Skip to main content

Volumetric parameters on FDG PET can predict early intrahepatic recurrence-free survival in patients with hepatocellular carcinoma after curative surgical resection

Abstract

Purpose

This study assessed the prognostic values of volumetric parameters on 18F-fluorodeoxyglucose (FDG) positron emission tomography (PET) in predicting early intrahepatic recurrence-free survival (RFS) after curative resection in patients with hepatocellular carcinoma (HCC).

Methods

A retrospective analysis was performed on 242 patients with HCC who underwent staging FDG PET and subsequent curative surgical resection. The tumor-to-non-tumorous liver uptake ratio, metabolic tumor volume (MTV), and total lesion glycolysis (TLG) of the HCC lesions on PET were measured. The prognostic values of clinical factors and PET parameters for predicting overall RFS, overall survival (OS), extrahepatic RFS, and early and late intrahepatic RFS were assessed.

Results

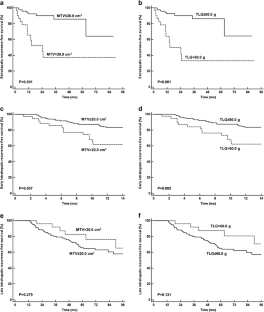
The median follow-up period was 54.7 months, during which 110 patients (45.5%) experienced HCC recurrence and 62 (25.6%) died. Patients with extrahepatic and early intrahepatic recurrence showed worse OS than did those with no recurrence or late intrahepatic recurrence (p < 0.001). Serum bilirubin level, MTV, and TLG were independent prognostic factors for overall RFS and OS (p < 0.05). Only MTV and TLG were prognostic for extrahepatic RFS (p < 0.05). Serum alpha-fetoprotein and bilirubin levels, MTV, and TLG were prognostic for early intrahepatic RFS (p < 0.05) and hepatitis C virus (HCV) positivity and serum albumin level were independently prognostic for late intrahepatic RFS (p < 0.05).

Conclusion

Intrahepatic recurrence showed different prognoses according to the time interval of recurrence in which early recurrence had as poor survival as extrahepatic recurrence. MTV and TLG on initial staging PET were significant independent factors for predicting early intrahepatic and extrahepatic RFS in patients with HCC after curative resection. Only HCV positivity and serum albumin level were significant for late intrahepatic RFS, which is mainly attributable to the de novo formation of new primary HCC.

This is a preview of subscription content, access via your institution.

Fig. 1
Fig. 2

References

  1. Yang JD, Roberts LR. Hepatocellular carcinoma: A global view. Nat Rev Gastroenterol Hepatol. 2010;7:448–58.

    Article  PubMed  PubMed Central  Google Scholar 

  2. European Association For The Study Of The Liver, European Organisation For Research And Treatment Of Cancer. EASL-EORTC clinical practice guidelines: management of hepatocellular carcinoma. J Hepatol. 2012;56:908–43.

    Article  Google Scholar 

  3. Imamura H, Matsuyama Y, Tanaka E, Ohkubo T, Hasegawa K, Miyagawa S, et al. Risk factors contributing to early and late phase intrahepatic recurrence of hepatocellular carcinoma after hepatectomy. J Hepatol. 2003;38:200–7.

    Article  PubMed  Google Scholar 

  4. Poon RT, Fan ST, Ng IO, Lo CM, Liu CL, Wong J. Different risk factors and prognosis for early and late intrahepatic recurrence after resection of hepatocellular carcinoma. Cancer. 2000;89:500–7.

    CAS  Article  PubMed  Google Scholar 

  5. de Lope CR, Tremosini S, Forner A, Reig M, Bruix J. Management of HCC. J Hepatol. 2012;56(Suppl 1):S75–87.

    Article  PubMed  Google Scholar 

  6. Jun L, Zhenlin Y, Renyan G, Yizhou W, Xuying W, Feng X, et al. Independent factors and predictive score for extrahepatic metastasis of hepatocellular carcinoma following curative hepatectomy. Oncologist. 2012;17:963–9.

    Article  PubMed  PubMed Central  Google Scholar 

  7. Uchino K, Tateishi R, Shiina S, Kanda M, Masuzaki R, Kondo Y, et al. Hepatocellular carcinoma with extrahepatic metastasis: clinical features and prognostic factors. Cancer. 2011;117:4475–83.

    Article  PubMed  Google Scholar 

  8. Aino H, Sumie S, Niizeki T, Kuromatsu R, Tajiri N, Nakano M, et al. Clinical characteristics and prognostic factors for advanced hepatocellular carcinoma with extrahepatic metastasis. Mol Clin Oncol. 2014;2:393–8.

    Article  PubMed  PubMed Central  Google Scholar 

  9. Ahn SG, Kim SH, Jeon TJ, Cho HJ, Choi SB, Yun MJ, et al. The role of preoperative [18F]fluorodeoxyglucose positron emission tomography in predicting early recurrence after curative resection of hepatocellular carcinomas. J Gastrointest Surg. 2011;15:2044–52.

    Article  PubMed  Google Scholar 

  10. Liu Y, Wang ZX, Cao Y, Zhang G, Chen WB, Jiang CP. Preoperative inflammation-based markers predict early and late recurrence of hepatocellular carcinoma after curative hepatectomy. Hepatobiliary Pancreat Dis Int. 2016;15:266–74.

    Article  PubMed  Google Scholar 

  11. Takami Y, Eguchi S, Tateishi M, Ryu T, Mikagi K, Wada Y, et al. A randomised controlled trial of meloxicam, a cox-2 inhibitor, to prevent hepatocellular carcinoma recurrence after initial curative treatment. Hepatol Int. 2016;10:799–806.

    Article  PubMed  PubMed Central  Google Scholar 

  12. Takami T, Yamasaki T, Saeki I, Matsumoto T, Suehiro Y, Sakaida I. Supportive therapies for prevention of hepatocellular carcinoma recurrence and preservation of liver function. World J Gastroenterol. 2016;22:7252–63.

    CAS  Article  PubMed  PubMed Central  Google Scholar 

  13. Torizuka T, Tamaki N, Inokuma T, Magata Y, Sasayama S, Yonekura Y, et al. In vivo assessment of glucose metabolism in hepatocellular carcinoma with FDG-PET. J Nucl Med. 1995;36:1811–7.

    CAS  PubMed  Google Scholar 

  14. Ho CL, Yu SC, Yeung DW. 11C-acetate PET imaging in hepatocellular carcinoma and other liver masses. J Nucl Med. 2003;44:213–21.

    PubMed  Google Scholar 

  15. Hyun SH, Eo JS, Lee JW, Choi JY, Lee KH, Na SJ, et al. Prognostic value of (18)F-fluorodeoxyglucose positron emission tomography/computed tomography in patients with Barcelona Clinic liver cancer stages 0 and a hepatocellular carcinomas: a multicenter retrospective cohort study. Eur J Nucl Med Mol Imaging. 2016;43:1638–45.

    Article  PubMed  Google Scholar 

  16. Lee JW, Oh JK, Chung YA, Na SJ, Hyun SH, Hong IK, et al. Prognostic significance of (1)(8)F-FDG uptake in hepatocellular carcinoma treated with transarterial chemoembolization or concurrent chemoradiotherapy: a multicenter retrospective cohort study. J Nucl Med. 2016;57:509–16.

    CAS  Article  PubMed  Google Scholar 

  17. Lee JW, Yun M, Cho A, Han KH, Kim DY, Lee SM, et al. The predictive value of metabolic tumor volume on FDG PET/CT for transarterial chemoembolization and transarterial chemotherapy infusion in hepatocellular carcinoma patients without extrahepatic metastasis. Ann Nucl Med. 2015;29:400–8.

    CAS  Article  PubMed  Google Scholar 

  18. Kim YI, Paeng JC, Cheon GJ, Suh KS, Lee DS, Chung JK, et al. Prediction of posttransplantation recurrence of hepatocellular carcinoma using metabolic and volumetric indices of 18F-FDG PET/CT. J Nucl Med. 2016;57:1045–51.

    CAS  Article  PubMed  Google Scholar 

  19. Hwang SH, Lee JW, Cho HJ, Kim KS, Choi GH, Yun M. Prognostic value of metabolic tumor volume and total lesion glycolysis on preoperative 18F-FDG PET/CT in patients with very early and early hepatocellular carcinoma. Clin Nucl Med. 2017;42:34–9.

    Article  PubMed  Google Scholar 

  20. Lee JW, Lee SM, Yun M, Cho A. Prognostic value of volumetric parameters on staging and posttreatment FDG PET/CT in patients with stage IV non-small cell lung cancer. Clin Nucl Med. 2016;41:347–53.

    Article  PubMed  Google Scholar 

  21. Lee JW, Kang CM, Choi HJ, Lee WJ, Song SY, Lee JH, et al. Prognostic value of metabolic tumor volume and total lesion glycolysis on preoperative (1)(8)F-FDG PET/CT in patients with pancreatic cancer. J Nucl Med. 2014;55:898–904.

    Article  PubMed  Google Scholar 

  22. Kitamura K, Hatano E, Higashi T, Seo S, Nakamoto Y, Yamanaka K, et al. Preoperative FDG-PET predicts recurrence patterns in hepatocellular carcinoma. Ann Surg Oncol. 2012;19:156–62.

    Article  PubMed  Google Scholar 

  23. Shimada M, Takenaka K, Gion T, Fujiwara Y, Kajiyama K, Maeda T, et al. Prognosis of recurrent hepatocellular carcinoma: a 10-year surgical experience in Japan. Gastroenterology. 1996;111:720–6.

    CAS  Article  PubMed  Google Scholar 

  24. Ochi H, Hirooka M, Hiraoka A, Koizumi Y, Abe M, Sogabe I, et al. 18F-FDG-PET/CT predicts the distribution of microsatellite lesions in hepatocellular carcinoma. Mol Clin Oncol. 2014;2:798–804.

    Article  PubMed  PubMed Central  Google Scholar 

  25. Du ZG, Wei YG, Chen KF, Li B. Risk factors associated with early and late recurrence after curative resection of hepatocellular carcinoma: a single institution’s experience with 398 consecutive patients. Hepatobiliary Pancreat Dis Int. 2014;13:153–61.

    CAS  Article  PubMed  Google Scholar 

  26. Miyagawa S, Kawasaki S, Makuuchi M. Comparison of the characteristics of hepatocellular carcinoma between hepatitis B and C viral infection: tumor multicentricity in cirrhotic liver with hepatitis C. Hepatology. 1996;24:307–10.

    CAS  Article  PubMed  Google Scholar 

  27. Yamanaka N, Tanaka T, Tanaka W, Yamanaka J, Yasui C, Kuroda N, et al. Correlation of hepatitis virus serologic status with clinicopathologic features in patients undergoing hepatectomy for hepatocellular carcinoma. Cancer. 1997;79:1509–15.

    CAS  Article  PubMed  Google Scholar 

  28. Lasnon C, Desmonts C, Quak E, Gervais R, Do P, Dubos-Arvis C, et al. Harmonizing SUVs in multicentre trials when using different generation PET systems: prospective validation in non-small cell lung cancer patients. Eur J Nucl Med Mol Imaging. 2013;40:985–96.

    CAS  Article  PubMed  PubMed Central  Google Scholar 

  29. Lasnon C, Enilorac B, Popotte H, Aide N. Impact of the EARL harmonization program on automatic delineation of metabolic active tumour volumes (MATVs). EJNMMI Res. 2017;7:30.

    Article  PubMed  PubMed Central  Google Scholar 

  30. Park JW, Kim JH, Kim SK, Kang KW, Park KW, Choi JI, et al. A prospective evaluation of 18F-FDG and 11C-acetate PET/CT for detection of primary and metastatic hepatocellular carcinoma. J Nucl Med. 2008;49:1912–21.

    Article  PubMed  Google Scholar 

  31. Talbot JN, Fartoux L, Balogova S, Nataf V, Kerrou K, Gutman F, et al. Detection of hepatocellular carcinoma with PET/CT: a prospective comparison of 18F-fluorocholine and 18F-FDG in patients with cirrhosis or chronic liver disease. J Nucl Med. 2010;51:1699–706.

    Article  PubMed  Google Scholar 

  32. Fartoux L, Balogova S, Nataf V, Kerrou K, Huchet V, Rosmorduc O, et al. A pilot comparison of 18F-fluorodeoxyglucose and 18F-fluorocholine PET/CT to predict early recurrence of unifocal hepatocellular carcinoma after surgical resection. Nucl Med Commun. 2012;33:757–65.

    Article  PubMed  Google Scholar 

Download references

Author information

Affiliations

Authors

Corresponding author

Correspondence to Mijin Yun.

Ethics declarations

Funding

This work was supported by National Research Foundation of Korea grants funded by the Korean government (MSIP; NRF-2011-0030086 and NRF-2016R1E1A1A01943303), and the Basic Science Research Program through the National Research Foundation of Korea funded by the Ministry of Science, ICT, and Future Planning (2012R1A1A3008042).

Conflict of interest

Jeong Won Lee declares that he has no conflict of interest.

Sang Hyun Hwang declares that he has no conflict of interest.

Hyun Jeong Kim declares that she has no conflict of interest.

Dongwoo Kim declares that he has no conflict of interest.

Arthur Cho declares that he has no conflict of interest.

Mijin Yun declares that she has no conflict of interest.

Ethical approval

All procedures performed in studies involving human participants were in accordance with the ethical standards of the institutional research committee and with the 1964 Helsinki Declaration and its later amendments or comparable ethical standards.

Informed consent

The institutional review board of our university approved this retrospective study, and the requirement to obtain informed consent was waived.

Electronic supplementary material

Supplementary Fig. 1
figure 3

FDG PET/CT images of a 32-year-old woman with a single HCC showing an example of the measurement of MTV. PET and contrast-enhanced liver CT images were co-registered using a fusion module in viewer software. Three 1-cm-sized VOIs were drawn in the non-tumorous liver tissue on transxial FDG PET (a) and fused PET/CT images (b) and mean and standard deviation of SUV of non-tumorous liver tissue were measured. Afterwards, a VOI was drawn over the HCC lesion on FDG PET (c) and fused PET/CT images (d) along the rim of HCC lesion seen on the arterial or portal phase of contrast-enhanced CT images (e), and maximum and mean SUV of the HCC lesion were calculated. Voxels above an SUV of the 97.5th percentile of the non-tumorous liver tissue were automatically computed on FDG PET (f), fused PET/CT (g), and contrast-enhanced CT (h) images and the sum of volume of those voxels was calculated and defined as MTV. The present patient had a MTV of 22.2 cm3 and a TLG of 64.5 g and experienced intrahepatic recurrence 9.4 months after curative surgical resection. (GIF 467 kb)

High-resolution image (TIFF 6529 kb)

Supplementary Table 1

(DOCX 16 kb)

Rights and permissions

Reprints and Permissions

About this article

Verify currency and authenticity via CrossMark

Cite this article

Lee, J.W., Hwang, S.H., Kim, H.J. et al. Volumetric parameters on FDG PET can predict early intrahepatic recurrence-free survival in patients with hepatocellular carcinoma after curative surgical resection. Eur J Nucl Med Mol Imaging 44, 1984–1994 (2017). https://doi.org/10.1007/s00259-017-3764-7

Download citation

  • Received:

  • Accepted:

  • Published:

  • Issue Date:

  • DOI: https://doi.org/10.1007/s00259-017-3764-7

Keywords

  • Hepatocellular carcinoma
  • Recurrence
  • Prognosis
  • FDG PET
  • Metabolic tumor volume