Skip to main content

Feasibility of intravoxel incoherent motion diffusion-weighted imaging in distinguishing adenocarcinoma originated from uterine corpus or cervix

Abstract

Purpose

To prospectively assess the incremental value of intravoxel incoherent motion (IVIM) DWI in determining whether the adenocarcinoma originated from the uterine corpus or cervix.

Methods

Eighty consecutive uterine adenocarcinomas from the cervix or endometrium confirmed by histopathology underwent IVIM DWI acquisition on a 3.0T MR scanner before treatment. Five morphologic features were analyzed using Fisher exact test; IVIM DWI-derived parameters, including apparent diffusion coefficient (ADC), true coefficient diffusivity (D), perfusion-related diffusivity (D*), and perfusion fraction (f) were compared using two-sample independent t-test or Mann–Whitney U test. Logistic regression analysis was used to develop different diagnosis model. The ROCs of these variables and diagnostic models were compared to evaluate the diagnostic efficiency.

Results

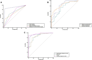
Among single morphologic features, tumor location yielded the highest AUC of 0.891 in distinguishing endometrial adenocarcinoma (EAC) from cervical adenocarcinoma (CAC). Among single IVIM DWI-derived parameters, f values showed the best diagnostic performance (AUC: 0.837) at the optimal cut-off value of 0.261. Additionally, the combined diagnostic model, which consisted of tumor location, ADC and f showed the largest AUC of 0.967 with the highest sensitivity of 88.14%, highest specificity of 100.00%, and highest accuracy of 91.25%.

Conclusion

IVIM DWI-derived parameters add additional diagnostic value to conventional morphologic features. A combined diagnosis model is a promising imaging tool for predicting the origin of uterine adenocarcinoma, further contributing to therapeutic decision-making.

This is a preview of subscription content, access via your institution.

Fig. 1
Fig. 2
Fig. 3
Fig. 4
Fig. 5
Fig. 6
Fig. 7

References

  1. Colombo N, Creutzberg C, Amant F, et al. ESMO-ESGO-ESTRO Consensus Conference on Endometrial Cancer: Diagnosis, Treatment and Follow-up. INT J GYNECOL CANCER 2016;26(1):2-30.

  2. Siegel RL, Miller KD, Jemal A. Cancer statistics, 2020. CA: A Cancer Journal for Clinicians 2020;70(1):7-30.

  3. Pimenta JM, Galindo C, Jenkins D, et al. Estimate of the global burden of cervical adenocarcinoma and potential impact of prophylactic human papillomavirus vaccination. BMC CANCER 2013;13:553.

    Article  Google Scholar 

  4. Smith HO, Tiffany MF, Qualls CR, et al. The rising incidence of adenocarcinoma relative to squamous cell carcinoma of the uterine cervix in the United States–a 24-year population-based study. GYNECOL ONCOL 2000;78(2):97-105.

    CAS  Article  Google Scholar 

  5. Guo P, Liu P, Yang J, et al. Villoglandular adenocarcinoma of cervix: pathologic features, clinical management, and outcome. CANCER MANAG RES 2018;10:3955-61.

    Article  Google Scholar 

  6. Gien LT, Beauchemin M, Thomas G. Adenocarcinoma: A unique cervical cancer. GYNECOL ONCOL 2010;116(1):140-6.

    CAS  Article  Google Scholar 

  7. Morice P, Leary A, Creutzberg C, et al. Endometrial cancer. LANCET 2016;387(10023):1094-108.

    Article  Google Scholar 

  8. Koh WJ, Greer BE, Abu-Rustum NR, et al. Cervical Cancer, Version 2.2015. J Natl Compr Canc Netw 2015;13(4):395-404, 404.

  9. McCluggage WG. Endocervical glandular lesions: controversial aspects and ancillary techniques. J CLIN PATHOL 2003;56(3):164-73.

    CAS  Article  Google Scholar 

  10. Vargas HA, Akin O, Zheng J, et al. The value of MR imaging when the site of uterine cancer origin is uncertain. RADIOLOGY 2011;258(3):785-92.

    Article  Google Scholar 

  11. Staebler A, Sherman ME, Zaino RJ, et al. Hormone receptor immunohistochemistry and human papillomavirus in situ hybridization are useful for distinguishing endocervical and endometrial adenocarcinomas. AM J SURG PATHOL 2002;26(8):998-1006.

    Article  Google Scholar 

  12. Jones MW, Onisko A, Dabbs DJ, et al. Immunohistochemistry and HPV in situ hybridization in pathologic distinction between endocervical and endometrial adenocarcinoma: a comparative tissue microarray study of 76 tumors. INT J GYNECOL CANCER 2013;23(2):380-4.

    Article  Google Scholar 

  13. Mittal K, Soslow R, McCluggage WG. Application of immunohistochemistry to gynecologic pathology. ARCH PATHOL LAB MED 2008;132(3):402-23.

    Article  Google Scholar 

  14. Stewart C, Crum CP, McCluggage WG, et al. Guidelines to Aid in the Distinction of Endometrial and Endocervical Carcinomas, and the Distinction of Independent Primary Carcinomas of the Endometrium and Adnexa From Metastatic Spread Between These and Other Sites. INT J GYNECOL PATHOL 2019;38 Suppl 1:S75-92.

    Article  Google Scholar 

  15. Ramirez PT, Frumovitz M, Milam MR, et al. Limited utility of magnetic resonance imaging in determining the primary site of disease in patients with inconclusive endometrial biopsy. INT J GYNECOL CANCER 2010;20(8):1344-9.

    PubMed  PubMed Central  Google Scholar 

  16. Padhani AR, Liu G, Koh DM, et al. Diffusion-weighted magnetic resonance imaging as a cancer biomarker: consensus and recommendations. NEOPLASIA 2009;11(2):102-25.

    CAS  Article  Google Scholar 

  17. Lin G, Lin YC, Wu RC, et al. Developing and validating a multivariable prediction model to improve the diagnostic accuracy in determination of cervical versus endometrial origin of uterine adenocarcinomas: A prospective MR study combining diffusion-weighted imaging and spectroscopy. J MAGN RESON IMAGING 2017.

  18. Lin YC, Lin G, Chen YR, et al. Role of magnetic resonance imaging and apparent diffusion coefficient at 3T in distinguishing between adenocarcinoma of the uterine cervix and endometrium. Chang Gung Med J 2011;34(1):93-100.

    PubMed  Google Scholar 

  19. Le Bihan D, Breton E, Lallemand D, et al. Separation of diffusion and perfusion in intravoxel incoherent motion MR imaging. RADIOLOGY 1988;168(2):497-505.

    Article  Google Scholar 

  20. Niendorf T, Dijkhuizen RM, Norris DG, et al. Biexponential diffusion attenuation in various states of brain tissue: implications for diffusion-weighted imaging. MAGN RESON MED 1996;36(6):847-57.

    CAS  Article  Google Scholar 

  21. Wan Q, Deng YS, Lei Q, et al. Differentiating between malignant and benign solid solitary pulmonary lesions: are intravoxel incoherent motion and diffusion kurtosis imaging superior to conventional diffusion-weighted imaging? EUR RADIOL 2019;29(3):1607-15.

    Article  Google Scholar 

  22. Zhang YD, Wang Q, Wu CJ, et al. The histogram analysis of diffusion-weighted intravoxel incoherent motion (IVIM) imaging for differentiating the gleason grade of prostate cancer. EUR RADIOL 2015;25(4):994-1004.

    Article  Google Scholar 

  23. Nougaret S, Vargas HA, Lakhman Y, et al. Intravoxel Incoherent Motion-derived Histogram Metrics for Assessment of Response after Combined Chemotherapy and Radiation Therapy in Rectal Cancer: Initial Experience and Comparison between Single-Section and Volumetric Analyses. RADIOLOGY 2016;280(2):446-54.

    Article  Google Scholar 

  24. Bourgioti C, Chatoupis K, Panourgias E, et al. Endometrial vs. cervical cancer: development and pilot testing of a magnetic resonance imaging (MRI) scoring system for predicting tumor origin of uterine carcinomas of indeterminate histology. ABDOM IMAGING 2015;40(7):2529-40.

  25. He H, Bhosale P, Wei W, et al. MRI is highly specific in determining primary cervical versus endometrial cancer when biopsy results are inconclusive. CLIN RADIOL 2013;68(11):1107-13.

    CAS  Article  Google Scholar 

  26. Le Bihan D, Turner R. The capillary network: a link between IVIM and classical perfusion. MAGN RESON MED 1992;27(1):171-8.

    Article  Google Scholar 

  27. Woo S, Lee JM, Yoon JH, et al. Intravoxel incoherent motion diffusion-weighted MR imaging of hepatocellular carcinoma: correlation with enhancement degree and histologic grade. RADIOLOGY 2014;270(3):758-67.

    Article  Google Scholar 

  28. Lee EY, Hui ES, Chan KK, et al. Relationship between intravoxel incoherent motion diffusion-weighted MRI and dynamic contrast-enhanced MRI in tissue perfusion of cervical cancers. J MAGN RESON IMAGING 2015;42(2):454-9.

    Article  Google Scholar 

Download references

Acknowledgements

This research did not receive any specific grant from funding agencies in the public, commercial, or not-for-profit sectors.

Author information

Affiliations

Authors

Corresponding authors

Correspondence to Xinming Zhao or Xiaoduo Yu.

Additional information

Publisher's Note

Springer Nature remains neutral with regard to jurisdictional claims in published maps and institutional affiliations.

Rights and permissions

Reprints and Permissions

About this article

Verify currency and authenticity via CrossMark

Cite this article

Zhang, Q., Ouyang, H., Ye, F. et al. Feasibility of intravoxel incoherent motion diffusion-weighted imaging in distinguishing adenocarcinoma originated from uterine corpus or cervix. Abdom Radiol 46, 732–744 (2021). https://doi.org/10.1007/s00261-020-02586-4

Download citation

  • Published:

  • Issue Date:

  • DOI: https://doi.org/10.1007/s00261-020-02586-4

Keywords

  • Uterine neoplasms
  • Magnetic resonance imaging
  • Diffusion
  • Perfusion
  • Differential diagnosis