Skip to main content

Diurnal variation of renal resistive index over 24-hour period in hypertensive patients and healthy controls

Abstract

Purpose

There are no data in the literature to our knowledge related to changes in renal resistive index (RRI) values over 24-h period and the importance of detecting these changes in patients who have hypertension (HT). In this study, we aimed to investigate the variation of RRI values over 24-h period and its usability in hypertensive patients.

Methods

A total of 118 subjects (80 with HT and 38 healthy controls) were included in the study. Morning, midday, evening, and midnight RRI, renal pulsatility index, and accelerated time were measured by Doppler ultrasonography (US). B-mode US and elastograpic assessment were performed only in the morning.

Results

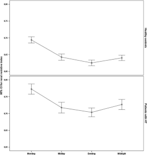
Temporal RRI varied significantly (p < 0.001). The highest and lowest levels were found in the morning and evening, respectively. All temporal RRI levels were significantly higher in patients with HT (both p < 0.001). The absolute and relative increases in RRI (ΔRRI) levels were similar in two groups. All temporal RRI measurements positively correlated with the patient age, pulse pressure, renal cortical thickness, and cortical stiffness. However, absolute-ΔRRI and relative-ΔRRI positively correlated with the age. Absolute-ΔRRI positively correlated with the pulse pressure and cortical stiffness, and no correlation was observed between relative-ΔRRI and these variables. Of the four temporal measurements, morning RRI were found to be independently associated with cortical stiffness (p < 0.001).

Conclusions

RRI measurements varied over 24-h period in patients with HT and/or healthy controls. Morning RRI was significantly higher than other day time, and it is also related to renal cortical stiffness.

This is a preview of subscription content, access via your institution.

Fig. 1
Fig. 2
Fig. 3
Fig. 4

References

  1. Tublin ME, Bude RO, Platt JF (2003) Review. The resistive index in renal Doppler sonography: where do we stand? Am J Roentgenol 180:885–892

    Article  Google Scholar 

  2. Bigé N, Lévy PP, Callard P, et al. (2012) Renal arterial resistive index is associated with severe histological changes and poor renal outcome during chronic kidney disease. BMC Nephrol 13:139

    Article  PubMed  PubMed Central  Google Scholar 

  3. Berni A, Ciani E, Bernetti M, et al. (2012) Renal resistive index and low-grade inflammation in patients with essential hypertension. J Hum Hypertens 26:723–730

    Article  CAS  PubMed  Google Scholar 

  4. Boddi M, Cecioni I, Poggesi L, et al. (2006) Renal resistive index early detects chronic tubulointerstitial nephropathy in normo- and hypertensive patients. Am J Nephrol 26:16–21

    Article  PubMed  Google Scholar 

  5. Boddi M, Natucci F, Ciani E (2015) The internist and the renal resistive index: truths and doubts. Intern Emerg Med 10:893–905

    Article  PubMed  Google Scholar 

  6. Doi Y, Iwashima Y, Yoshihara F, et al. (2012) Association of renal resistive index with target organ damage in essential hypertension. Am J Hypertens 25:1292–1298

    CAS  PubMed  Google Scholar 

  7. Tedesco MA, Natale F, Mocerino R, et al. (2003) Renal resistive index and cardiovascular organ damage in a large population of hypertensive patients. J Hum Hypertens 21:291–296

    Article  Google Scholar 

  8. Pontremoli R, Viazzi F, Martinoli C, et al. (1999) Increased renal resistive index in patients with essential hypertension: a marker of target organ damage. Nephrol Dial Transplant 14:360–365

    Article  CAS  PubMed  Google Scholar 

  9. Lerolle N (2012) Please don’t call me RI anymore; I may not be the one you think I am!. Crit Care 16:174

    Article  PubMed  PubMed Central  Google Scholar 

  10. Lerolle N, Guérot E, Faisy C, et al. (2006) Renal failure in septic shock: predictive value of Doppler-based renal arterial resistive index. Intens Care Med 32:1553–1559

    Article  Google Scholar 

  11. Darmon M, Schortgen F, Leon R, et al. (2009) Impact of mild hypoxemia on renal function and renal resistive index during mechanical ventilation. Intens Care Med 35:1031–1038

    Article  Google Scholar 

  12. Ponte B, Pruijm M, Ackermann D, et al. (2014) Reference values and factors associated with renal resistive index in a family-based population study. Hypertension 63:136–142

    Article  CAS  PubMed  Google Scholar 

  13. O’Rourke MF, Safar ME (2005) Relationship between aortic stiffening and microvascular disease in brain and kidney: cause and logic of therapy. Hypertension 46:200–204

    Article  CAS  PubMed  Google Scholar 

  14. Watanabe S, Okura T, Kurata M, et al. (2006) Valsartan reduces serum cystatin C and the renal vascular resistance in patients with essential hypertension. Clin Exp Hypertens 28:451–461

    Article  CAS  PubMed  Google Scholar 

  15. Kuznetsova T, Cauwenberghs N, Knez J, et al. (2015) Doppler indexes of left ventricular systolic and diastolic flow and central pulse pressure in relation to renal resistive index. Am J Hypertens 28:535–545

    Article  CAS  PubMed  Google Scholar 

  16. Hashimoto J, Ito S (2011) Central pulse pressure and aortic stiffness determine renal hemodynamics: pathophysiological implication for microalbuminuria in hypertension. Hypertension 58:839–846

    Article  CAS  PubMed  Google Scholar 

  17. Stea F, Sgrò M, Faita F, et al. (2013) Relationship between wave reflection and renal damage in hypertensive patients: a retrospective analysis. J Hypertens 31:2418–2424

    Article  CAS  PubMed  Google Scholar 

  18. Levey AS, Stevens LA, Schmid CH, et al. (2009) CKD-EPI (Chronic Kidney Disease Epidemiology Collaboration). A new equation to estimate glomerular filtration rate. Ann Intern Med 150:604–612

    Article  PubMed  PubMed Central  Google Scholar 

  19. Kawai T, Ohishi M, Kamide K, et al. (2013) Differences between daytime and nighttime blood pressure variability regarding systemic atherosclerotic change and renal function. Hypertens Res 36:232–239

    Article  PubMed  Google Scholar 

  20. Mancia G, Fagard R, Narkiewicz K, et al. (2013) 2013 ESH/ESC Guidelines for the management of arterial hypertension. Eur Heart J 34:2159–2219

    Article  PubMed  Google Scholar 

  21. Miyoshi K, Okura T, Tanino A, et al. (2017) Usefulness of the renal resistive index to predict an increase in urinary albumin excretion in patients with essential hypertension. J Hum Hypertens 31:66–69

    Article  CAS  PubMed  Google Scholar 

  22. Muller JE, Stone PH, Turi ZG, et al. (1985) Circadian variation in the frequency of onset of acute myocardial infarction. N Engl J Med 313:1315–1322

    Article  CAS  PubMed  Google Scholar 

  23. Elliott WJ (1998) Circadian variation in the timing of stroke onset: a meta-analysis. Stroke 29:992–996

    Article  CAS  PubMed  Google Scholar 

  24. Muller JE, Ludmer PL, Willich SN, et al. (1987) Circadian variation in the frequency of sudden cardiac death. Circulation 75:131–138

    Article  CAS  PubMed  Google Scholar 

  25. Pruijm MT, Wuerzner G, Glatz N, et al. (2010) A new technique for simultaneous validation of two manual nonmercury auscultatory sphygmomanometers (A&D UM-101 and Accoson Greenlight 300) based on the international protocol. Blood Press Monit 15:322–325

    Article  PubMed  Google Scholar 

  26. Bochud M (2012) Estimating heritability from nuclear family and pedigree data. Methods Mol Biol 850:171–186

    Article  PubMed  Google Scholar 

  27. Bude RO, Rubin JM (1999) Effect of downstream cross-sectional area of an arterial bed on the resistive index and the early systolic acceleration. Radiology 212:732–738

    Article  CAS  PubMed  Google Scholar 

  28. Brkljacić B, Mrzljak V, Drinković I, et al. (1994) Renal vascular resistance in diabetic nephropathy: duplex Doppler US evaluation. Radiology 192:549–554

    Article  PubMed  Google Scholar 

  29. Kim SH, Kim SM, Lee HK, et al. (1992) Diabetic nephropathy: duplex Doppler ultrasound findings. Diabetes Res Clin Pract 18:75–81

    Article  CAS  PubMed  Google Scholar 

  30. Bruno RM, Daghini E, Versari D, et al. (2014) Predictive role of renal resistive index for clinical outcome after revascularization in hypertensive patients with atherosclerotic renal artery stenosis: a monocentric observational study. Cardiovasc Ultrasound 20:12–19

    Google Scholar 

  31. Boddi M (2017) Renal ultrasound (and Doppler sonography) in hypertension: an update. Adv Exp Med Biol 956:191–208

    Article  PubMed  Google Scholar 

  32. Williams GJ, Macaskill P, Chan SF, et al. (2007) Comparative accuracy of renal duplex sonographic parameters in the diagnosis of renal artery stenosis: paired and unpaired analysis. Am J Roentgenol 188:798–811

    Article  Google Scholar 

Download references

Author information

Affiliations

Authors

Corresponding author

Correspondence to Ayse Selcan Koc.

Ethics declarations

Funding

No funding was received for this study.

Conflict of interest

There is no conflict of interest.

Ethical approval

All procedures performed in studies involving human participants were in accordance with the Ethical Standards of the Institutional and/or National Research Committee and with the 1964 Helsinki Declaration and its later amendments or comparable ethical standards.

Informed consent

Informed consent was obtained from all individual participants included in the study.

Rights and permissions

Reprints and Permissions

About this article

Verify currency and authenticity via CrossMark

Cite this article

Koc, A.S., Demirtas, D., Gorgulu, F.F. et al. Diurnal variation of renal resistive index over 24-hour period in hypertensive patients and healthy controls. Abdom Radiol 44, 1010–1018 (2019). https://doi.org/10.1007/s00261-018-1798-3

Download citation

  • Published:

  • Issue Date:

  • DOI: https://doi.org/10.1007/s00261-018-1798-3

Keywords

  • Hypertension
  • Renal resistive index
  • Variation