Skip to main content

Optimization of flow reserve measurement using SPECT technology to evaluate the determinants of coronary microvascular dysfunction in diabetes

Abstract

Purpose

The aim of this study was to validate a new method to measure regional myocardial perfusion reserve (MPR) with technetium-labelled tracers in patients with type 2 diabetes mellitus (DM2).

Methods

A total of 40 consecutive DM2 patients without history of coronary artery disease (CAD) and 7 control subjects were recruited. Dipyridamole myocardial blood flow index (MBF) was assessed by measuring first transit counts in the pulmonary artery and myocardial count rate from gated SPECT images using 99mTc-labelled tracers. The corresponding MBF index was estimated 2 h later according to the same procedure. Regional myocardial perfusion reserve (MPR) was defined as the ratio between dipyridamole and baseline MBF using a 17-segment left ventricular (LV) model. Coronary flow reserve (CFR) was estimated by transthoracic contrast echo Doppler monitoring of flow velocity in the left anterior descending coronary artery (LAD) during the same session.

Results

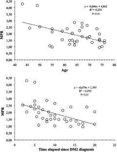
Estimated MPR was higher in control subjects than in patients (3.36 ± 0.66 vs 1.91 ± 0.61, respectively, p < 0.01). In patients, LAD CFR and LAD MPR were 2.01 ± 0.78 vs 1.93 ± 0.63, respectively (p = ns). The agreement between the two techniques was documented by their close correlation (r = 0.92, p < 0.001) and confirmed by the Bland-Altman analysis. Reversible perfusion defects occurred in 13 patients (32%) who showed similar MPR values as the remaining 27 (2.10 ± 0.71 vs 1.83 ± 0.71, respectively, p = ns). Finally, MPR was closely correlated with age (r = −0.50, p < 0.01) and time elapsed from the diagnosis of DM2 (r = −0.51, p < 0.01).

Conclusion

LV regional MPR can be accurately estimated with the broadly available single photon technology. Application of this method to DM2 patients documents the presence of a microvascular dysfunction homogeneously distributed throughout the LV walls and most frequently not associated with reversible perfusion defects.

This is a preview of subscription content, access via your institution.

Fig. 1
Fig. 2
Fig. 3
Fig. 4
Fig. 5
Fig. 6

References

  1. Yaron R, Zirkin H, Stämmler G, Rose AG. Human coronary microvessels in diabetes and ischaemia: morphometric study of autopsy material. J Pathol 1992;166:265–72.

    Article  Google Scholar 

  2. Sunni S, Bishop SP, Kent SP, Geer JC. Diabetic cardiomyopathy. A morphological study of intramyocardial arteries. Arch Pathol Lab Med 1986;110:375–81.

    CAS  PubMed  Google Scholar 

  3. Nitenberg A, Valensi P, Sachs R, Dali M, Aptecar E, Attali JR. Impairment of coronary vascular reserve and ACh-induced coronary vasodilation in diabetic patients with angiographically normal coronary arteries and normal left ventricular systolic function. Diabetes 1993;42:1017–25.

    Article  CAS  PubMed  Google Scholar 

  4. Schalkwijk CG, Stehouwer CD. Vascular complications in diabetes mellitus: the role of endothelial dysfunction. Clin Sci (Lond) 2005;109:143–59.

    Article  CAS  Google Scholar 

  5. Pop-Busui R, Kirkwood I, Schmid H, Marinescu V, Schroeder J, Larkin D, et al. Sympathetic dysfunction in type 1 diabetes: association with impaired myocardial blood flow reserve and diastolic dysfunction. J Am Coll Cardiol 2004;44:2368–74.

    Article  CAS  PubMed  Google Scholar 

  6. Grundy SM, Benjamin IJ, Burke GL, Chait A, Eckel RH, Howard BV, et al. Diabetes and cardiovascular disease: a statement for healthcare professionals from the American Heart Association. Circulation 1999;100:1134–46.

    CAS  PubMed  Google Scholar 

  7. Laakso M. Glycemic control and the risk for coronary heart disease in patients with non-insulin-dependent diabetes mellitus. The Finnish studies. Ann Intern Med 1996;124:127–30.

    CAS  PubMed  Google Scholar 

  8. Di Carli MF, Janisse J, Grunberger G, Ager J. Role of chronic hyperglycemia in the pathogenesis of coronary microvascular dysfunction in diabetes. J Am Coll Cardiol 2003;41:1387–93.

    Article  PubMed  CAS  Google Scholar 

  9. Yokoyama I, Momomura S, Ohtake T, Yonekura K, Nishikawa J, Sasaki Y, et al. Reduced myocardial flow reserve in non-insulin-dependent diabetes mellitus. J Am Coll Cardiol 1997;30:1472–7.

    Article  CAS  PubMed  Google Scholar 

  10. Quiñones MJ, Hernandez-Pampaloni M, Schelbert H, Bulnes-Enriquez I, Jimenez X, Hernandez G, et al. Coronary vasomotor abnormalities in insulin-resistant individuals. Ann Intern Med 2004;140:700–8.

    PubMed  Google Scholar 

  11. Yokoyama I, Yonekura K, Ohtake T, Yang W, Shin WS, Yarnada N, et al. Coronary microangiopathy in type 2 diabetic patients: relation to glycemic control, sex, and microvascular angina rather than to coronary artery disease. J Nucl Med 2000;41:978–85.

    CAS  PubMed  Google Scholar 

  12. Schelbert HR, Phelps ME, Huang SC, MacDonald NS, Hansen H, Selin C, et al. N-13 ammonia as an indicator of myocardial blood flow. Circulation 1981;63:1259–72.

    CAS  PubMed  Google Scholar 

  13. Bergmann SR, Fox KA, Rand AL, McElvany KD, Welch MJ, Markham J, et al. Quantification of regional myocardial blood flow in vivo with H215O. Circulation 1984;70:724–33.

    CAS  PubMed  Google Scholar 

  14. deKemp RA, Ruddy TD, Hewitt T, Dalipaj MM, Beanlands RSB. Detection of serial changes in absolute myocardial perfusion with 82Rb PET. J Nucl Med 2000;41:1426–35.

    CAS  PubMed  Google Scholar 

  15. Marcus ML, Harrison DG, White CW, McPherson DD, Wilson RF, Kerber RE. Assessing the physiologic significance of coronary obstructions in patients: importance of diffuse undetected atherosclerosis. Prog Cardiovasc Dis 1988;31:39–56.

    Article  CAS  PubMed  Google Scholar 

  16. Zeiher AM, Krause T, Schächinger V, Minners J, Moser E. Impaired endothelium-dependent vasodilation of coronary resistance vessels is associated with exercise-induced myocardial ischemia. Circulation 1995;91:2345–52.

    CAS  PubMed  Google Scholar 

  17. Ito Y, Katoh C, Noriyasu K, Kuge Y, Furuyama H, Morita K, et al. Estimation of myocardial blood flow and myocardial flow reserve by 99mTc-sestamibi imaging: comparison with the results of [15O]H2O PET. Eur J Nucl Med Mol Imaging 2003;30:281–7.

    CAS  PubMed  Google Scholar 

  18. Taki J, Fujino S, Nakajima K, Matsunari I, Okazaki H, Saga T, et al. (99m)Tc-sestamibi retention characteristics during pharmacologic hyperemia in human myocardium: comparison with coronary flow reserve measured by Doppler flowire. J Nucl Med 2001;42:1457–63.

    CAS  PubMed  Google Scholar 

  19. Storto G, Cirillo P, Vicario ML, Pellegrino T, Sorrentino AR, Petretta M, et al. Estimation of coronary flow reserve by Tc-99m sestamibi imaging in patients with coronary artery disease: comparison with the results of intracoronary Doppler technique. J Nucl Cardiol 2004;11:682–8.

    Article  PubMed  Google Scholar 

  20. Storto G, Pellegrino T, Sorrentino AR, Luongo L, Petretta M, Cuocolo A. Estimation of coronary flow reserve by sestamibi imaging in type 2 diabetic patients with normal coronary arteries. J Nucl Cardiol 2007;14:194–9.

    Article  PubMed  Google Scholar 

  21. Storto G, Soricelli A, Pellegrino T, Petretta M, Cuocolo A. Assessment of the arterial input function for estimation of coronary flow reserve by single photon emission computed tomography: comparison of two different approaches. Eur J Nucl Med Mol Imaging 2009; Epub ahead of print.

  22. Hendel RC, Budoff MJ, Cardella JF, Chambers CE, Dent JM, Fitzgerald DM, et al. ACC/AHA/ACR/ASE/ASNC/HRS/NASCI/RSNA/SAIP/SCAI/SCCT/SCMR/SIR 2008 key data elements and definitions for cardiac imaging: a report of the American College of Cardiology/American Heart Association Task Force on Clinical Data Standards (Writing Committee to Develop Clinical Data Standards for Cardiac Imaging). J Am Coll Cardiol 2009;53:91–124.

    Article  PubMed  Google Scholar 

  23. American Diabetes Association. Diagnosis and classification of diabetes mellitus. Diabetes Care 2004;27(Suppl 1):S5–10.

    Google Scholar 

  24. Kawagishi T, Nishizawa Y, Konishi T, Kawasaki K, Emoto M, Shoji T, et al. High-resolution B-mode ultrasonography in evaluation of atherosclerosis in uremia. Kidney Int 1995;48:820–6.

    Article  CAS  PubMed  Google Scholar 

  25. Weldelhag I, Wiklund O, Wikstrand J. Atherosclerotic changes in the femoral and carotid arteries in familial hypercholesterolemia. Ultrasonographic assessment of intima-media thickness and plaque occurrence. Arterioscler Thromb 1993;13:1404–11.

    Google Scholar 

  26. Bezante GP, Viazzi F, Leoncini G, Ratto E, Conti N, Balbi M, et al. Coronary flow reserve is impaired in hypertensive patients with subclinical renal damage. Am J Hypertens 2009;22:191–6.

    Article  PubMed  Google Scholar 

  27. Bland JM, Altman DG. Statistical methods for assessing agreement between two methods of clinical measurement. Lancet 1986;1:307–10.

    CAS  PubMed  Google Scholar 

  28. Hozumi T, Yoshida K, Akasaka T, Asami Y, Ogata Y, Takagi T, et al. Noninvasive assessment of coronary flow velocity and coronary flow velocity reserve in the left anterior descending coronary artery by Doppler echocardiography: comparison with invasive technique. J Am Coll Cardiol 1998;32:1251–9.

    Article  CAS  PubMed  Google Scholar 

  29. Caiati C, Montaldo C, Zedda N, Bina A, Iliceto S. New noninvasive method for coronary flow reserve assessment: contrast-enhanced transthoracic second harmonic echo Doppler. Circulation 1999;99:771–8.

    CAS  PubMed  Google Scholar 

  30. Lowenstein J, Tiano C, Marquez C, Presti C, Quiroz C. Simultaneous analysis of wall motion and coronary flow reserve of the left anterior descending coronary artery by transthoracic doppler echocardiography during dipyridamole stress echocardiography. J Am Soc Echocardiogr 2003;16:607–13.

    Article  PubMed  Google Scholar 

  31. Galderisi M, Capaldo B, Sidiropulos M, D’Errico A, Ferrara L, Turco A, et al. Determinants of reduction of coronary flow reserve in patients with type 2 diabetes mellitus or arterial hypertension without angiographically determined epicardial coronary stenosis. Am J Hypertens 2007;20:1283–90.

    Article  PubMed  Google Scholar 

  32. Ahmari SA, Bunch TJ, Modesto K, Stussy V, Dichak A, Seward JB, et al. Impact of individual and cumulative coronary risk factors on coronary flow reserve assessed by dobutamine stress echocardiography. Am J Cardiol 2008;101:1694–9.

    Article  PubMed  Google Scholar 

  33. Hashimoto M, Kozaki K, Eto M, Akishita M, Ako J, Iijima K, et al. Association of coronary risk factors and endothelium-dependent flow-mediated dilatation of the brachial artery. Hypertens Res 2000;23:233–8.

    Article  CAS  PubMed  Google Scholar 

  34. Takiuchi S, Rakugi H, Fujii H, Kamide K, Horio T, Nakatani S, et al. Carotid intima-media thickness is correlated with impairment of coronary flow reserve in hypertensive patients without coronary artery disease. Hypertens Res 2003;26:945–51.

    Article  PubMed  Google Scholar 

  35. Yokoyama I, Ohtake T, Momomura S, Yonekura K, Woo-Soo S, Nishikawa J, et al. Hyperglycemia rather than insulin resistance is related to reduced coronary flow reserve in NIDDM. Diabetes 1998;47:119–24.

    Article  CAS  PubMed  Google Scholar 

  36. Dayanikli F, Grambow D, Muzik O, Mosca L, Rubenfire M, Schwaiger M. Early detection of abnormal coronary flow reserve in asymptomatic men at high risk for coronary artery disease using positron emission tomography. Circulation 1994;90:808–17.

    CAS  PubMed  Google Scholar 

  37. Sambuceti G, Marzullo P, Giorgetti A, Neglia D, Marzilli M, Salvadori P, et al. Global alteration in perfusion response to increasing oxygen consumption in patients with single-vessel coronary artery disease. Circulation 1994;90:1696–705.

    CAS  PubMed  Google Scholar 

  38. Glover DK, Okada RD. Myocardial kinetics of Tc-MIBI in canine myocardium after dipyridamole. Circulation 1990;81:628–37.

    CAS  PubMed  Google Scholar 

  39. Melon PG, Beanlands RS, DeGrado TR, Nguyen N, Petry NA, Schwaiger M. Comparison of technetium-99m sestamibi and thallium-201 retention characteristics in canine myocardium. J Am Coll Cardiol 1992;20:1277–83.

    CAS  PubMed  Article  Google Scholar 

Download references

Acknowledgements

This study was supported in part by a Grant of Fondazione CARIGE for the year 2009 on “Diabetes and its vascular complications” and by the Grant Limonte of Regione Liguria.

Author information

Affiliations

Authors

Corresponding author

Correspondence to Cecilia Marini.

Rights and permissions

Reprints and Permissions

About this article

Cite this article

Marini, C., Bezante, G., Gandolfo, P. et al. Optimization of flow reserve measurement using SPECT technology to evaluate the determinants of coronary microvascular dysfunction in diabetes. Eur J Nucl Med Mol Imaging 37, 357–367 (2010). https://doi.org/10.1007/s00259-009-1316-5

Download citation

  • Received:

  • Accepted:

  • Published:

  • Issue Date:

  • DOI: https://doi.org/10.1007/s00259-009-1316-5

Keywords

  • Myocardial perfusion reserve
  • Type 2 diabetes mellitus
  • Gated SPECT
  • Transthoracic contrast echo Doppler