Abstract
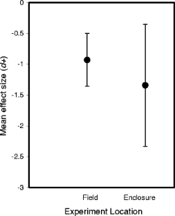
Although there is ample evidence for the generality of foraging and predation trade-offs in aquatic systems, its application to terrestrial systems is less comprehensive. In this review, meta-analysis was used to analyze experiments on giving-up-densities in terrestrial systems to evaluate the overall magnitude of predation risk on foraging behavior and experimental conditions mediating its effect. Results indicate a large and significant decrease in foraging effort as a consequence of increased predation risk. Whether experiments were conducted under natural or artificial conditions produced no change in the overall effect predation had on foraging. Odor and live predators as a correlate of predation risk had weaker and nonsignificant effects compared to habitat characteristics. The meta-analysis suggests that the effect of predation risk on foraging behavior in terrestrial systems is strongly dependent on the type of predation risk being utilized.


Similar content being viewed by others
References
Abrams PA (1992) Predators that benefit prey and prey that harm predators: Unusual effects of interacting foraging adaptations. Am Nat 140:573–600
Abrams PA (1993) Optimal traits when there are several costs: The interaction of mortality and energy costs in determining foraging behavior. Behav Ecology 4:246–253
Altendorf KB, Laundre JW, Lopez Gonzalez CA, Brown JS (2001) Assessing the effects of predation risk on foraging behavior of mule deer. J Mammal 82:430–439
Arthur AD, Pech RP, Dickman CR (2004) Habitat structure mediates the non-lethal effects of predation on enclosed populations of house mice. J Anim Ecol 73(5):867–877
Bateson M (2002) Recent advances in our understanding of risk-sensitive foraging preferences. Proc Nutr Soc 61(4):509–516
Boinski S, Kauffman L, Westoll A, Stickler CM, Cropp S, Ehmke E (2003) Are vigilance, risk from avian predators and group size consequences of habitat structure? A comparison of three species of squirrel monkey (Saimiri oerstedii, S. boliviensis, and S. sciureus). Behav 140:1421–1467
Bouskila A (1995) Interactions between predation risk and competition—a field-study of kangaroo rats and snakes. Ecology 76(1):165–178
Bowers MA (1988) Seed removal experiments on desert rodents: The microhabitat by moonlight effect. J Mammal 69:201–204
Brown JS (1988) Patch use as an indicator of habitat preference, predation risk, and competition. Behav Ecol Sociobiol 22:37–47
Brown JS (1989) Mechanisms underlying the organization of a desert rodent community. J Arid Environ 17(2):211–218
Brown JS (1992) Patch use under predation risk. I. Models and predictions. Ann Zool Fenn 29:301–309
Brown JS, Kotler BP (2004) Hazardous duty pay and the foraging cost of predation. Ecol Lett 7:999–1014
Brown JS, Kotler BP, Valone TJ (1994) Foraging under predation: a comparison of energetic and predation costs in a Negev and Sonoran Desert rodent community. Aust J Zool 42:435–448
Brown JS, Kotler BP, Mitchell WA (1997) Competition between birds and mammals: a comparison of giving-up densities between crested larks and gerbils. Evol Ecol 11(6):757–771
Brown JS, Kotler BP, Knight MH (1998) Patch use in the pygmy rock mouse (Petromyscus collinus). Mammalia 62(1):108–112
Caraco T, Martindale S, Pulliam HR (1980) Avian time budgets and distance to cover. Auk 97(4):872–875
Charnov EL (1976) Optimal foraging: the marginal value theorem. Theor Pop Bio 9:129–136
Cohen J (1969) Statistical power analysis for the behavioral sciences. Academic, New York
Dill LM (1987) Animal decision making and its ecological consequences: the future of aquatic ecology and behaviour. Can J Zool 65:803–811
Engelhart A, Muller-Schwarze D (1995) Responses of beaver (Castor canadensis KUHL) to predator chemicals. J Chem Ecol 21:1349–1364
Epple G, Mason JR, Nolte DL, Campell DL (1993) Effects of predator odors on feeding in the mountain beaver (Aplodontia rufa). J Mammal 74:715–722
Gilliam JF, Frasier DF (1987) Habitat selection under predation hazard: test of a model with foraging minnows. Ecology 68:1856–1862
Gurevitch J, Hedges LV (1993) Meta-analysis: Combining the results of independent experiments. In: Scheiner SM, Gurevitch J (eds) Design and analysis of ecological experiments, 1st edn. Chapman and Hall, New York, pp 378–398
Gurevitch J, Hedges LV (1999) Statistical issues in ecological meta-analyses. Ecology 80(4):1142–1149
Gurevitch J, Morrison JA, Hedges LV (2000) The interaction between competition and predation: A meta-analysis of field experiments. Am Nat 155(4):435–453
Gurevitch J, Morrow LL, Wallace A, Walsh JS (1992) A Meta-analysis of competition in field experiments. Am Nat 140(4):539–572
Gutman R, Dayan T (2005) Temporal partitioning: an experiment with two species of spiny mice. Ecology 86(1):164–173
Hay ME, Fuller PJ (1981) Seed escape from heteromyid rodents: the importance of microhabitat and seed preference. Ecology 62:1395–1399
Hedges LV, Olkin I (1985) Statistical methods for Meta-analysis. Academic, New York
Hedges LV, Gurevitch J, Curtis PS (1999) The meta-analysis of response ratios in experimental Ecology. Ecology 80(4):1150–1156
Hernández L, Laundre JW, Gurung M (2005) From the field: use of camera traps to measure predation risk in a puma-mule deer system. Wildl Soc Bull 33:353–358
Holtcamp WN, Grant WE, Vinson B (1997) Patch use under predation hazard: effect of the red imported fire ant on deer mouse foraging behavior. Ecology 78:308–317
Houston AI, McNamara JM, Hutchinson JMC (1993) General results concerning the trade-off between gaining energy and avoiding predation. Philos Trans R Soc Lond B 341:375–397
Jacob J, Brown JS (2000) Microhabitat use, giving-up densities and temporal activity as short- and long-term anti-predator behaviors in common voles. Oikos 91:131–138
Janson CH (1990) Ecological consequences of individual spatial choice in foraging groups of brown capuchin monkeys, Cebus Apella. Anim Behav 40:922–934
Jones M, Dayan T (2000) Foraging behavior and microhabitat use by spiny mice, Acomys cahirinus and A. russatus, in the presence of Blanford’s fox (Vulpes cana) odor. J Chem Ecol 26(2):455–469
Kotler BP (1997) Patch use by gerbils in a risky environment: manipulating food and safety to test four models. Oikos 78(2):274–282
Kotler BP, Brown JS, Slotow RH, Goodfriend WL, Strauss M (1993) The influence of snakes on the foraging behavior of gerbils. Oikos 67:309–316
Kotler BP, Brown JS, Knight MH (1999) Habitat and patch use by hyraxes: there’s no place like home? Ecol Lett 2(2):82–88
Kotler BP, Brown JS, Hickey M (1999) Food storability and the foraging behavior of fox squirrels (Sciurus niger). Am Midl Nat 142(1):77–86
Kotler BP, Brown JS, Oldfield A, Thorson J, Cohen D (2001) Foraging substrate and escape substrate: Patch use by three species of gerbils. Ecology 82(6):1781–1790
Kotler BP, Brown JS, Bouskila A (2004). Apprehension and time allocation in gerbils: The effects of predatory risk and energetic state. Ecology 85(4):917–922
Lima SL (1985) Maximizing feeding efficiency and minimizing time exposed to predators—a trade-off in the black-capped chickadee. Oecologia 66(1):60–67
Lima SL (1998) Nonlethal effects in the ecology of predator–prey interactions—what are the ecological effects of anti-predator decision-making? Bioscience 48(1):25–34
Lima SL, Valone TJ (1986) Influence of predation risk on diet selection: a simple example in the grey squirrel. Anim Behav 34:536–544
Lima SL, Dill LM (1990) Behavioral decisions made under the risk of predation. Can J Zool 68:619–640
McNamara JM, Houston AI (1987) Starvation and predation as factors limiting population size. Ecology 68:1515–1519
Millinski M (1986) Constraints placed by predators on feeding behavior. In: Pitcher T (ed) The behaviour of teleost fishes. Croom Helm, London, pp 236–252
Mohr K, Vibe-Petersen S, Jeppesen LL, Bildsoe M, Leirs H (2003) Foraging of multimammate mice, Mastomys natalensis, under different predation pressure: cover, patch-dependent decisions and density-dependent GUDs. Oikos 100(3):459–468
Newman JA, Recer GM, Zwicker SM, Caraco T (1988) Effects of predation hazard on foraging constraints—patch-use strategies in grey squirrels. Oikos 53(1):93–97
Orrock JL, Danielson BJ (2004) Rodents balancing a variety of risks: invasive fire ants and indirect and direct indicators of predation risk. Oecologia 140(4):662–667
Orrock JL, Danielson BJ, Brinkerhoff RJ (2004) Rodent foraging is affected by indirect, but not by direct, cues of predation risk. Behav Ecol 15(3):433–437
Oyugi JO, Brown JS (2003) Giving-up densities and habitat preferences of European starlings and American robins. Condor 105(1):130–135
Pfister JA, Muller-Schwarze D, Balph DF (1990) Effects of predator fecal odors on feed selection by sheep and cattle. J Chem Ecol 16:573–583
Powell F, Banks PB (2004) Do house mice modify their foraging behaviour in response to predator odours and habitat? Anim Behav 67:753–759
Price MV, Correll RA (2001) Depletion of seed patches by Merriam’s kangaroo rats: Are GUD assumptions met? Ecol Lett 4:334–343
Pusenius J, Schmidt KA (2002) The effects of habitat manipulation on population distribution and foraging behavior in meadow voles. Oikos 98(2):251–262
Rosenberg MS, Adams DC, Gurevitch J (1999) MetaWin 2.0. Statistical software for conducting meta-analysis: fixed effects models, mixed effect models, and resampling tests. Sinauer Associates, Sunderland, Massachusetts
Rohner C, Krebs CJ (1996) Owl predation on snowshoe hares: consequences of antipredator behaviour. Oecologia 108(2):303–310
Sih A (1980) Optimal behavior: can foragers balance two conflicting demands. Science 210:1041–1043
Sih A (1982) Foraging strategies and the avoidance of predation by an aquatic insect. Ecology 63:786–796
Sih A (1987) Predators and prey lifestyles: an ecological overview. In: Kerfoot WC, Sih A (eds) Predation: direct and indirect impacts on aquatic communities. Univ. Press of New England, Hanover, New Hampshire, pp 203–224
Sih A (1992) Prey uncertainty and the balancing of antipredator and feeding needs. Am Nat 5:1052–1069
Stephens DW, Krebs JR (1988) Foraging theory. Mono Behav Ecol. Princeton Univ. Press, New Jersey
Stokes VL, Pech RP, Banks PB, Arthur AD (2004) Foraging behaviour and habitat use by Antechinus flavipes and Sminthopsis murina (Marsupialia : Dasyuridae) in response to predation risk in eucalypt woodland. Biol Conserv 117(3):331–342
Sullivan TP, Crump DR (1984) Influence of mustelid scent-gland compounds on suppression of feeding by snowshoe hares (Lepus americanus). J Chem Ecol 10:1809–1821
Sundell J, Dudek D, Klemme I, Koivisto E, Pusenius J, Ylonen H (2004) Variation in predation risk and vole feeding behaviour: a field test of the risk allocation hypothesis. Oecologia 139(1):157–162
Thorson JM, Morgan RA, Brown JS, Norman JE (1998) Direct and indirect cues of predatory risk and patch use by fox squirrels and thirteen-lined ground squirrels. Behav Ecol 9:151–157
Valone TJ, Lima SL (1987) Carrying food items to cover for consumption: the behavior of ten bird species feeding under the risk of predation. Oecologia 71:286–294
Yunger JA, Meserve PL, Gutiérrez JR (2002) Small mammal foraging behavior: mechanisms for coexistence and implications for population dynamics. Ecol Monogr 72(4):561–577
Acknowledgements
This work is in partial fulfillment of the requirements for a doctorate in Ecology and Evolution at Stony Brook University. I thank my advisor, Dr. Charles Janson, for his scientific and editorial contributions, Dr. Jessica Gurevitch her for comments and guidance in conducting the statistical analyses, and Dr. Joel S. Brown and Dr. Burt P. Kotler for their insightful reviews which significantly improved the quality of this manuscript.
Author information
Authors and Affiliations
Corresponding author
Additional information
Communicated by A. Cockburn
Rights and permissions
About this article
Cite this article
Verdolin, J.L. Meta-analysis of foraging and predation risk trade-offs in terrestrial systems. Behav Ecol Sociobiol 60, 457–464 (2006). https://doi.org/10.1007/s00265-006-0172-6
Received:
Revised:
Accepted:
Published:
Issue Date:
DOI: https://doi.org/10.1007/s00265-006-0172-6


