Skip to main content

Correlation between combining 18F–FDG PET/CT metabolic parameters and other clinical features and ALK or ROS1 fusion in patients with non-small-cell lung cancer

Abstract

Purpose

Our study intended to explore the association between combining 18F–FDG PET/CT metabolic parameters and other clinical features and anaplastic lymphoma kinase (ALK) or c-ros oncogene 1 (ROS1) fusion in non-small-cell lung cancer (NSCLC).

Methods

Eight hundred and six patients with wild-type epidermal growth factor receptor (EGFR) mutation were screened for ALK or ROS1 fusion and subjected to 18F–FDG PET/CT prior to treatment at our hospital. The associations between ALK or ROS1 fusion and clinical characteristics and the PET/CT parameters were analyzed. Multivariate logistic regression analysis was performed to explore independent deterministic factors associated with ALK and ROS1 fusion.

Results

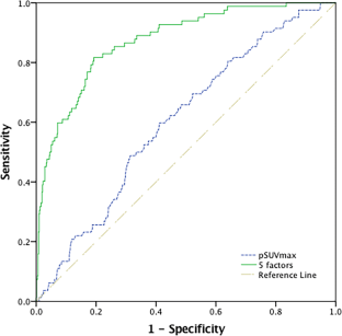
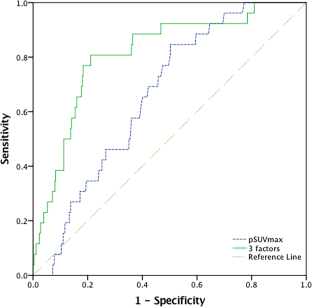
Eighty-two patients (11.7%) with ALK fusion were found. Multivariate analysis demonstrated that high pSUVmax ≥ 10.6, low primary tumor lesion glycolysis (pTLG) < 101.8, young age, nonsmoker status, and high carcinoembryonic antigen (CEA) level correlated with ALK fusion in NSCLC. The receiver operating characteristic (ROC) curve yielded the area under curve (AUC) values of 0.603 and 0.873 for high pSUVmax alone and the combination of the five factors, respectively. Twenty-six patients (5.6%) with ROS1 fusion were found. Multivariate analysis revealed that high pSUVmax ≥ 8.8, young age, and nonsmoker status correlated with ROS1 fusion in NSCLC. The ROC curve yielded AUC values of 0.662 and 0.813 for high pSUVmax alone and the combination of the three factors, respectively.

Conclusion

The study indicated that combining 18F–FDG PET/CT metabolic parameters and other clinical parameters were correlated with ALK and ROS1 mutation in NSCLC patients and may help to refine the process of optimal patient selection to gene test for targeted therapy.

This is a preview of subscription content, access via your institution.

Fig. 1
Fig. 2

References

  1. Torre LA, Bray F, Siegel RL, Ferlay J, Lortet-Tieulent J, Jemal A. Global cancer statistics, 2012. CA Cancer J Clin. 2015;65:87–108. https://doi.org/10.3322/caac.21262.

    Article  Google Scholar 

  2. Herbst RS, Lippman SM. Molecular signatures of lung cancer--toward personalized therapy. N Engl J Med. 2007;356:76–8. https://doi.org/10.1056/NEJMe068218.

    CAS  Article  PubMed  Google Scholar 

  3. Ou SH, Bartlett CH, Mino-Kenudson M, Cui J, Iafrate AJ. Crizotinib for the treatment of ALK-rearranged non-small cell lung cancer: a success story to usher in the second decade of molecular targeted therapy in oncology. Oncologist. 2012;17:1351–75. https://doi.org/10.1634/theoncologist.2012-0311.

    CAS  Article  PubMed  PubMed Central  Google Scholar 

  4. Soda M, Choi YL, Enomoto M, Takada S, Yamashita Y, Ishikawa S, et al. Identification of the transforming EML4-ALK fusion gene in non-small-cell lung cancer. Nature. 2007;448:561–6. https://doi.org/10.1038/nature05945.

    CAS  Article  PubMed  Google Scholar 

  5. Kwak EL, Bang YJ, Camidge DR, Shaw AT, Solomon B, Maki RG, et al. Anaplastic lymphoma kinase inhibition in non-small-cell lung cancer. N Engl J Med. 2010;363:1693–703. https://doi.org/10.1056/NEJMoa1006448.

    CAS  Article  PubMed  PubMed Central  Google Scholar 

  6. Ou SH, Kwak EL, Siwak-Tapp C, Dy J, Bergethon K, Clark JW, et al. Activity of crizotinib (PF02341066), a dual mesenchymal-epithelial transition (MET) and anaplastic lymphoma kinase (ALK) inhibitor, in a non-small cell lung cancer patient with de novo MET amplification. J Thorac Oncol. 2011;6:942–6. https://doi.org/10.1097/JTO.0b013e31821528d3.

    Article  PubMed  Google Scholar 

  7. Leighl NB, Rekhtman N, Biermann WA, Huang J, Mino-Kenudson M, Ramalingam SS, et al. Molecular testing for selection of patients with lung cancer for epidermal growth factor receptor and anaplastic lymphoma kinase tyrosine kinase inhibitors: American Society of Clinical Oncology endorsement of the College of American Pathologists/international association for the study of lung cancer/association for molecular pathology guideline. J Clin Oncol. 2014;32:3673–9. https://doi.org/10.1200/jco.2014.57.3055.

    Article  PubMed  PubMed Central  Google Scholar 

  8. Chin LP, Soo RA, Soong R, Ou SH. Targeting ROS1 with anaplastic lymphoma kinase inhibitors: a promising therapeutic strategy for a newly defined molecular subset of non-small-cell lung cancer. J Thorac Oncol. 2012;7:1625–30. https://doi.org/10.1097/JTO.0b013e31826baf83.

    CAS  Article  PubMed  Google Scholar 

  9. Bergethon K, Shaw AT, Ou SH, Katayama R, Lovly CM, McDonald NT, et al. ROS1 rearrangements define a unique molecular class of lung cancers. J Clin Oncol. 2012;30:863–70. https://doi.org/10.1200/jco.2011.35.6345.

    CAS  Article  PubMed  PubMed Central  Google Scholar 

  10. Kohno T, Nakaoku T, Tsuta K, Tsuchihara K, Matsumoto S, Yoh K, et al. Beyond ALK-RET, ROS1 and other oncogene fusions in lung cancer. Transl Lung Cancer Res. 2015;4:156–64. https://doi.org/10.3978/j.issn.2218-6751.2014.11.11.

    CAS  Article  PubMed  PubMed Central  Google Scholar 

  11. Mazieres J, Zalcman G, Crino L, Biondani P, Barlesi F, Filleron T, et al. Crizotinib therapy for advanced lung adenocarcinoma and a ROS1 rearrangement: results from the EUROS1 cohort. J Clin Oncol. 2015;33:992–9. https://doi.org/10.1200/jco.2014.58.3302.

    CAS  Article  PubMed  Google Scholar 

  12. Shaw AT, Ou SH, Bang YJ, Camidge DR, Solomon BJ, Salgia R, et al. Crizotinib in ROS1-rearranged non-small-cell lung cancer. N Engl J Med. 2014;371:1963–71. https://doi.org/10.1056/NEJMoa1406766.

    CAS  Article  PubMed  PubMed Central  Google Scholar 

  13. Putora PM, Szentesi K, Glatzer M, Rodriguez R, Muller J, Baty F, et al. SUVmax and tumour location in PET-CT predict oncogene status in lung Cancer. Oncol Res Treat. 2016;39:681–6. https://doi.org/10.1159/000450622.

    CAS  Article  PubMed  Google Scholar 

  14. Jadvar H, Alavi A, Gambhir SS. 18F-FDG uptake in lung, breast, and colon cancers: molecular biology correlates and disease characterization. J Nucl Med. 2009;50:1820–7. https://doi.org/10.2967/jnumed.108.054098.

    Article  PubMed  PubMed Central  Google Scholar 

  15. Na II, Byun BH, Kim KM, Cheon GJ, Choe du H, Koh JS, et al. 18F-FDG uptake and EGFR mutations in patients with non-small cell lung cancer: a single-institution retrospective analysis. Lung Cancer (Amsterdam, Netherlands). 2010;67:76–80. https://doi.org/10.1016/j.lungcan.2009.03.010.

    Article  Google Scholar 

  16. Mak RH, Digumarthy SR, Muzikansky A, Engelman JA, Shepard JA, Choi NC, et al. Role of 18F-fluorodeoxyglucose positron emission tomography in predicting epidermal growth factor receptor mutations in non-small cell lung cancer. Oncologist. 2011;16:319–26. https://doi.org/10.1634/theoncologist.2010-0300.

    CAS  Article  PubMed  PubMed Central  Google Scholar 

  17. Jeong CJ, Lee HY, Han J, Jeong JY, Lee KS, Choi YL, et al. Role of imaging biomarkers in predicting anaplastic lymphoma kinase-positive lung adenocarcinoma. Clin Nucl Med. 2015;40:e34–9. https://doi.org/10.1097/rlu.0000000000000581.

    Article  PubMed  Google Scholar 

  18. Lv Z, Fan J, Xu J, Wu F, Huang Q, Guo M, et al. Value of (18)F-FDG PET/CT for predicting EGFR mutations and positive ALK expression in patients with non-small cell lung cancer: a retrospective analysis of 849 Chinese patients. Eur J Nucl Med Mol Imaging. 2018;45:735–50. https://doi.org/10.1007/s00259-017-3885-z.

    CAS  Article  PubMed  Google Scholar 

  19. Choi H, Paeng JC, Kim DW, Lee JK, Park CM, Kang KW, et al. Metabolic and metastatic characteristics of ALK-rearranged lung adenocarcinoma on FDG PET/CT. Lung Cancer (Amsterdam, Netherlands). 2013;79:242–7. https://doi.org/10.1016/j.lungcan.2012.11.021.

    Article  Google Scholar 

  20. Larson SM, Erdi Y, Akhurst T, Mazumdar M, Macapinlac HA, Finn RD, et al. Tumor treatment response based on visual and quantitative changes in global tumor glycolysis using PET-FDG imaging. The visual response score and the change in Total lesion glycolysis. Clin Positron Imaging. 1999;2:159–71.

    Article  Google Scholar 

  21. Zhang C, Liao C, Penney BC, Appelbaum DE, Simon CA, Pu Y. Relationship between overall survival of patients with non-small cell lung cancer and whole-body metabolic tumor burden seen on postsurgical fluorodeoxyglucose PET images. Radiology. 2015;275:862–9. https://doi.org/10.1148/radiol.14141398.

    Article  PubMed  PubMed Central  Google Scholar 

  22. Lee EY, Khong PL, Lee VH, Qian W, Yu X, Wong MP. Metabolic phenotype of stage IV lung adenocarcinoma: relationship with epidermal growth factor receptor mutation. Clin Nucl Med. 2015;40:e190–5. https://doi.org/10.1097/rlu.0000000000000684.

    Article  PubMed  Google Scholar 

  23. Meng X, Sun X, Mu D, Xing L, Ma L, Zhang B, et al. Noninvasive evaluation of microscopic tumor extensions using standardized uptake value and metabolic tumor volume in non-small-cell lung cancer. Int J Radiat Oncol Biol Phys. 2012;82:960–6. https://doi.org/10.1016/j.ijrobp.2010.10.064.

    Article  PubMed  Google Scholar 

  24. Wahl RL, Jacene H, Kasamon Y, Lodge MA. From RECIST to PERCIST: evolving considerations for PET response criteria in solid tumors. J Nucl Med. 2009;50(Suppl 1):122s–50s. https://doi.org/10.2967/jnumed.108.057307.

    CAS  Article  PubMed  PubMed Central  Google Scholar 

  25. Kahraman D, Holstein A, Scheffler M, Zander T, Nogova L, Lammertsma AA, et al. Tumor lesion glycolysis and tumor lesion proliferation for response prediction and prognostic differentiation in patients with advanced non-small cell lung cancer treated with erlotinib. Clin Nucl Med. 2012;37:1058–64. https://doi.org/10.1097/RLU.0b013e3182639747.

    Article  PubMed  Google Scholar 

  26. Stoecklein NH, Klein CA. Genetic disparity between primary tumours, disseminated tumour cells, and manifest metastasis. Int J Cancer. 2010;126:589–98. https://doi.org/10.1002/ijc.24916.

    CAS  Article  PubMed  Google Scholar 

  27. Klein CA. Parallel progression of primary tumours and metastases. Nat Rev Cancer. 2009;9:302–12. https://doi.org/10.1038/nrc2627.

    CAS  Article  PubMed  Google Scholar 

  28. Kosaka N, Tsuchida T, Tsuji K, Shimizu K, Kimura H. Standardized uptake value differences between primary and metastatic lesions in (1)(8)F-FDG PET/CT of patients with lung cancer. Acta Radiol. 2015;56:1329–35. https://doi.org/10.1177/0284185114556705.

    Article  PubMed  Google Scholar 

  29. Vesselle H, Schmidt RA, Pugsley JM, Li M, Kohlmyer SG, Vallires E, et al. Lung cancer proliferation correlates with [F-18]fluorodeoxyglucose uptake by positron emission tomography. Clin Cancer Res. 2000;6:3837–44.

    CAS  PubMed  Google Scholar 

  30. Wang YW, Tu PH, Lin KT, Lin SC, Ko JY, Jou YS. Identification of oncogenic point mutations and hyperphosphorylation of anaplastic lymphoma kinase in lung cancer. Neoplasia (New York, NY). 2011;13:704–15.

    CAS  Article  Google Scholar 

  31. Yip SS, Kim J, Coroller TP, Parmar C, Velazquez ER, Huynh E, et al. Associations between somatic mutations and metabolic imaging phenotypes in non-small cell lung Cancer. J Nucl Med. 2017;58:569–76. https://doi.org/10.2967/jnumed.116.181826.

    CAS  Article  PubMed  PubMed Central  Google Scholar 

  32. Liao S, Penney BC, Zhang H, Suzuki K, Pu Y. Prognostic value of the quantitative metabolic volumetric measurement on 18F-FDG PET/CT in stage IV nonsurgical small-cell lung cancer. Acad Radiol. 2012;19:69–77. https://doi.org/10.1016/j.acra.2011.08.020.

    Article  PubMed  Google Scholar 

  33. Chen HH, Chiu NT, Su WC, Guo HR, Lee BF. Prognostic value of whole-body total lesion glycolysis at pretreatment FDG PET/CT in non-small cell lung cancer. Radiology. 2012;264:559–66. https://doi.org/10.1148/radiol.12111148.

    Article  PubMed  Google Scholar 

  34. Im HJ, Pak K, Cheon GJ, Kang KW, Kim SJ, Kim IJ, et al. Prognostic value of volumetric parameters of (18)F-FDG PET in non-small-cell lung cancer: a meta-analysis. Eur J Nucl Med Mol Imaging. 2015;42:241–51. https://doi.org/10.1007/s00259-014-2903-7.

    CAS  Article  PubMed  Google Scholar 

  35. Lee JK, Park HS, Kim DW, Kulig K, Kim TM, Lee SH, et al. Comparative analyses of overall survival in patients with anaplastic lymphoma kinase-positive and matched wild-type advanced nonsmall cell lung cancer. Cancer. 2012;118:3579–86. https://doi.org/10.1002/cncr.26668.

    CAS  Article  PubMed  Google Scholar 

  36. Yang P, Kulig K, Boland JM, Erickson-Johnson MR, Oliveira AM, Wampfler J, et al. Worse disease-free survival in never-smokers with ALK+ lung adenocarcinoma. J Thorac Oncol. 2012;7:90–7. https://doi.org/10.1097/JTO.0b013e31823c5c32.

    Article  PubMed  PubMed Central  Google Scholar 

  37. Blackhall FH, Peters S, Bubendorf L, Dafni U, Kerr KM, Hager H, et al. Prevalence and clinical outcomes for patients with ALK-positive resected stage I to III adenocarcinoma: results from the European thoracic oncology platform Lungscape project. J Clin Oncol. 2014;32:2780–7. https://doi.org/10.1200/jco.2013.54.5921.

    Article  PubMed  Google Scholar 

  38. Kim TJ, Lee CT, Jheon SH, Park JS, Chung JH. Radiologic characteristics of surgically resected non-small cell lung Cancer with ALK rearrangement or EGFR mutations. Ann Thorac Surg. 2016;101:473–80. https://doi.org/10.1016/j.athoracsur.2015.07.062.

    Article  PubMed  Google Scholar 

  39. Wu SG, Kuo YW, Chang YL, Shih JY, Chen YH, Tsai MF, et al. EML4-ALK translocation predicts better outcome in lung adenocarcinoma patients with wild-type EGFR. J Thorac Oncol. 2012;7:98–104. https://doi.org/10.1097/JTO.0b013e3182370e30.

    CAS  Article  PubMed  Google Scholar 

  40. Jin Y, Sun PL, Park SY, Kim H, Park E, Kim G, et al. Frequent aerogenous spread with decreased E-cadherin expression of ROS1-rearranged lung cancer predicts poor disease-free survival. Lung Cancer (Amsterdam, Netherlands). 2015;89:343–9. https://doi.org/10.1016/j.lungcan.2015.06.012.

    Article  Google Scholar 

  41. Shaw AT, Yeap BY, Mino-Kenudson M, Digumarthy SR, Costa DB, Heist RS, et al. Clinical features and outcome of patients with non-small-cell lung cancer who harbor EML4-ALK. J Clin Oncol. 2009;27:4247–53. https://doi.org/10.1200/jco.2009.22.6993.

    CAS  Article  PubMed  PubMed Central  Google Scholar 

  42. Solomon B. Validating ROS1 rearrangements as a therapeutic target in non-small-cell lung cancer. J Clin Oncol. 2015;33:972–4. https://doi.org/10.1200/jco.2014.59.8334.

    CAS  Article  PubMed  Google Scholar 

  43. Zhang Q, Wu C, Ding W, Zhang Z, Qiu X, Mu D, et al. Prevalence of ROS1 fusion in Chinese patients with non-small cell lung cancer. Thorac Cancer. 2019;10:47–53. https://doi.org/10.1111/1759-7714.12899.

    CAS  Article  PubMed  Google Scholar 

  44. Koh Y, Kim DW, Kim TM, Lee SH, Jeon YK, Chung DH, et al. Clinicopathologic characteristics and outcomes of patients with anaplastic lymphoma kinase-positive advanced pulmonary adenocarcinoma: suggestion for an effective screening strategy for these tumors. J Thorac Oncol. 2011;6:905–12. https://doi.org/10.1097/JTO.0b013e3182111461.

    Article  PubMed  Google Scholar 

  45. Paik JH, Choi CM, Kim H, Jang SJ, Choe G, Kim DK, et al. Clinicopathologic implication of ALK rearrangement in surgically resected lung cancer: a proposal of diagnostic algorithm for ALK-rearranged adenocarcinoma. Lung Cancer (Amsterdam, Netherlands). 2012;76:403–9. https://doi.org/10.1016/j.lungcan.2011.11.008.

    Article  Google Scholar 

  46. Kim TJ, Park CK, Yeo CD, Park K, Rhee CK, Kim J, et al. Simultaneous diagnostic platform of genotyping EGFR, KRAS, and ALK in 510 Korean patients with non-small-cell lung cancer highlights significantly higher ALK rearrangement rate in advanced stage. J Surg Oncol. 2014;110:245–51. https://doi.org/10.1002/jso.23646.

    CAS  Article  PubMed  Google Scholar 

  47. Molina R, Filella X, Auge JM, Fuentes R, Bover I, Rifa J, et al. Tumor markers (CEA, CA 125, CYFRA 21-1, SCC and NSE) in patients with non-small cell lung cancer as an aid in histological diagnosis and prognosis. Comparison with the main clinical and pathological prognostic factors. Tumour Biol. 2003;24:209–18. https://doi.org/10.1159/000074432.

    CAS  Article  PubMed  Google Scholar 

  48. Wang L, Wang D, Zheng G, Yang Y, Du L, Dong Z, et al. Clinical evaluation and therapeutic monitoring value of serum tumor markers in lung cancer. Int J Biol Markers. 2016;31:e80–7. https://doi.org/10.5301/jbm.5000177.

    Article  PubMed  Google Scholar 

  49. Chen Y, Gao SG, Chen JM, Wang GP, Wang ZF, Zhou B, et al. Serum CA242, CA199, CA125, CEA, and TSGF are biomarkers for the efficacy and prognosis of Cryoablation in pancreatic Cancer patients. Cell Biochem Biophys. 2015;71:1287–91. https://doi.org/10.1007/s12013-014-0345-2.

    CAS  Article  PubMed  Google Scholar 

  50. Zhong W, Yu Z, Zhan J, Yu T, Lin Y, Xia ZS, et al. Association of serum levels of CEA, CA199, CA125, CYFRA21-1 and CA72-4 and disease characteristics in colorectal cancer. Pathol Oncol Res. 2015;21:83–95. https://doi.org/10.1007/s12253-014-9791-9.

    CAS  Article  PubMed  Google Scholar 

  51. Sheu CC, Chang MY, Chang HC, Tsai JR, Lin SR, Chang SJ, et al. Combined detection of CEA, CK-19 and c-met mRNAs in peripheral blood: a highly sensitive panel for potential molecular diagnosis of non-small cell lung cancer. Oncology. 2006;70:203–11. https://doi.org/10.1159/000094321.

    CAS  Article  PubMed  Google Scholar 

  52. Foa P, Fornier M, Miceli R, Seregni E, Santambrogio L, Nosotti M, et al. Tumour markers CEA, NSE, SCC, TPA and CYFRA 21.1 in resectable non-small cell lung cancer. Anticancer Res. 1999;19:3613–8.

    CAS  PubMed  Google Scholar 

  53. Wang WT, Li Y, Ma J, Chen XB, Qin JJ. Serum carcinoembryonic antigen levels before initial treatment are associated with EGFR mutations and EML4- ALK fusion gene in lung adenocarcinoma patients. Asian Pac J Cancer Prev. 2014;15:3927–32.

    Article  Google Scholar 

  54. Ishiguro F, Fukui T, Mori S, Katayama T, Sakakura N, Hatooka S, et al. Serum carcinoembryonic antigen level as a surrogate marker for the evaluation of tumor response to chemotherapy in nonsmall cell lung cancer. Ann Thorac Cardiovasc Surg. 2010;16:242–7.

    PubMed  Google Scholar 

  55. Horinouchi H, Sekine I, Sumi M, Ito Y, Nokihara H, Yamamoto N, et al. Brain metastases after definitive concurrent chemoradiotherapy in patients with stage III lung adenocarcinoma: carcinoembryonic antigen as a potential predictive factor. Cancer Sci. 2012;103:756–9. https://doi.org/10.1111/j.1349-7006.2012.02217.x.

    CAS  Article  PubMed  Google Scholar 

  56. Wang Z, Yang S, Lu H. Preoperative serum carcinoembryonic antigen levels are associated with histologic subtype, EGFR mutations, and ALK fusion in patients with completely resected lung adenocarcinoma. Onco Targets Ther. 2017;10:3345–51. https://doi.org/10.2147/ott.s134452.

    CAS  Article  PubMed  PubMed Central  Google Scholar 

  57. Miao Y, Zhu S, Li H, Zou J, Zhu Q, Lv T, et al. Comparison of clinical and radiological characteristics between anaplastic lymphoma kinase rearrangement and epidermal growth factor receptor mutation in treatment naive advanced lung adenocarcinoma. J Thorac Dis. 2017;9:3927–37. https://doi.org/10.21037/jtd.2017.08.134.

    Article  PubMed  PubMed Central  Google Scholar 

  58. Fukui T, Yatabe Y, Kobayashi Y, Tomizawa K, Ito S, Hatooka S, et al. Clinicoradiologic characteristics of patients with lung adenocarcinoma harboring EML4-ALK fusion oncogene. Lung Cancer (Amsterdam, Netherlands). 2012;77:319–25. https://doi.org/10.1016/j.lungcan.2012.03.013.

    Article  Google Scholar 

  59. Thunnissen E, Kerr KM, Herth FJ, Lantuejoul S, Papotti M, Rintoul RC, et al. The challenge of NSCLC diagnosis and predictive analysis on small samples. Practical approach of a working group. Lung Cancer (Amsterdam, Netherlands). 2012;76:1–18. https://doi.org/10.1016/j.lungcan.2011.10.017.

    Article  Google Scholar 

Download references

Funding

This study was supported by the Scientific Research project of Shanghai Municipal Commission of Health and Family Planning (grant number 20174Y0077), the Natural Science Foundation of Shanghai (grant number 18ZR1435200) and the National Natural Science Foundation of China (grant number 81602415).

Author information

Affiliations

Authors

Corresponding author

Correspondence to Wenhui Xie.

Ethics declarations

Conflict of interest

The authors declare that they have no conflict of interest.

Ethical approval

All procedures performed in studies involving human participants were approved by the Institutional Review Board of Shanghai Jiao Tong University-affiliated Shanghai Chest Hospital and with the 1964 Helsinki declaration and its later amendments or comparable ethical standards. For this type of study formal consent is not required. This article does not contain any animal experiments.

Additional information

Publisher’s note

Springer Nature remains neutral with regard to jurisdictional claims in published maps and institutional affiliations.

This article is part of the Topical Collection on Oncology – Chest

Maomei Ruan and Liu Liu were the co-first authors.

Rights and permissions

Reprints and Permissions

About this article

Verify currency and authenticity via CrossMark

Cite this article

Ruan, M., Liu, L., Wang, L. et al. Correlation between combining 18F–FDG PET/CT metabolic parameters and other clinical features and ALK or ROS1 fusion in patients with non-small-cell lung cancer. Eur J Nucl Med Mol Imaging 47, 1183–1197 (2020). https://doi.org/10.1007/s00259-019-04652-6

Download citation

  • Received:

  • Accepted:

  • Published:

  • Issue Date:

  • DOI: https://doi.org/10.1007/s00259-019-04652-6

Keywords

  • Anaplastic lymphoma kinase
  • C-ros oncogene 1
  • Non-small cell lung cancer
  • Standard uptake value
  • Total lesion glycolysis