Skip to main content

Use of computed tomography for distinguishing heterotopic pancreas from gastrointestinal stromal tumor and leiomyoma

Abstract

Purpose

To determine whether morphologic features and semiquantitative parameters of computed tomography (CT) could be used to distinguish heterotopic pancreas from gastrointestinal stromal tumor (GIST) and leiomyoma.

Methods

This retrospective study evaluated CT images of heterotopic pancreases (n = 28), GISTs (n = 57), and leiomyomas (n = 26) located in the upper gastrointestinal tract. Morphologic imaging features of lesions were analyzed, including location, contour, margin, attenuation, growth pattern, enhancement type, enhancement degree, enlarged vessels feeding or draining the mass, hyperenhancement of the overlying mucosa, low intralesional attenuation, calcification, and a duct-like structure. Semiquantitative parameters included long diameter (LD), short diameter (SD), LD/SD ratio, and lesion and aorta CT values during plain CT (Lp and Ap), arterial phase (La and Aa), and venous phase (Lv and Av). Diagnostic performance of these findings and parameters were evaluated by receiver operating characteristic (ROC) analysis.

Results

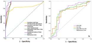
Morphologic CT findings (including lesion contour, margin, attenuation, growth pattern, enhancement type, and enhancement degree) and semiquantitative parameters except for LD/SD were demonstrated to be significant for differentiating heterotopic pancreas from GIST and leiomyoma (all P < 0.01). Of these, location, low intralesional attenuation, duct-like structure and LD, SD, Lv, and Sv values showed good diagnostic performance with the areas under curve (AUC) higher than 0.70. The presence of a duct-like structure demonstrated the best diagnostic ability with AUC of 0.929 [95% confidence interval (CI) 0.864–0.969], sensitivity of 5.7% (95% CI 67.3–96.0), and specificity of 100% (95% CI 95.7–100), respectively. When the three morphologic features (location, low intralesional attenuation, duct-like structure) were used in combination, the AUC was improved to 0.980 (95% CI 0.952–1).

Conclusion

CT features, especially the morphologic features, could be used to differentiate heterotopic pancreas from GIST and leiomyoma in the upper gastrointestinal tract and, thus, provide a more accurate method for non-invasive preoperative diagnosis. Additionally, the presence of a duct-like structure demonstrated to be a reliable indicator for heterotopic pancreas among the morphologic and semiquantitative CT features.

This is a preview of subscription content, access via your institution.

Fig. 1
Fig. 2
Fig. 3
Fig. 4

Abbreviations

CT:

Computed tomography

GIST:

Gastrointestinal stromal tumor

EVFDM:

Enlarged vessels feeding or draining the mass

LD:

Long diameter

SD:

Short diameter

ROI:

Regions of interests

AUC:

Area under the curve

ROC:

Receiver operating characteristic

References

  1. Borghei P, Sokhandon F, Shirkhoda A, et al (2013). Anomalies, anatomic variants, and sources of diagnostic pitfalls in pancreatic imaging. Radiology 266(1):28-36.

  2. Thoeni RF, Gedgaudas RK (1980). Ectopic pancreas: usual and unusual features. Gastrointest Radiol 5(1):37–42.

  3. Wei R, Wang QB, Chen QH, et al (2011). Upper gastrointestinal tract heterotopic pancreas: findings from CT and endoscopic imaging with histopathologic correlation. Clin Imaging 35(5):353–359.

  4. Kung JW, Brown A, Kruskal JB, et al (2010). Heterotopic pancreas: typical and atypical imaging findings. Clin Radiol 65(5):403–407.

  5. Wang D, Wei XE, Yan L, et al (2011). Enhanced CT and CT virtual endoscopy in diagnosis of heterotopic pancreas. World J Gastroenterol 17(33):3850-3855.

  6. Kim JY, Lee JM, Kim KW, et al (2009). Ectopic pancreas: CT findings with emphasis on differentiation from small gastrointestinal stromal tumor and leiomyoma. Radiology 252(1):92-100.

  7. Kim JH, Eun HW, Goo DE, et al (2006). Imaging of various gastric lesions with 2D MPR and CT gastrography performed with multidetector CT. Radiographics 26: 1101-1116.

  8. Cho JS, Shin KS, Kwon S, et al (2000). Heterotopic pancreas in the stomach: CT findings. Radiology 217: 139–144.

  9. Hsia CY, Wu CW, Lui WY (1999). Heterotopic pancreas: a difficult diagnosis. J. Clin. Gastroenterol 28: 144–147.

  10. Milosavljevic T, Perisˇ ic V, Opric D, et al (2000). Ectopic pancreas in the gastric wall. Arch Gastroenterohepatol 19: 24–27.

  11. Kang HC, Menias CO, Gaballah AH, et al (2013). Beyond the GIST: mesenchymal tumors of the stomach. Radiographics33(6):1673-1690.

  12. Lin YM, Chiu NC, Li AF, et al (2017). Unusual gastric tumors and tumor-like lesions: Radiological with pathological correlation and literature review. World J Gastroenterol 23(14):2493-2504.

  13. Ludwig DJ, Traverso LW (1997). Gut stromal tumors and their clinical behavior. Am J Surg 173: 390-394.

  14. Kim DW, Kim JH, Park SH, et al (2015). Heterotopic pancreas of the jejunum: associations between CT and pathology features. Abdom Imaging 40(1):38-45.

  15. Kim HC, Lee JM, Kim KW, et al (2004). Gastrointestinal stromal tumors of the stomach: CT findings and prediction of malignancy. AJR Am J Roentgenol 183:893–898.

  16. Janowitz P, Meier F, Reisig J. (2002) Gastric schwannoma as a rare differential diagnosis of pleural effusion. Z Gastroenterol 40: 925-928.

  17. Brancatelli G, Federle MP, Grazioli L, et al (2001). Focal nodular hyperplasia: CT findings with emphasis on multiphasic helical CT in 78 patients. Radiology 219:61–68.

  18. Kilman WJ, Berk RN (1977). The spectrum of radiographic features of aberrant pancreatic rests involving the stomach. Radiology 123(2):291–296.

  19. Otani Y, Yoshida M, Saikawa Y, et al (2006). Discrimination between gastric ectopic pancreas and mesenchymal tumours, including GIST: from 12 years’ surgical experience in one institute. Aliment Pharmacol Ther 24(suppl 4):292–296.

  20. Matsushita M, Hajiro K, Okazaki K, et al (1999). Gastric aberrant pancreas: EUS analysis in comparison with the histology. Gastrointest Endosc 49:493–497.

  21. Grendell JH, Ermak TH. Anatomy, histology, embryology, and developmental anomalies of the pancreas. In: Sleisenger & Fordtran’s gastrointestinal and liver disease. Philadelphia, Pa: Saunders, 1998; 761–771.

  22. Rooney DR (1959). Aberrant pancreatic tissue in the stomach. Radiology 73:241–244.

  23. Levine MS (2008) Benign tumors of the stomach and duodenum. In: Gore RM, Levine MS (eds) Textbook of gastrointestinal radiology, 3rd edn. Philadelphia, Pa: Saunders, pp 593–617

    Chapter  Google Scholar 

  24. Rezvani M, Menias C, Sandrasegaran K, et al (2017). Heterotopic pancreas: Histopathologic features, imaging findings, and complications. Radiographics 37(2):484–499.

    Article  Google Scholar 

  25. Jang KM, Kim SH, Park HJ, et al (2013). Ectopic pancreas in upper gastrointestinal tract: MRI findings with emphasis on differentiation from submucosal tumor. Acta Radiol 54(10):1107–1116.

    Article  Google Scholar 

  26. Park SH, Han JK, Choi BI, et al (2000). Heterotopic pancreas of the stomach: CT findings correlated with pathologic findings in six patients. Abdom Imaging 25(2):119–123.

    CAS  Article  Google Scholar 

  27. Mortelé KJ, Rocha TC, Streeter JL, et al (2006). Modality imaging of pancreatic and biliary congenital anomalies. Radiographics 26(3):715–731.

    Article  Google Scholar 

  28. Christodoulidis G, Zacharoulis D, Barbanis S, et al (2007). Heterotopic pancreas in the stomach: a case report and literature review. World J Gastroenterol 13:6098–6100.

    Article  Google Scholar 

  29. Kilman WJ, Berk RN (1977). The spectrum of radiographic features of aberrant pancreatic rests involving the stomach. Radiology 123:291–296.

    CAS  Article  Google Scholar 

  30. Wang C, Kuo Y, Yeung K, et al (1998). CT appearance of ectopic pancreas: a case report. Abdom Imaging 23:332–333.

    CAS  Article  Google Scholar 

Download references

Funding

The funding was supported by Research Grant of National Nature Science Foundation of China, No. 81971571.

Author information

Affiliations

Authors

Corresponding author

Correspondence to Bin Song.

Ethics declarations

Conflict of interest

We confirm that this manuscript has not been published elsewhere and is not under consideration by another journal. All authors have contributed significantly and approved the content of the manuscript. The authors have no conflicts of interest to declare.

Additional information

Publisher's Note

Springer Nature remains neutral with regard to jurisdictional claims in published maps and institutional affiliations.

Cai-Wei Yang and Xi-Jiao Liu have contributed equally to this work.

Rights and permissions

Reprints and Permissions

About this article

Verify currency and authenticity via CrossMark

Cite this article

Yang, CW., Liu, XJ., Wei, Y. et al. Use of computed tomography for distinguishing heterotopic pancreas from gastrointestinal stromal tumor and leiomyoma. Abdom Radiol 46, 168–178 (2021). https://doi.org/10.1007/s00261-020-02631-2

Download citation

  • Received:

  • Revised:

  • Accepted:

  • Published:

  • Issue Date:

  • DOI: https://doi.org/10.1007/s00261-020-02631-2

Keywords

  • Heterotopic pancreas
  • Computed tomography
  • Gastrointestinal stromal tumors
  • Leiomyoma