Abstract
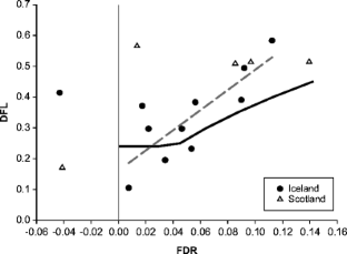
Behaviour on migration was often suggested to be selected for time-minimising strategies. Current optimality models predict that optimal fuel loads at departure from stopover sites should increase with increasing fuel deposition rates. We modified such models for the special case of the east Atlantic crossing of the Northern Wheatear (Oenanthe oenanthe). From optimality theory, we predict that optimal time-minimising behaviour in front of such a barrier should result in a positive correlation between fuel deposition rates and departure fuel loads only above a certain threshold, which is the minimum fuel load (f min) required for the barrier crossing. Using a robust range equation, we calculated the minimum fuel loads for different barrier crossings and predict that time-minimising wheatears should deposit a minimum of 24% fuel in relation to lean body mass (m 0 ) for the sea crossing between Iceland and Scotland. Fuel loads of departing birds in autumn in Iceland reached this value only marginally but showed positive correlation between fuel deposition rate (FDR) and departure fuel load (DFL). Birds at Fair Isle (Scotland) in spring, which were heading towards Iceland or Greenland, were significantly heavier and even showed signs of overloading with fuel loads up to 50% of lean body mass. Departure decisions of Icelandic birds correlated significantly with favourable wind situations when assuming a migration direction towards Spain; however, the low departure fuel loads contradict a direct non-stop flight.




Similar content being viewed by others
Explore related subjects
Discover the latest articles and news from researchers in related subjects, suggested using machine learning.References
Åkesson S, Hedenström A (2000) Wind selectivity of migratory flight departures in birds. Behav Ecol Sociobiol 47:140–144
Åkesson S, Alerstam T, Hedenström A (1996a) Flight initiation of nocturnal passerine migrants in relation to celestial orientation conditions at twilight. J Avian Biol 27:95–102
Åkesson S, Karlsson L, Walinder G, Alerstam T (1996b) Bimodal orientation and the occurrence of temporary reverse bird migration during autumn in south Scandinavia. Behav Ecol Sociobiol 38:293–302
Alerstam T (1981) The course and timing of bird migration. In: Aidley DJ (ed) Animal migration. Society for Experimental Biology Seminar Series, vol 13. Cambridge University Press, Cambridge, pp 9–54
Alerstam T (1990) Bird migration. Cambridge University Press, Cambridge
Alerstam T, Lindström Å (1990) Optimal bird migration: the relative importance of time, energy and safety. In: Gwinner E (ed) Bird migration: the physiology and ecophysiology. Springer, Berlin, Heidelberg, New York, pp 331–335
Alerstam T (2001) Detours in bird migration. J Theor Biol 209:319–331
Alerstam T, Hedenström A (1998) The development of bird migration theory. J Avian Biol 29:343–369
Alerstam T, Hedenström A, Åkesson S (2003) Long-distance migration: evolution and determinants. Oikos 103:247–260
Bairlein F (1998) The European–African songbird migration network: new challenges for large-scale study of bird migration. Biol Conserv Fauna 102:13–27
Bauchinger U, Biebach H (2001) Differential catabolism of muscle protein in Garden Warblers (Sylvia borin): flight and leg muscle act as a protein source during long. distance migration. J Comp Physiol B 171:293–301
Bayly NJ (2006) Optimality in avian migratory fuelling behaviour: a study of a trans-Saharan migrant. Anim Behav 71:173–182
Bruderer B, Boldt A (2001) Flight characteristics of birds: I. radar measurements of speeds. Ibis 143:178–204
Bruderer B, Underhill L, Liechti F (1995) Altitude choice of night migrants in a desert area predicted by meteorological factors. Ibis 137:44–45
Cramp S (1988) Handbook of the birds of Europe, the Middle East and North Africa. Oxford University Press, Oxford
Dänhardt J, Lindström Å (2001) Optimal departure desicions of songbirds from an experimental stopover site and the significance of weather. Anim Behav 62:235–243
Delingat J, Dierschke V, Schmaljohann H, Mendel B, Bairlein F (2006) Daily stopovers as optimal migration strategy in a long-distance migrating passerine: The Northern Wheatear Oenanthe oenanthe. Ardea 94:593–605
Dierschke V, Mendel B, Schmaljohann H (2005) Differential timing of spring migration in Northern Wheatears: hurried males or weak females? Behav Ecol Sociobiol 57:470–480
Drent R, Daan S (1980) The prodent parent: energetic adjustment in avian breeding. Ardea 68:225–252
Erni B, Liechti F, Underhill LG, Bruderer B (2002) Wind and rain govern the intesity of nocturnal bird migration in central Europe—a log-linear regression analysis. Ardea 90:155–166
Fransson T (1998) A feeding experiment on migratory fuelling in whitethroats, Sylvia communis. Anim Behav 55:153–162
Gosler AG, Greenwood JJD, Baker JK, Davidson NC (1998) The field determination of body size and condition in passerines: a report to the British Ringing Committee. Br Birds 45:92–103
Gudmundsson F (1970) Bird migration studies on Surtsey in the Spring of 1968. Surtsey Research Progress Report 1968 Field Season V: 30–38. Reykjavik
Gudmundsson GA, Lindström Å, Alerstam T (1991) Optimal fat loads and long-distance flights by migrating Knots Calidris canutus, Sanderlings C. alba and Turnstones Arenaria interpres. Ibis 133:140–152
Hedenström A (2002) Aerodynamics, evolution, and ecology of bird flight. Trends Ecol Evol 7:415–422
Hedenström A (2006) Scaling of migration and the annual cycle in birds. Ardea 94:399–408
Hedenström A (2007) Adaptations to migration in birds: behavioural strategies, morphology and scaling effects. Phil Trans R Soc Lond B DOI 10.1098/rstb.2007.2140
Hedenström A, Pettersson J (1986) Differences in fat deposits and wing pointedness between male and female Willow Warblers caught on spring migration at Ottenby, SE Sweden. Ornis Scand 17:182–185
Hedenström A, Alerstam T (1997) Optimum fuel loads in migratory birds: distinguishing between time and energy minimization. J Theor Biol 189:227–234
Hussell DJT, Lambert AB (1980) New estimates of weight loss in birds during nocturnal migration. Auk 97:547–558
Imboden C, Imboden D (1972) Formel für Orthodrome und Loxodrome bei der Berechnung von Richtung und Distanz zwischen Beringungs- und Wiederfundort. Vogelwarte 26:336–346
Kaiser A (1993) A new multi-category classification of subcutaneous fat deposits of song birds. J Field Ornithol 64:246–255
Klaassen M (2003) The relationships between migration and breeding strategies in arctic breeding birds. In: Berthold P, Gwinner E, Sonnenschein E (eds) Avian migration. Springer, Berlin Heidelberg New York, pp 237–249
Komenda-Zehnder S, Liechti F, Bruderer B (2002) Is reverse migration a common feature of nocturnal bird migration?—an analysis of radar data from Israel. Ardea 90:325–334
Kvist A, Klaaseen M, Lindström Å (1998) Energy expenditure in relation to flight speed: what is the power of mass loss rate estimates? J Avian Biol 29:485–498
Liechti F (2006) Birds: blowin' by the wind? J Ornithol 147:202–211
Liechti F, Schaller E (1999) The use of low-level jets by migrating birds. Naturwissenschaften 86:549–551
Liechti F, Hedenström A, Alerstam T (1994) Effects of sidewinds on optimal flight speed of birds. J Theor Biol 170:219–225
Lindström Å, Alerstam T (1992) Optimal fat loads in migrating birds: a test of the time-minimization hypothesis. Am Nat 140:477–491
Lindstöm Å, Piersma T (1993) Mass changes in migrating birds: the evidence for fat and protein storage re-examined. Ibis 135:70–78
Luttik R, Wattel J (1979) Observation of land birds on weather ships in the North Atlantic. Limosa 52:191–208
Mc Williams SR, Guglielmo C, Pierce B, Klaassen M (2004) Flying, fasting, and feeding in birds during migration: a nutritional and physiological ecology perspective. J Avian Biol 35:377–393
Morrison RIG, Hobson KA (2004) Use of body stores in shorebirds after arrival on high-arctic breeding grounds. Auk 121:333–344
Nisbet ICT (1963) Weight-loss during migration. Part II: review of other estimates. Bird Banding 34:107–159
Ottosson U, Sandberg R, Petterson J (1990) Orientation cage and release experiments with migratory Wheatears (Oenanthe oenanthe) in Scandinavia and Greenland: the importance of visual cues. Ethology 86:57–70
Pennycuick CJ (1975) Mechanics of flight. In: Farner DS, King JR (eds) Avian biology. Academic Press, New York, pp 1–75
Pennycuick CJ (1989) Bird flight performance: a practical calculation manual. Oxford University Press, Oxford
Penycuick CJ (1978) Fifteen testable predictions about bird flight. Oikos 30:165–176
Piersma T (1998) Phenotypic flexibility during migration: optimization of organ size contingent on the risks and rewards of fuelling and flight? J Avian Biol 29:511–520
Richardson WJ (1990) Timing of bird migration in relation to weather: updated review. In: Gwinner E (ed) Bird migration. Springer, Berlin Heidelberg New York, pp 78–101
Salomonsen F (1934) La variation géographique et la migration de la Traquet motteux. L’oiseau 2:222–225
Sandberg R (1996) Fat reserves of migrating passerines at arrival on the breeding grounds in Swedish Lapland. Ibis 138:514–524
Sandberg R, Moore FR (1996) Fat stores and arrival on the breeding grounds: reproductive consequences for passerine migrants? Oikos 77:577–581
Schmaljohann H, Dierschke V (2005) Optimal migration and predation risk: a field experiment with Northern Wheatears (Oenanthe oenanthe). J Anim Ecol 74:131–138
Smith RJ, Moore FR (2003) Arrival fat and reproductive performance in a long-distance passerine migrant. Oecologia 134:325–331
Snow DW (1953) The migration of the Greenland Wheatear. Ibis 95:377–378
Svensson L (1992) Identification guide to European passerines, 4th edn. Naturhistoriska Riksmuseet, Stockholm
Thorup K, Ortvad TE, Rabøl J (2006) Do Nearctic Northern Wheatears (Oenanthe oenanthe leucorhoa) migrate nonstop to Africa? Condor 108:446–451
Weber TP, Hedenström A (2000) Optimal stopover decisions under wind influence: the effects of correlated winds. J Theor Biol 205:95–104
Weber TP, Ens BJ, Houston AI (1998) Optimal avian migration: a dynamic model of fuel stores and site use. Evol Ecol 12:377–401
Weber TP, Fransson T, Houston AI (1999) Should I stay or should I go? Testing optimality models of stopover decisions in migrating birds. Behav Ecol Sociobiol 46:280–286
Weber TP, Houston AI, Ens BJ (1994) Optimal departure fat loads and site use in avian migration: an analytical model. Proc R Soc Lond B Biol Sci 258:29–34
Williamson K (1958) Bergmann’s rule and obligatory overseas migration. Br Birds LI:209–232
Acknowledgements
This study was financially supported by the ESF BIRD-Program and the Deutsche Forschungsgemeinschaft (BA 816/15-1). Deryk Shaw and the Fair Isle Bird Observatory kindly supported the field work, as well as Aevar Petersen and the Icelandic Institute of Natural History. The authors acknowledge the use of National Centers for Environmental Prediction Reanalysis data and the NOAA-CIRES Climate Diagnostic Centre for providing wind data. We thank Gudmundur Gudmundsson, Heiko Schmaljohann and two anonymous referees for very helpful comments on the manuscript.
Author information
Authors and Affiliations
Corresponding author
Additional information
Communicated by W. Wiltschko
Rights and permissions
About this article
Cite this article
Delingat, J., Bairlein, F. & Hedenström, A. Obligatory barrier crossing and adaptive fuel management in migratory birds: the case of the Atlantic crossing in Northern Wheatears (Oenanthe oenanthe). Behav Ecol Sociobiol 62, 1069–1078 (2008). https://doi.org/10.1007/s00265-007-0534-8
Received:
Revised:
Accepted:
Published:
Issue Date:
DOI: https://doi.org/10.1007/s00265-007-0534-8


