Skip to main content

Metabolic tumour burden assessed by 18F-FDG PET/CT associated with serum CA19-9 predicts pancreatic cancer outcome after resection

Abstract

Purpose

Tumour burden is one of the most important prognosticators for pancreatic ductal adenocarcinoma (PDAC). The aim of this study was to investigate the predictive significance of metabolic tumour burden measured by 18F-FDG PET/CT in patients with resectable PDAC.

Methods

Included in the study were 122 PDAC patients who received preoperative 18F-FDG PET/CT examination and radical pancreatectomy. Metabolic tumour burden in terms of metabolic tumour volume (MTV) and total lesion glycolysis (TLG), pathological tumour burden (tumour size), serum tumour burden (baseline serum CA19-9 level), and metabolic activity (maximum standard uptake value, SUVmax) were determined, and compared for their performance in predicting overall survival (OS) and recurrence-free survival (RFS).

Results

MTV and TLG were significantly associated with baseline serum CA19-9 level (P = 0.001 for MTV, P < 0.001 for TLG) and tumour size (P < 0.001 for MTV, P = 0.001 for TLG). Multivariate analysis showed that MTV, TLG and baseline serum CA19-9 level as either categorical or continuous variables, but not tumour size or SUVmax, were independent risk predictors for both OS and RFS. Time-dependent receiving operating characteristics analysis further indicated that better predictive performances for OS and RFS were achieved by MTV and TLG compared to baseline serum CA19-9 level, SUVmax and tumour size (P < 0.001 for all).

Conclusion

MTV and TLG showed strong consistency with baseline serum CA19-9 level in better predicting OS and RFS, and might serve as surrogate markers for prediction of outcome in patients with resectable PDAC.

This is a preview of subscription content, access via your institution.

Fig. 1
Fig. 2
Fig. 3
Fig. 4

References

  1. Vincent A, Herman J, Schulick R, Hruban RH, Goggins M. Pancreatic cancer. Lancet. 2011;378:607–20.

    PubMed  Article  Google Scholar 

  2. Lim JE, Chien MW, Earle CC. Prognostic factors following curative resection for pancreatic adenocarcinoma: a population-based, linked database analysis of 396 patients. Ann Surg. 2003;237:74–85.

    PubMed Central  PubMed  Article  Google Scholar 

  3. Jamieson NB, Mohamed M, Oien KA, Foulis AK, Dickson EJ, Imrie CW, et al. The relationship between tumor inflammatory cell infiltrate and outcome in patients with pancreatic ductal adenocarcinoma. Ann Surg Oncol. 2012;19:3581–90.

    PubMed  Article  Google Scholar 

  4. Oshima M, Okano K, Muraki S, Haba R, Maeba T, Suzuki Y, et al. Immunohistochemically detected expression of 3 major genes (CDKN2A/p16, TP53, and SMAD4/DPC4) strongly predicts survival in patients with resectable pancreatic cancer. Ann Surg. 2013;258:336–46.

    PubMed  Article  Google Scholar 

  5. Jones S, Zhang X, Parsons DW, Lin JC, Leary RJ, Angenendt P, et al. Core signaling pathways in human pancreatic cancers revealed by global genomic analyses. Science. 2008;321:1801–6.

    CAS  PubMed Central  PubMed  Article  Google Scholar 

  6. Apte MV, Park S, Phillips PA, Santucci N, Goldstein D, Kumar RK, et al. Desmoplastic reaction in pancreatic cancer: role of pancreatic stellate cells. Pancreas. 2004;29:179–87.

    CAS  PubMed  Article  Google Scholar 

  7. Hiraoka N, Ino Y, Sekine S, Tsuda H, Shimada K, Kosuge T, et al. Tumour necrosis is a postoperative prognostic marker for pancreatic cancer patients with a high interobserver reproducibility in histological evaluation. Br J Cancer. 2010;103:1057–65.

    CAS  PubMed Central  PubMed  Article  Google Scholar 

  8. Ferrone CR, Finkelstein DM, Thayer SP, Muzikansky A, Fernandez-delCastillo C, Warshaw AL. Perioperative CA19-9 levels can predict stage and survival in patients with resectable pancreatic adenocarcinoma. J Clin Oncol. 2006;24:2897–902.

    CAS  PubMed  Article  Google Scholar 

  9. Schlieman MG, Ho HS, Bold RJ. Utility of tumor markers in determining resectability of pancreatic cancer. Arch Surg. 2003;138:951–6.

    PubMed  Article  Google Scholar 

  10. Heinrich S, Goerres GW, Schafer M, Sagmeister M, Bauerfeind P, Pestalozzi BC, et al. Positron emission tomography/computed tomography influences on the management of resectable pancreatic cancer and its cost-effectiveness. Ann Surg. 2005;242:235–43.

    PubMed Central  PubMed  Article  Google Scholar 

  11. Lee SM, Kim TS, Lee JW, Kim SK, Park SJ, Han SS. Improved prognostic value of standardized uptake value corrected for blood glucose level in pancreatic cancer using F-18 FDG PET. Clin Nucl Med. 2011;36:331–6.

    PubMed  Article  Google Scholar 

  12. Hyun SH, Choi JY, Kim K, Kim J, Shim YM, Um SW, et al. Volume-based parameters of (18)F-fluorodeoxyglucose positron emission tomography/computed tomography improve outcome prediction in early-stage non-small cell lung cancer after surgical resection. Ann Surg. 2013;257:364–70.

    PubMed  Article  Google Scholar 

  13. Hatt M, Visvikis D, Albarghach NM, Tixier F, Pradier O, Cheze-le Rest C. Prognostic value of 18F-FDG PET image-based parameters in oesophageal cancer and impact of tumour delineation methodology. Eur J Nucl Med Mol Imaging. 2011;38:1191–202.

    PubMed  Article  Google Scholar 

  14. Hyun SH, Ahn HK, Kim H, Ahn MJ, Park K, Ahn YC, et al. Volume-based assessment by 18F-FDG PET/CT predicts survival in patients with stage III non-small-cell lung cancer. Eur J Nucl Med Mol Imaging. 2014;41:50–8. doi:10.1007/s00259-013-2530-8.

    CAS  PubMed  Article  Google Scholar 

  15. Liao S, Penney BC, Wroblewski K, Zhang H, Simon CA, Kampalath R, et al. Prognostic value of metabolic tumor burden on 18F-FDG PET in nonsurgical patients with non-small cell lung cancer. Eur J Nucl Med Mol Imaging. 2012;39:27–38.

    CAS  PubMed  Article  Google Scholar 

  16. Liu L, Xu HX, Wang WQ, Wu CT, Chen T, Qin Y, et al. Cavin-1 is essential for the tumor-promoting effect of caveolin-1 and enhances its prognostic potency in pancreatic cancer. Oncogene. 2013. doi:10.1038/onc.2013.223.

    Google Scholar 

  17. Hu SL, Yang ZY, Zhou ZR, Yu XJ, Ping B, Zhang YJ. Role of SUVmax obtained by 18F-FDG PET/CT in patients with a solitary pancreatic lesion: predicting malignant potential and proliferation. Nucl Med Commun. 2013;34:533–9.

    PubMed  Article  Google Scholar 

  18. Kuruva M, Mittal BR, Abrar ML, Kashyap R, Bhattacharya A. Multivariate analysis of various factors affecting background liver and mediastinal standardized uptake values. Indian J Nucl Med. 2012;27:20–3.

    PubMed Central  PubMed  Article  Google Scholar 

  19. Wahl RL, Jacene H, Kasamon Y, Lodge MA. From RECIST to PERCIST: evolving considerations for PET response criteria in solid tumors. J Nucl Med. 2009;50 Suppl 1:122S–50S.

    CAS  PubMed Central  PubMed  Article  Google Scholar 

  20. Nakata B, Nishimura S, Ishikawa T, Ohira M, Nishino H, Kawabe J, et al. Prognostic predictive value of 18F-fluorodeoxyglucose positron emission tomography for patients with pancreatic cancer. Int J Oncol. 2001;19:53–8.

    CAS  PubMed  Google Scholar 

  21. Kidd EA, Grigsby PW. Intratumoral metabolic heterogeneity of cervical cancer. Clin Cancer Res. 2008;14:5236–41.

    CAS  PubMed  Article  Google Scholar 

  22. Yoshioka M, Sato T, Furuya T, Shibata S, Andoh H, Asanuma Y, et al. Role of positron emission tomography with 2-deoxy-2-[18F]fluoro-D-glucose in evaluating the effects of arterial infusion chemotherapy and radiotherapy on pancreatic cancer. J Gastroenterol. 2004;39:50–5.

    PubMed  Article  Google Scholar 

  23. Groheux D, Hatt M, Hindie E, Giacchetti S, de Cremoux P, Lehmann-Che J, et al. Estrogen receptor-positive/human epidermal growth factor receptor 2-negative breast tumors: early prediction of chemosensitivity with (18)F-fluorodeoxyglucose positron emission tomography/computed tomography during neoadjuvant chemotherapy. Cancer. 2013;119:1960–8.

    CAS  PubMed  Article  Google Scholar 

  24. Van de Wiele C, Kruse V, Smeets P, Sathekge M, Maes A. Predictive and prognostic value of metabolic tumour volume and total lesion glycolysis in solid tumours. Eur J Nucl Med Mol Imaging. 2013;40:290–301.

    CAS  PubMed  Article  Google Scholar 

  25. Soret M, Bacharach SL, Buvat I. Partial-volume effect in PET tumor imaging. J Nucl Med. 2007;48:932–45.

    PubMed  Article  Google Scholar 

  26. Krak NC, Boellaard R, Hoekstra OS, Twisk JW, Hoekstra CJ, Lammertsma AA. Effects of ROI definition and reconstruction method on quantitative outcome and applicability in a response monitoring trial. Eur J Nucl Med Mol Imaging. 2005;32:294–301.

    PubMed  Article  Google Scholar 

  27. Shankar LK, Hoffman JM, Bacharach S, Graham MM, Karp J, Lammertsma AA, et al. Consensus recommendations for the use of 18F-FDG PET as an indicator of therapeutic response in patients in National Cancer Institute Trials. J Nucl Med. 2006;47:1059–66.

    CAS  PubMed  Google Scholar 

  28. Diederichs CG, Staib L, Glatting G, Beger HG, Reske SN. FDG PET: elevated plasma glucose reduces both uptake and detection rate of pancreatic malignancies. J Nucl Med. 1998;39:1030–3.

    CAS  PubMed  Google Scholar 

  29. Delbeke D, Rose DM, Chapman WC, Pinson CW, Wright JK, Beauchamp RD, et al. Optimal interpretation of FDG PET in the diagnosis, staging and management of pancreatic carcinoma. J Nucl Med. 1999;40:1784–91.

    CAS  PubMed  Google Scholar 

  30. Gorenberg M, Hallett WA, O'Doherty MJ. Does diabetes affect [(18)F]FDG standardised uptake values in lung cancer? Eur J Nucl Med Mol Imaging. 2002;29:1324–7.

    CAS  PubMed  Article  Google Scholar 

  31. Paquet N, Albert A, Foidart J, Hustinx R. Within-patient variability of (18)F-FDG: standardized uptake values in normal tissues. J Nucl Med. 2004;45:784–8.

    CAS  PubMed  Google Scholar 

Download references

Acknowledgments

This work was supported by grants from the National Natural Science Foundation of China (81172005 and 81172276), the National Natural Science Foundation of Shanghai (11ZR1407000), and the Ph.D. Program Foundation of Ministry of Education of China (20110071120096).

We thank Huanyu Xia for assistance in data collection and follow-up of patients, and professor Si-Long Hu for help in the analysis of 18F-FDG PET/CT images.

There are no financial disclosures from any authors.

Conflicts on interest

None.

Author information

Affiliations

Authors

Corresponding authors

Correspondence to Liang Liu or Xian-Jun Yu.

Additional information

Hua-Xiang Xu, Tao Chen, Wen-Quan Wang and Chun-Tao Wu contributed equally to this work.

Electronic supplementary material

Below is the link to the electronic supplementary material.

Supplementary Fig. 1
figure 5

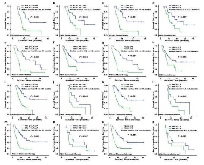
Subgroup analysis of overall survival (OS) and recurrence-free survival (RFS) stratified by MTV and TLG according to whether patients received postoperative chemotherapy or chemoradiotherapy. MTV and TLG predict OS (a, c without postoperative chemotherapy; b, d with postoperative chemotherapy) and RFS (e, g without postoperative chemotherapy; f, h with postoperative chemotherapy) regardless of whether patients received postoperative chemotherapy. Consistently, MTV and TLG predict OS (i, k) and RFS (m, o) in patients who did not receive postoperative chemoradiotherapy, and a similar tendency (j, l for OS; n, p for RFS) was observed in those who received postoperative chemoradiotherapy, although the difference in survival between patients with high and low MTV and TLG was not significant. (JPEG 97 kb)

High resolution image (TIFF 1422 kb)

Rights and permissions

Reprints and Permissions

About this article

Cite this article

Xu, HX., Chen, T., Wang, WQ. et al. Metabolic tumour burden assessed by 18F-FDG PET/CT associated with serum CA19-9 predicts pancreatic cancer outcome after resection. Eur J Nucl Med Mol Imaging 41, 1093–1102 (2014). https://doi.org/10.1007/s00259-014-2688-8

Download citation

  • Received:

  • Accepted:

  • Published:

  • Issue Date:

  • DOI: https://doi.org/10.1007/s00259-014-2688-8

Keywords

  • Metabolic tumour burden
  • Metabolic tumour volume
  • Total lesion glycolysis
  • Carbohydrate antigen 19-9
  • Pancreatic ductal adenocarcinoma