade-offs between immunity and reproduction. Anim Behav 62:417–425. https://doi.org/10.1006/anbe.2001.1786
Albert A, Otto S (2005) Sexual selection can resolve sex-linked sexual antagonism. Science 310:119–121. https://doi.org/10.1126/science.1115328
Andersson MB (1994) Sexual selection. Princeton University Press, Princeton
Andersson M, Simmons L (2006) Sexual selection and mate choice. Trends Ecol Evol 21:296–302. https://doi.org/10.1016/j.tree.2006.03.015
Arnqvist G (2006) Sensory exploitation and sexual conflict. Philos Trans R Soc Lond Ser B Biol Sci 361:375–386. https://doi.org/10.1098/rstb.2005.1790
Barber I, Arnott S, Braithwaite V et al (2001) Indirect fitness consequences of mate choice in sticklebacks: offspring of brighter males grow slowly but resist parasitic infections. Proc Biol Sci 268:71–76. https://doi.org/10.1098/rspb.2000.1331
Bertram SM, Rook V (2012) Relationship between condition, aggression, signaling, courtship, and egg laying in the field cricket, Gryllus assimilis. Ethology 118:360–372. https://doi.org/10.1111/j.1439-0310.2011.02019.x
Bertram SM, Loranger MJ, Thomson IR, Harrison SJ, Ferguson GL, Reifer ML, Corlett DH, Gowaty PA (2016) Linking mating preferences to sexually selected traits and offspring viability: good versus complementary genes hypotheses. Anim Behav 119:75–86. https://doi.org/10.1016/j.anbehav.2016.06.003
Blount J, Metcalfe N, Birkhead T, Surai P (2003) Carotenoid modulation of immune function and sexual attractiveness in zebra finches. Science 300:125–127. https://doi.org/10.1126/science.1082142
Burley N (1988) The differential-allocation hypothesis: an experimental test. Am Nat 132:611–628. https://doi.org/10.2307/2461924
Bussiére LF, Hunt J, Jennions MD, Brooks R (2006) Sexual conflict and cryptic female choice in the black field cricket, Teleogryllus commodus. Evolution 60:792–800
Chippindale AK, Gibson JR, Rice WR (2001) Negative genetic correlation for adult fitness between sexes reveals ontogenetic conflict in Drosophila. Proc Natl Acad Sci 98:1671–1675
Crnokrak P, Roff DA (1995) Fitness differences associated with calling behaviour in the two wing morphs of male sand crickets, Gryllus firmus. Anim Behav 50:1475–1481
Destephano DB, Brady UE (1977) Prostaglandin and prostaglandin synthetase in the cricket, Acheta domesticus. J Insect Physiol 23:905–911
Dougherty LR (2020) Designing mate choice experiments. Biol Rev 95:759–781. https://doi.org/10.1111/brv.12586
Eberhard W (1996) Female control: sexual selection by cryptic female choice. Princeton University Press, Princeton
Fedorka K, Mousseau T (2004) Female mating bias results in conflicting sex-specific offspring fitness. Nature 429:65–67. https://doi.org/10.1038/nature02492
Foerster K, Coulson T, Sheldon B et al (2007) Sexually antagonistic genetic variation for fitness in red deer. Nature 447:1107–1110. https://doi.org/10.1038/nature05912
Folstad I, Karter AJ (1992) Parasites, bright males, and the immunocompetence handicap. Am Nat 139:603–622. https://doi.org/10.2307/2462500
Gasparini C, Devigili A, Pilastro A (2019) Sexual selection and ageing: interplay between pre- and post-copulatory traits senescence in the guppy. Proc Biol Sci 286:20182873. https://doi.org/10.1098/rspb.2018.2873
Gershman S, Barnett C, Pettinger A et al (2010) Give ‘til it hurts: trade-offs between immunity and male reproductive effort in the decorated cricket, Gryllodes sigillatus. J Evol Biol 23:829–839. https://doi.org/10.1111/j.1420-9101.2010.01951.x
Gray DA, Eckhardt G (2001) Is cricket courtship song condition dependent. Anim Behav 62:871–877. https://doi.org/10.1006/anbe.2001.1825
Gray D, Gabel E, Blankers T, Hennig R (2016) Multivariate female preference tests reveal latent perceptual biases. Proc Biol Sci Lond B 283:20161972. https://doi.org/10.1098/rspb.2016.1972
Hack MA (1997) Assessment strategies in the contests of male crickets, Acheta domesticus (l.). Anim Behav 53:733–747. https://doi.org/10.1006/anbe.1996.0310
Hamilton WD, Zuk M (1982) Heritable true fitness and bright birds: a role for parasites. Science 218:384–387. https://doi.org/10.2307/1688879
Harrison S, Thomson I, Grant C, Bertram S (2013) Calling, courtship, and condition in the fall field cricket, Gryllus pennsylvanicus. PLoS One 8:e60356. https://doi.org/10.1371/journal.pone.0060356
Head M, Hunt J, Jennions M, Brooks R (2005) The indirect benefits of mating with attractive males outweigh the direct costs. PLoS Biol 3:e33. https://doi.org/10.1371/journal.pbio.0030033
Head M, Hunt J, Brooks R (2006) Genetic association between male attractiveness and female differential allocation. Biol Lett 2:341–344. https://doi.org/10.1098/rsbl.2006.0474
Holzer B, Jacot A, Brinkhof MW (2003) Condition-dependent signaling affects male sexual attractiveness in field crickets, Gryllus campestris. Behav Ecol 14:353–359
Hunt J, Sakaluk SK (2014) Mate choice. In: Shuker DM, Simmons LW (eds) The evolution of insect mating systems. Oxford University, Oxford, pp 464–561
Hunt J, Brooks R, Jennions M et al (2004a) High-quality male field crickets invest heavily in sexual display but die young. Nature 432:1024–1027. https://doi.org/10.1038/nature03084
Hunt J, Bussière LF, Jennions MD, Brooks R (2004b) What is genetic quality. Trends Ecol Evol 19:329–333. https://doi.org/10.1016/j.tree.2004.03.035
Jacobs A, Zuk M (2012) Sexual selection and parasites: do mechanisms matter? In: Demas G, Nelson R (eds) Ecoimmunology. Oxford University Press, Oxford, pp 468–496
Jacot A, Scheuber H, Brinkhof MW (2004) Costs of an induced immune response on sexual display and longevity in field crickets. Evolution 58:2280–2286. https://doi.org/10.1098/rspb.2003.2511
Jennions M, Petrie M (1997) Variation in mate choice and mating preferences: a review of causes and consequences. Biol Rev Camb Philos Soc 72:283–327. https://doi.org/10.1017/s0006323196005014
Jones AG, Ratterman NL (2009) Mate choice and sexual selection: what have we learned since Darwin. Proc Natl Acad Sci 106:10001–10008
Judge K, Ting J, Gwynne D (2008) Condition dependence of male life span and calling effort in a field cricket. Evolution 62:868–878. https://doi.org/10.1111/j.1558-5646.2008.00318.x
Katsuki M, Harano T, Miyatake T, Okada K, Hosken DJ (2012) Intralocus sexual conflict and offspring sex ratio. Ecol Lett 15:193–197. https://doi.org/10.1111/j.1461-0248.2011.01725.x
Kelly CD, Jennions M (2016) Sperm competition theory. In: Shackelford TK, Weekes-Shackelford V (eds) Encyclopedia of evolutionary psychological science. Springer, Cham
Kelly CD, Tawes B, Worthington A (2014) Evaluating indices of body condition in two cricket species. Ecol Evol 4:4476–4487. https://doi.org/10.1002/ece3.1257
Kelly CD, Telemeco MS, Bartholomay LC (2015) Are attractive male crickets better able to pay the costs of an immune challenge. PeerJ 3:e1501. https://doi.org/10.7717/peerj.1501
Kelly CD, Stoehr A, Nunn C et al (2018) Sexual dimorphism in immunity across animals: a meta-analysis. Ecol Lett 21:1885–1894. https://doi.org/10.1111/ele.13164
Kirkpatrick M (1985) Evolution of female choice and male parental investment in polygynous species: the demise of the “sexy son”. Am Nat 125:788–810. https://doi.org/10.1086/284380
Kirkpatrick M (1996) Good genes and direct selection in the evolution of mating preferences. Evolution 50:2125–2140. https://doi.org/10.1111/j.1558-5646.1996.tb03603.x
Kirkpatrick M, Barton N (1997) The strength of indirect selection on female mating preferences. Proc Natl Acad Sci U S A 94:1282–1286. https://doi.org/10.1073/pnas.94.4.1282
Kokko H, Brooks R, Jennions MD, Morley J (2003) The evolution of mate choice and mating biases. Proc R Soc Lond B 270:653–664. https://doi.org/10.1098/rspb.2002.2235
Kokko H, Jennions MD, Brooks R (2006) Unifying and testing models of sexual selection. Annu Rev Ecol Evol Syst 37:43–66. https://doi.org/10.1146/annurev.ecolsys.37.091305.110259
Loher W (1979) The influence of prostaglandin e2 on oviposition in Teleogryllus commodus. Entomol Exp Appl 25:107–109
Maroja LS, McKenzie ZM, Hart E et al (2014) Barriers to gene exchange in hybridizing field crickets: the role of male courtship effort and cuticular hydrocarbons. BMC Evol Biol 14:65. https://doi.org/10.1186/1471-2148-14-65
Mautz B, Møller A, Jennions M (2013) Do male secondary sexual characters signal ejaculate quality? A meta-analysis. Biol Rev 88:669–682. https://doi.org/10.1111/brv.12022
Mckean K, Nunney L (2008) Sexual selection and immune function in Drosophila melanogaster. Evolution 62:386–400. https://doi.org/10.1111/j.1558-5646.2007.00286.x
Mcnamara K, Wedell N, Simmons L (2013) Experimental evolution reveals trade-offs between mating and immunity. Biol Lett 9:20130262. https://doi.org/10.1098/rsbl.2013.0262
Møller A, Jennions M (2001) How important are direct fitness benefits of sexual selection. Naturwissenschaften 88:401–415. https://doi.org/10.1007/s001140100255
Moore AJ (1994) Genetic evidence for the “good genes” process of sexual selection. Behav Ecol Sociobiol 35:235–241. https://doi.org/10.2307/4601005
Murray A-M, Cade WH (1995) Differences in age structure among field cricket populations (Orthoptera; Gryllidae): possible influence of a sex-biased parasitoid. Can J Zool 73:1207–1213
Murtaugh MP, Denlinger DL (1987) Regulation of long-term oviposition in the house cricket, Acheta domesticus: roles of prostaglandin and factors associated with sperm. Arch Insect Biochem Physiol 6:59–72
Norris K (1993) Heritable variation in a plumage indicator of viability in male great tits Parus major. Nature 362:537–539. https://doi.org/10.1038/362537a0
Oneal E, Connallon T, Lacey Knowles L (2006) Conflict between direct and indirect benefits of female choice in desert Drosophila. Biol Lett 3:29–32. https://doi.org/10.1098/rsbl.2006.0565
Parker G (1979) Sexual selection and sexual conflict. In: Blum M and Blum N (ed) Sexual selection and reproductive competition in insects. Academic Press, New York, p 123–166
Peig J, Green AJ (2009) New perspectives for estimating body condition from mass/length data: the scaled mass index as an alternative method. Oikos 118:1883–1891. https://doi.org/10.1111/j.1600-0706.2009.17643.x
Peig J, Green AJ (2010) The paradigm of body condition: a critical reappraisal of current methods based on mass and length. Funct Ecol 24:1323–1332. https://doi.org/10.1111/j.1365-2435.2010.01751.x
Peretti AV, Aisenberg A (2015) Cryptic female choice in arthropods. Springer International Publishing, Switzerland
Petrie M (1994) Improved growth and survival of offspring of peacocks with more elaborate trains. Nature 371:598–599. https://doi.org/10.1038/371598a0
Pomiankowski A, Møller AP (1995) A resolution of the lek paradox. Proc R Soc Lond B 260:21–29
R Development Core Team (2013) R: a language and environment for statistical computing
Rantala M, Roff D (2006) Analysis of the importance of genotypic variation, metabolic rate, morphology, sex and development time on immune function in the cricket, Gryllus firmus. J Evol Biol 19:834–843. https://doi.org/10.1111/j.1420-9101.2005.01048.x
Rantala M, Vainikka A, Kortet R (2003) The role of juvenile hormone in immune function and pheromone production trade-offs: a test of the immunocompetence handicap principle. Proc Biol Sci 270:2257–2261. https://doi.org/10.1098/rspb.2003.2472
Raveh S, Sutalo S, Thonhauser KE et al (2014) Female partner preferences enhance offspring ability to survive an infection. BMC Evol Biol 14:14–92. https://doi.org/10.1126/science.179.4068.90
Reinhold K (1998) Sex linkage among genes controlling sexually selected traits. Behav Ecol Sociobiol 44:1–7. https://doi.org/10.1007/s002650050508
Reynolds JD, Gross MR (1992) Female mate preference enhances offspring growth and reproduction in a fish, Poecilia reticulata. Proc R Soc Lond B 250:57–62. https://doi.org/10.1098/rspb.1992.0130
Rice W (2000) Dangerous liaisons. Proc Natl Acad Sci U S A 97:12953–12955. https://doi.org/10.1073/pnas.97.24.12953
Roff D (1993) Evolution of life histories. Chapman and Hall, New York
Roff DA (1998) Effects of inbreeding on morphological and life history traits of the sand cricket, Gryllus firmus. Heredity 81:28–37
Roff D (2000) Trade-offs between growth and reproduction: an analysis of the quantitative genetic evidence. J Evol Biol 13:434–445
Roff DA, Sokolovska N (2004) Extra-nuclear effects on growth and development in the sand cricket Gryllus firmus. J Evol Biol 17:663–671. https://doi.org/10.1046/j.1420-9101.2003.00673.x
Rolff J (2002) Bateman’s principle and immunity. Proc Biol Sci 269:867–872. https://doi.org/10.1098/rspb.2002.1959
Rolff J, Siva-Jothy MT (2002) Copulation corrupts immunity: a mechanism for a cost of mating in insects. Proc Natl Acad Sci 99:9916–9918
Rowe L, Houle D (1996) The lek paradox and the capture of genetic variance by condition dependent traits. Proc R Soc Lond B 263:1415–1421. https://doi.org/10.1098/rspb.1996.0207
Ryder JJ, Siva-Jothy MT (2000) Male calling song provides a reliable signal of immune function in a cricket. Proc R Soc Lond B 267:1171–1175
Savage KE, Hunt J, Jennions MD, Brooks R (2005) Male attractiveness covaries with fighting ability but not with prior fight outcome in house crickets. Behav Ecol 16:196–200. https://doi.org/10.1093/beheco/arh143
Schmid-Hempel P (2011) Evolutionary parasitology. OUP, Oxford
Shackleton MA, Jennions MD, Hunt J (2005) Fighting success and attractiveness as predictors of male mating success in the black field cricket, Teleogryllus commodus: the effectiveness of no-choice tests. Behav Ecol Sociobiol 58:1–8. https://doi.org/10.1007/s00265-004-0907-1
Sheldon BC (1994) Male phenotype, fertility, and the pursuit of extra-pair copulations by female birds. Proc R Soc Lond B 257:25–30
Sheldon BC (2000) Differential allocation: tests, mechanisms and implications. Trends Ecol Evol 15:397–402
Simmons L (1986) Inter-male competition and mating success in the field cricket, Gryllus bimaculatus (de Geer). Anim Behav 34:567–579. https://doi.org/10.1016/s0003-3472(86)80126-9
Simmons LW (1987) Female choice contributes to offspring fitness in the field cricket, Gryllus bimaculatus (de Geer). Behav Ecol Sociobiol 21:313–321. https://doi.org/10.1007/bf00299969
Simmons L (1988) Male size, mating potential and lifetime reproductive success in the field cricket, Gryllus bimaculatus (de Geer). Anim Behav 36:372–379
Simmons LW (1995) Correlates of male quality in the field cricket, Gryllus campestris l.: age, size, and symmetry determine pairing success in field populations. Behav Ecol 6:376–381. https://doi.org/10.1093/beheco/6.4.376
Simmons LW, Zuk M (1994) Age structure of parasitized and unparasitized populations of the field cricket Teleogryllus oceanicus. Ethology 98:333–340
Simmons LW, Zuk M, Rotenberry JT (2005) Immune function reflected in calling song characteristics in a natural population of the cricket Teleogryllus commodus. Anim Behav 69:1235–1241. https://doi.org/10.1016/j.anbehav.2004.09.011
Simmons LW, Thomas ML, Simmons FW, Zuk M (2013) Female preferences for acoustic and olfactory signals during courtship: male crickets send multiple messages. Behav Ecol 24:1099–1107. https://doi.org/10.1093/beheco/art036
Stahlschmidt ZR, Adamo SA (2015) Food-limited mothers favour offspring quality over offspring number: a principal components approach. Funct Ecol 29:88–95. https://doi.org/10.1111/1365-2435.12287
Thornhill R (1983) Cryptic female choice and its implications in the scorpionfly Harpobittacus nigriceps. Am Nat 122:765–788. https://doi.org/10.2307/2460916
Tomkins J, Radwan J, Kotiaho J, Tregenza T (2004) Genic capture and resolving the lek paradox. Trends Ecol Evol 19:323–328. https://doi.org/10.1016/j.tree.2004.03.029
Tregenza T, Wedell N (1997) Definitive evidence for cuticular pheromones in a cricket. Anim Behav 54:979–984. https://doi.org/10.1006/anbe.1997.0500
Tregenza T, Simmons LW, Wedell N, Zuk M (2006) Female preference for male courtship song and its role as a signal of immune function and condition. Anim Behav 72:809–818. https://doi.org/10.1016/j.anbehav.2006.01.019
Van Doorn G (2009) Intralocus sexual conflict. Ann N Y Acad Sci 1168:52–71. https://doi.org/10.1111/j.1749-6632.2009.04573.x
Van Noordwijk AJ, De Jong G (1986) Acquisition and allocation of resources: their influence on variation in life history tactics. Am Nat 128:137–142
Wagner WE Jr, Harper CJ (2003) Female life span and fertility are increased by the ejaculates of preferred males. Evolution 57:2054–2066
Wang X, Zhao Z-J, Cao Y, Cui J, Tang Y, Chen J (2019) Condition dependence of advertisement calls in male African clawed frogs. J Ethol 37:75–81. https://doi.org/10.1007/s10164-018-0570-z
Weatherhead PJ, Robertson RJ (1979) Offspring quality and the polygyny threshold: “the sexy son hypothesis”. Am Nat 113:201–208. https://doi.org/10.1086/283379
Wedell N, Tregenza T (1999) Successful fathers sire successful sons. Evolution 53:620–625. https://doi.org/10.2307/2640798
Weigensberg I, Carriere Y, Roff DA (1998) Effects of male genetic contribution and paternal investment to egg and hatchling size in the cricket, Gryllus firmus. J Evol Biol 11:135–146. https://doi.org/10.1046/j.1420-9101.1998.11020135.x
Welch A, Semlitsch R, Gerhardt H (1998) Call duration as an indicator of genetic quality in male gray tree frogs. Science 280:1928–1930. https://doi.org/10.1126/science.280.5371.1928
Wey TW, Réale D, Kelly CD (2019) Developmental and genetic effects on behavioral and life-history traits in a field cricket. Ecology and Evolution 9:3434–3445
Worthington AM, Kelly C (2016) Direct costs and benefits of multiple mating: are high female mating rates due to ejaculate replenishment. Behav Process 124:115–122. https://doi.org/10.1016/j.beproc.2015.12.009
Worthington A, Jurenka R, Kelly C (2015) Mating for male-derived prostaglandin: a functional explanation for the increased fecundity of mated female crickets? J Exp Biol 218:2720–2727. https://doi.org/10.1242/jeb.121327
Zahavi A (1975) Mate selection - a selection for a handicap. J Theor Biol 53:205–214. https://doi.org/10.1016/0022-5193(75)90111-3
Zeh J, Zeh D (1996) The evolution of polyandry I: intragenomic conflict and genetic incompatibility. Proc R Soc Lond B 263:1711–1717. https://doi.org/10.1098/rspb.1996.0250
Zuk M, Mckean KA (1996) Sex differences in parasite infections: patterns and processes. Int J Parasitol 26:1009–1024. https://doi.org/10.1016/s0020-7519(96)80001-4
Zuk M, Bryant M, Kolluru GR, Mirmovitch V (1996) Trade-offs in parasitology, evolution and behavior. Parasitol Today 12:46–47
Acknowledgments
We thank Jules Mc Cabe Leroux and Ozgur Yoruk for their help with the cricket care.
Author information
Authors and Affiliations
Corresponding author
Additional information
Communicated by D. J Hosken
Publisher’s note
Springer Nature remains neutral with regard to jurisdictional claims in published maps and institutional affiliations.
Rights and permissions
About this article
Cite this article
Kelly, C.D., Adam-Granger, É. Mating with sexually attractive males provides female Gryllus firmus field crickets with direct but not indirect fitness benefits. Behav Ecol Sociobiol 74, 80 (2020). https://doi.org/10.1007/s00265-020-02859-4
Received:
Revised:
Accepted:
Published:
DOI: https://doi.org/10.1007/s00265-020-02859-4

