Skip to main content

Correlative analyses between tissue-based hypoxia biomarkers and hypoxia PET imaging in head and neck cancer patients during radiochemotherapy—results from a prospective trial

Abstract

Purpose

Tumor hypoxia impairs the response of head-and-neck cancer (HNSCC) patients to radiotherapy and can be detected both by tissue biomarkers and PET imaging. However, the value of hypoxia biomarkers and imaging for predicting HNSCC patient outcomes are incompletely understood, and potential correlations between tissue and PET data remain to be elucidated. Here, we performed exploratory analyses of potential correlations between tissue-based hypoxia biomarkers and longitudinal hypoxia imaging in a prospective trial of HNSCC patients.

Methods

Forty-nine patients undergoing chemoradiation for locally advanced HNSCCs were enrolled in this prospective trial. They underwent baseline biopsies and [18F]FDG PET imaging and [18F]FMISO PET at weeks 0, 2, and 5 during treatment. Immunohistochemical analyses for p16, Ki67, CD34, HIF1α, CAIX, Ku80, and CD44 were performed, and HPV status was assessed. Biomarker expression was correlated with biological imaging information and patient outcome data.

Results

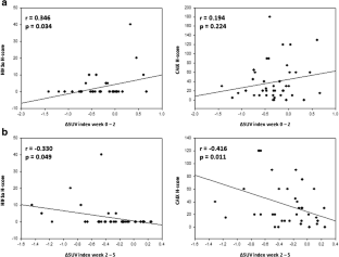
High HIF1α tumor levels significantly correlated with increased tumor hypoxia at week 2 as assessed by the difference in the [18F]FMISO tumor-to-background ratios, and high HIF1α and CAIX expressions were both associated with a deferred decrease in hypoxia between weeks 2 and 5. Loco-regional recurrence rates after radiotherapy were significantly higher in patients with high CAIX expression and also increased for high levels of the DNA repair factor Ku80. HPV status did not correlate with any of the tested hypoxia biomarkers, and HPV-positive patients showed higher loco-regional control rates and progression-free survival independent of their hypoxia dynamics.

Conclusion

In this exploratory trial, high expression of the tissue-based hypoxia biomarkers HIF1α and CAIX correlated with adverse hypoxia dynamics in HNSCCs during chemoradiation as assessed by PET imaging, and high CAIX levels were associated with increased loco-regional recurrence rates. Hence, hypoxia biomarkers warrant further investigations as potential predictors of hypoxia dynamics and hypoxia-associated radiation resistance.

This is a preview of subscription content, access via your institution.

Fig. 1
Fig. 2
Fig. 3
Fig. 4

References

  1. Bray F, Ferlay J, Soerjomataram I, Siegel RL, Torre LA, Jemal A. Global cancer statistics 2018: GLOBOCAN estimates of incidence and mortality worldwide for 36 cancers in 185 countries. CA Cancer J Clin. 2018;68(6):394–424.

    Article  PubMed  PubMed Central  Google Scholar 

  2. Bonner JA, Harari PM, Giralt J, Azarnia N, Shin DM, Cohen RB, et al. Radiotherapy plus cetuximab for squamous-cell carcinoma of the head and neck. N Engl J Med. 2006;354(6):567–78.

    Article  CAS  PubMed  PubMed Central  Google Scholar 

  3. Blanchard P, Baujat B, Holostenco V, Bourredjem A, Baey C, Bourhis J. Pignon JP, group M-CC: Meta-analysis of chemotherapy in head and neck cancer (MACH-NC): a comprehensive analysis by tumour site. Radiother Oncol. 2011;100(1):33–40.

    Article  PubMed  PubMed Central  Google Scholar 

  4. Baumann R, Depping R, Delaperriere M, Dunst J. Targeting hypoxia to overcome radiation resistance in head & neck cancers: real challenge or clinical fairytale? Expert Rev Anticancer Ther. 2016;16(7):751–8.

    Article  CAS  PubMed  PubMed Central  Google Scholar 

  5. Zips D, Zophel K, Abolmaali N, Perrin R, Abramyuk A, Haase R, et al. Exploratory prospective trial of hypoxia-specific PET imaging during radiochemotherapy in patients with locally advanced head-and-neck cancer. Radiother Oncol. 2012;105(1):21–8.

    Article  PubMed  PubMed Central  Google Scholar 

  6. Kwon OJ, Park JJ, Ko GH, Seo JH, Jeong BK, Kang KM, et al. HIF-1alpha and CA-IX as predictors of locoregional control for determining the optimal treatment modality for early-stage laryngeal carcinoma. Head Neck. 2015;37(4):505–10.

    Article  PubMed  PubMed Central  Google Scholar 

  7. Wiedenmann N, Bunea H, Rischke HC, Bunea A, Majerus L, Bielak L, et al. Effect of radiochemotherapy on T2* MRI in HNSCC and its relation to FMISO PET derived hypoxia and FDG PET. Radiat Oncol. 2018;13(1):159.

    Article  CAS  PubMed  PubMed Central  Google Scholar 

  8. Eriksen JG, Overgaard J, Danish H. Neck Cancer Study G: Lack of prognostic and predictive value of CA IX in radiotherapy of squamous cell carcinoma of the head and neck with known modifiable hypoxia: an evaluation of the DAHANCA 5 study. Radiother Oncol. 2007;83(3):383–8.

    Article  CAS  PubMed  PubMed Central  Google Scholar 

  9. Toustrup K, Sorensen BS, Nordsmark M, Busk M, Wiuf C, Alsner J, et al. Development of a hypoxia gene expression classifier with predictive impact for hypoxic modification of radiotherapy in head and neck cancer. Cancer Res. 2011;71(17):5923–31.

    Article  CAS  PubMed  PubMed Central  Google Scholar 

  10. Rajendran JG, Schwartz DL, O'Sullivan J, Peterson LM, Ng P, Scharnhorst J, et al. Tumor hypoxia imaging with [F-18] fluoromisonidazole positron emission tomography in head and neck cancer. Clin Cancer Res. 2006;12(18):5435–41.

    Article  CAS  PubMed  PubMed Central  Google Scholar 

  11. Rasey JS, Koh WJ, Evans ML, Peterson LM, Lewellen TK, Graham MM, et al. Quantifying regional hypoxia in human tumors with positron emission tomography of [18F]fluoromisonidazole: a pretherapy study of 37 patients. Int J Radiat Oncol Biol Phys. 1996;36(2):417–28.

    Article  CAS  PubMed  PubMed Central  Google Scholar 

  12. Lock S, Perrin R, Seidlitz A, Bandurska-Luque A, Zschaeck S, Zophel K, et al. Residual tumour hypoxia in head-and-neck cancer patients undergoing primary radiochemotherapy, final results of a prospective trial on repeat FMISO-PET imaging. Radiother Oncol. 2017;124(3):533–40.

    Article  PubMed  PubMed Central  Google Scholar 

  13. Sachpekidis C, Thieke C, Askoxylakis V, Nicolay NH, Huber PE, Thomas M, et al. Combined use of (18)F-FDG and (18)F-FMISO in unresectable non-small cell lung cancer patients planned for radiotherapy: a dynamic PET/CT study. Am J Nucl Med Mol Imaging. 2015;5(2):127–42.

    CAS  PubMed  PubMed Central  Google Scholar 

  14. Grkovski M, Lee NY, Schoder H, Carlin SD, Beattie BJ, Riaz N, et al. Monitoring early response to chemoradiotherapy with (18)F-FMISO dynamic PET in head and neck cancer. Eur J Nucl Med Mol Imaging. 2017;44(10):1682–91.

    Article  CAS  PubMed  PubMed Central  Google Scholar 

  15. Wiedenmann NE, Bucher S, Hentschel M, Mix M, Vach W, Bittner MI, et al. Serial [18F]-fluoromisonidazole PET during radiochemotherapy for locally advanced head and neck cancer and its correlation with outcome. Radiother Oncol. 2015;117(1):113–7.

    Article  PubMed  PubMed Central  Google Scholar 

  16. Bittner MI, Wiedenmann N, Bucher S, Hentschel M, Mix M, Weber WA, et al. Exploratory geographical analysis of hypoxic subvolumes using 18F-MISO-PET imaging in patients with head and neck cancer in the course of primary chemoradiotherapy. Radiother Oncol. 2013;108(3):511–6.

    Article  PubMed  PubMed Central  Google Scholar 

  17. Calzada MJ, del Peso L. Hypoxia-inducible factors and cancer. Clin Transl Oncol. 2007;9(5):278–89.

    Article  CAS  PubMed  PubMed Central  Google Scholar 

  18. Hilvo M, Baranauskiene L, Salzano AM, Scaloni A, Matulis D, Innocenti A, et al. Biochemical characterization of CA IX, one of the most active carbonic anhydrase isozymes. J Biol Chem. 2008;283(41):27799–809.

    Article  CAS  PubMed  PubMed Central  Google Scholar 

  19. Ou D, Garberis I, Adam J, Blanchard P, Nguyen F, Levy A, et al. Prognostic value of tissue necrosis, hypoxia-related markers and correlation with HPV status in head and neck cancer patients treated with bio- or chemo-radiotherapy. Radiother Oncol. 2018;126(1):116–24.

    Article  PubMed  PubMed Central  Google Scholar 

  20. Rodrigues M, Xavier FCA, Andrade NP, Lopes C, Miguita Luiz L, Sedassari BT, et al. Prognostic implications of CD44, NANOG, OCT4, and BMI1 expression in tongue squamous cell carcinoma. Head Neck. 2018;40(8):1759–73.

    PubMed  PubMed Central  Google Scholar 

  21. Schoning JP, Monteiro M, Gu W. Drug resistance and cancer stem cells: the shared but distinct roles of hypoxia-inducible factors HIF1alpha and HIF2alpha. Clin Exp Pharmacol Physiol. 2017;44(2):153–61.

    Article  CAS  PubMed  PubMed Central  Google Scholar 

  22. Kaplan AR, Glazer PM. Impact of hypoxia on DNA repair and genome integrity. Mutagenesis. 2019.

  23. Trinkaus ME, Hicks RJ, Young RJ, Peters LJ, Solomon B, Bressel M, et al. Correlation of p16 status, hypoxic imaging using [18F]-misonidazole positron emission tomography and outcome in patients with loco-regionally advanced head and neck cancer. J Med Imaging Radiat Oncol. 2014;58(1):89–97.

    Article  PubMed  PubMed Central  Google Scholar 

  24. Welz S, Monnich D, Pfannenberg C, Nikolaou K, Reimold M, La Fougere C, et al. Prognostic value of dynamic hypoxia PET in head and neck cancer: results from a planned interim analysis of a randomized phase II hypoxia-image guided dose escalation trial. Radiother Oncol. 2017;124(3):526–32.

    Article  PubMed  PubMed Central  Google Scholar 

  25. Rohwer N, Zasada C, Kempa S, Cramer T. The growing complexity of HIF-1alpha’s role in tumorigenesis: DNA repair and beyond. Oncogene. 2013;32(31):3569–76.

    Article  CAS  PubMed  PubMed Central  Google Scholar 

  26. Wobb J, Krueger SA, Kane JL, Galoforo S, Grills IS, Wilson GD, et al. The effects of pulsed radiation therapy on tumor oxygenation in 2 murine models of head and neck squamous cell carcinoma. Int J Radiat Oncol Biol Phys. 2015;92(4):820–8.

    Article  CAS  PubMed  PubMed Central  Google Scholar 

  27. Calvo-Asensio I, Dillon ET, Lowndes NF, Ceredig R. The transcription factor Hif-1 enhances the radio-resistance of mouse MSCs. Front Physiol. 2018;9:439.

    Article  PubMed  PubMed Central  Google Scholar 

  28. Liu J, Zhang J, Wang X, Li Y, Chen Y, Li K, et al. HIF-1 and NDRG2 contribute to hypoxia-induced radioresistance of cervical cancer Hela cells. Exp Cell Res. 2010;316(12):1985–93.

    Article  CAS  PubMed  PubMed Central  Google Scholar 

  29. Swartz JE, Pothen AJ, van Kempen PM, Stegeman I, Formsma FK, Cann EM, et al. Poor prognosis in human papillomavirus-positive oropharyngeal squamous cell carcinomas that overexpress hypoxia inducible factor-1alpha. Head Neck. 2016;38(9):1338–46.

    Article  PubMed  PubMed Central  Google Scholar 

  30. Beasley NJ, Leek R, Alam M, Turley H, Cox GJ, Gatter K, et al. Hypoxia-inducible factors HIF-1alpha and HIF-2alpha in head and neck cancer: relationship to tumor biology and treatment outcome in surgically resected patients. Cancer Res. 2002;62(9):2493–7.

    CAS  PubMed  PubMed Central  Google Scholar 

  31. Winter SC, Shah KA, Han C, Campo L, Turley H, Leek R, et al. The relation between hypoxia-inducible factor (HIF)-1alpha and HIF-2alpha expression with anemia and outcome in surgically treated head and neck cancer. Cancer. 2006;107(4):757–66.

    Article  CAS  PubMed  PubMed Central  Google Scholar 

  32. Norikane T, Yamamoto Y, Maeda Y, Kudomi N, Matsunaga T, Haba R, et al. Correlation of (18)F-fluoromisonidazole PET findings with HIF-1alpha and p53 expressions in head and neck cancer: comparison with (18)F-FDG PET. Nucl Med Commun. 2014;35(1):30–5.

    Article  CAS  PubMed  PubMed Central  Google Scholar 

  33. Sato J, Kitagawa Y, Watanabe S, Asaka T, Ohga N, Hirata K, et al. (18)F-Fluoromisonidazole positron emission tomography (FMISO-PET) may reflect hypoxia and cell proliferation activity in oral squamous cell carcinoma. Oral Surg Oral Med Oral Pathol Oral Radiol. 2017;124(3):261–70.

    Article  PubMed  PubMed Central  Google Scholar 

  34. Betts GN, Eustace A, Patiar S, Valentine HR, Irlam J, Ramachandran A, et al. Prospective technical validation and assessment of intra-tumour heterogeneity of a low density array hypoxia gene profile in head and neck squamous cell carcinoma. Eur J Cancer. 2013;49(1):156–65.

    Article  PubMed  PubMed Central  Google Scholar 

  35. Peterle GT, Maia LL, Trivilin LO, de Oliveira MM, Dos Santos JG, Mendes SO, et al. PAI-1, CAIX, and VEGFA expressions as prognosis markers in oral squamous cell carcinoma. J Oral Pathol Med. 2018;47(6):566–74.

    Article  CAS  PubMed  PubMed Central  Google Scholar 

  36. Brockton N, Dort J, Lau H, Hao D, Brar S, Klimowicz A, et al. High stromal carbonic anhydrase IX expression is associated with decreased survival in P16-negative head-and-neck tumors. Int J Radiat Oncol Biol Phys. 2011;80(1):249–57.

    Article  CAS  PubMed  PubMed Central  Google Scholar 

  37. Bittner MI, Wiedenmann N, Bucher S, Hentschel M, Mix M, Rucker G, et al. Analysis of relation between hypoxia PET imaging and tissue-based biomarkers during head and neck radiochemotherapy. Acta Oncol. 2016;55(11):1299–304.

    Article  CAS  PubMed  PubMed Central  Google Scholar 

  38. Schrijvers ML, van der Laan BF, de Bock GH, Pattje WJ, Mastik MF, Menkema L, et al. Overexpression of intrinsic hypoxia markers HIF1alpha and CA-IX predict for local recurrence in stage T1-T2 glottic laryngeal carcinoma treated with radiotherapy. Int J Radiat Oncol Biol Phys. 2008;72(1):161–9.

    Article  CAS  PubMed  PubMed Central  Google Scholar 

  39. Brockton NT, Klimowicz AC, Bose P, Petrillo SK, Konno M, Rudmik L, et al. High stromal carbonic anhydrase IX expression is associated with nodal metastasis and decreased survival in patients with surgically-treated oral cavity squamous cell carcinoma. Oral Oncol. 2012;48(7):615–22.

    Article  CAS  PubMed  PubMed Central  Google Scholar 

  40. Hoogsteen IJ, Marres HA, Wijffels KI, Rijken PF, Peters JP, van den Hoogen FJ, et al. Colocalization of carbonic anhydrase 9 expression and cell proliferation in human head and neck squamous cell carcinoma. Clin Cancer Res. 2005;11(1):97–106.

    CAS  PubMed  PubMed Central  Google Scholar 

  41. Jansen JF, Carlson DL, Lu Y, Stambuk HE, Moreira AL, Singh B, et al. Correlation of a priori DCE-MRI and (1)H-MRS data with molecular markers in neck nodal metastases: initial analysis. Oral Oncol. 2012;48(8):717–22.

    Article  CAS  PubMed  PubMed Central  Google Scholar 

  42. Le QT, Kong C, Lavori PW, O’Byrne K, Erler JT, Huang X, et al. Expression and prognostic significance of a panel of tissue hypoxia markers in head-and-neck squamous cell carcinomas. Int J Radiat Oncol Biol Phys. 2007;69(1):167–75.

    Article  CAS  PubMed  PubMed Central  Google Scholar 

  43. Tsuzuki Y, Fukumura D, Oosthuyse B, Koike C, Carmeliet P, Jain RK. Vascular endothelial growth factor (VEGF) modulation by targeting hypoxia-inducible factor-1alpha--> hypoxia response element--> VEGF cascade differentially regulates vascular response and growth rate in tumors. Cancer Res. 2000;60(22):6248–52.

    CAS  PubMed  PubMed Central  Google Scholar 

  44. Moeller BJ, Cao Y, Li CY, Dewhirst MW. Radiation activates HIF-1 to regulate vascular radiosensitivity in tumors: role of reoxygenation, free radicals, and stress granules. Cancer Cell. 2004;5(5):429–41.

    Article  CAS  PubMed  PubMed Central  Google Scholar 

  45. Pavon MA, Parreno M, Leon X, Sancho FJ, Cespedes MV, Casanova I, et al. Ku70 predicts response and primary tumor recurrence after therapy in locally advanced head and neck cancer. Int J Cancer. 2008;123(5):1068–79.

    Article  CAS  PubMed  PubMed Central  Google Scholar 

  46. Moeller BJ, Yordy JS, Williams MD, Giri U, Raju U, Molkentine DP, et al. DNA repair biomarker profiling of head and neck cancer: Ku80 expression predicts locoregional failure and death following radiotherapy. Clin Cancer Res. 2011;17(7):2035–43.

    Article  CAS  PubMed  PubMed Central  Google Scholar 

  47. Ruhle A, Xia O, Perez RL, Trinh T, Richter W, Sarnowska A, et al. The radiation resistance of human multipotent mesenchymal stromal cells is independent of their tissue of origin. Int J Radiat Oncol Biol Phys. 2018;100(5):1259–69.

    Article  CAS  PubMed  PubMed Central  Google Scholar 

  48. Chan N, Koch CJ, Bristow RG. Tumor hypoxia as a modifier of DNA strand break and cross-link repair. Curr Mol Med. 2009;9(4):401–10.

    Article  CAS  PubMed  PubMed Central  Google Scholar 

  49. Wirthner R, Wrann S, Balamurugan K, Wenger RH, Stiehl DP. Impaired DNA double-strand break repair contributes to chemoresistance in HIF-1 alpha-deficient mouse embryonic fibroblasts. Carcinogenesis. 2008;29(12):2306–16.

    Article  CAS  PubMed  PubMed Central  Google Scholar 

Download references

Acknowledgments

We acknowledge Dr. Andrej Bunea, Dr. Hatice Bunea, and Dr. Raluca Stoian for their help with patient recruitment.

Author information

Affiliations

Authors

Corresponding author

Correspondence to Nils H. Nicolay.

Ethics declarations

Conflict of interest

The authors declare that they have no conflict of interest.

Ethical approval

All procedures performed in studies involving human participants were in accordance with the ethical standards of the institutional and/or national research committee (Independent Ethics Committee of the University of Freiburg, reference no. 479/12) and with the 1964 Helsinki declaration and its later amendments or comparable ethical standards.

Additional information

Publisher’s note

Springer Nature remains neutral with regard to jurisdictional claims in published maps and institutional affiliations.

Nils Nicolay and Nicole Wiedenmann contributed equally to this work. Anca Grosu and Gian Kayser share the senior authorship.

This article is part of the Topical Collection on Oncology – Head and Neck

Electronic supplementary material

Supplementary figure 1:
figure 5

HPV and p16-positive HNSCC patients demonstrate improved loco-regional control rates after chemoradiation. Kaplan-Meier curves demonstrating LRC rates for HPV-positive and negative patients (A) and p16-positive and negative patients (B). P values are derived from logrank test. (PNG 225 kb)

Supplementary figure 2:
figure 6

HPV-positive HNSCC patients demonstrate improved overall and progression-free survival rates after chemoradiation. Kaplan-Meier curves demonstrating OS and PFS rates for HPV-positive and negative patients. P values are derived from logrank test. (PNG 274 kb)

Supplementary figure 3:
figure 7

Loco-regional control does not correlate with proliferative and stem cell markers in HNSCC patients. (A) Kaplan-Meier curve showing the LRC rate for the whole cohort. (B) LRC rates for intermediate (G2) and high-grade (G3) HNSCCs. (C) LRC rates for low and high expression of the proliferative marker Ki67. (D) LRC rates for low and high expression of the cancer stem cell marker CD44. P values are derived from logrank test. (PNG 360 kb)

Supplementary figure 4:
figure 8

Representative images demonstrating the differential dynamics of tumor and hypoxic subvolumes during the course of chemoradiation. Time course of tumor volumes (red contours) and hypoxic tumor subvolumes (purple contours) from week 0 to 5 for a representative patient with early (week 0 to 2, upper panel) or delayed (week 2 to 5, lower panel) resolution of tumor hypoxia. (PNG 626 kb)

Supplementary figure 5:
figure 9

SUV index values for individual patients. [18F]FMISO SUV index at weeks 0 (blue bars), 2 (red bars) and 5 (green bars) for each patient enrolled in this trial. (PNG 232 kb)

High Resolution Image (TIF 31 kb)

High Resolution Image (TIF 34 kb)

High Resolution Image (TIF 49 kb)

High Resolution Image (TIF 190 kb)

High Resolution Image (TIF 22 kb)

Supplementary table 1:

Antibodies and protocol specifications used for immunohistochemical analyses (PDF 181 kb)

Supplementary Table 2:

Correlations between tissue-based biomarkers and [18F]FMISO PET imaging parameters. R and p values are derived from Pearson correlation coefficient. *p < 0.05 (PDF 276 kb)

Rights and permissions

Reprints and Permissions

About this article

Verify currency and authenticity via CrossMark

Cite this article

Nicolay, N.H., Wiedenmann, N., Mix, M. et al. Correlative analyses between tissue-based hypoxia biomarkers and hypoxia PET imaging in head and neck cancer patients during radiochemotherapy—results from a prospective trial. Eur J Nucl Med Mol Imaging 47, 1046–1055 (2020). https://doi.org/10.1007/s00259-019-04598-9

Download citation

  • Received:

  • Accepted:

  • Published:

  • Issue Date:

  • DOI: https://doi.org/10.1007/s00259-019-04598-9

Keywords

  • Head and neck cancer
  • Hypoxia
  • FMISO
  • Carbonic anhydrase 9
  • Radiotherapy
  • Chemoradiation