Abstract
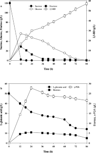
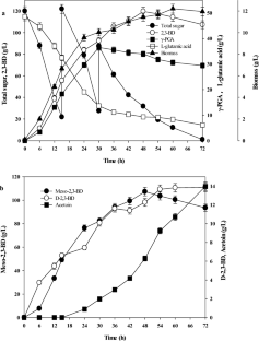
Bacillus subtilis naturally produces large amounts of 2,3-butanediol (2,3-BD) as a main by-product during poly-γ-glutamic acid (γ-PGA) production. 2,3-BD is a promising platform chemical in various industries, and co-production of the two chemicals has great economic benefits. Co-production of γ-PGA and 2,3-BD by a newly isolated B. subtilis CS13 was investigated here. The fermentation medium and culture parameters of the process were optimized using statistical methods. It was observed that sucrose, l-glutamic acid, ammonium citrate, and MgSO4·7H2O were favorable for γ-PGA and 2,3-BD co-production at culture pH of 6.5 and 37 °C. An optimal medium composed of 119.8 g/L sucrose, 48.8 g/L l-glutamic acid, 21.1 g/L ammonium citrate, and 3.2 g/L MgSO4·7H2O was obtained by response surface methodology (RSM). The results show that the titers of γ-PGA and 2,3-BD reached 27.8 ± 0.9 g/L at 24 h and 57.1 ± 1.3 g/L at 84 h with the optimized medium, respectively. γ-PGA and 2,3-BD production by B. subtilis CS13 was significantly enhanced in fed-batch fermentations. γ-PGA (36.5 ± 1.1 g/L, productivity of 1.22 ± 0.04 g/L/h) and 2,3-BD concentrations (119.6 ± 2.8 g/L, productivity of 2.49 ± 0.66 g/L/h) were obtained in the optimized medium with feeding sucrose. The co-production of 2,3-BD and γ-PGA provides a new perspective for industrial production of γ-PGA and 2,3-BD.
Key points • A strategy for co-production of γ-PGA and 2,3-BD was developed. • The culture parameters for the co-production of γ-PGA and 2,3-BD were studied. • RSM was used to optimize the medium for γ-PGA and 2,3-BD co-production. • 36.5 g/L γ-PGA and 119.6 g/L 2,3-BD were obtained from the optimum medium in fed-batch fermentation. |







Similar content being viewed by others
References
Andrade CJ, Andrade LM, Bution ML, Dolder MAH, Fábio F, Barros C, Pastore GM (2016) Optimizing alternative substrate for simultaneous production of surfactin and 2,3-butanediol by Bacillus subtilis LB5a. Biocatal Agric Biotechnol 6:209–218. https://doi.org/10.1016/j.bcab.2016.04.004
Ashiuchi M (2010) Occurrence and biosynthetic mechanism of poly-gamma-glutamic acid. In: Hamano Y (ed) Amino-acid homopolymers occurring in nature. Microbiol Monogr, 15, pp 77–93
Bajaj IB, Singhal RS (2011) Poly (glutamic acid)—an emerging biopolymer of commercial interest. Bioresour Technol 102:5551–5561. https://doi.org/10.1016/j.biortech.2011.02.047
Białkowska AM, Marzena JK, Gromek E, Krysiak J, Sikora B, Kalinowska H, Kubik C, Schütt F, Turkiewicz M (2016) Effects of genetic modifications and fermentation conditions on 2,3-butanediol production by alkaliphilic Bacillus subtilis. Appl Microbiol Biotechnol 100:2663–2676. https://doi.org/10.1007/s00253-015-7164-2
Cai DB, He PH, Lu XC, Zhu CJ, Zhu J, Zhan YY, Wang Q, Wen ZY, Chen SW (2017) A novel approach to improve poly-γ-glutamic acid production by NADPH regeneration in Bacillus licheniformis WX-02. Sci Rep 7:43404. https://doi.org/10.1038/srep43404
Chen J, Shi F, Zhang B, Zhu F, Cao WF, Xu ZN, Xu GH, Cen PL (2010) Effects of cultivation conditions on the production of γ-PGA with Bacillus subtilis ZJU-7. Appl Biochem Biotechnol 160:370–377. https://doi.org/10.1007/s12010-008-8307-z
de Cesaro A, da Silva SB, Ayub MAZ (2014) Effects of metabolic pathway precursors and polydimethylsiloxane (PDMS) on poly-(gamma)-glutamic acid production by Bacillus subtilis BL53. J Ind Microbiol Biotechnol 41:1375–1382. https://doi.org/10.1007/s10295-014-1477-5
Feng J, Gu YY, Yan PF, Song CJ, Wang Y (2017) Recruiting energy-conserving sucrose utilization pathways for enhanced 2,3-butanediol production in Bacillus subtilis. ACS Sustain Chem Eng 5:11221–11225. https://doi.org/10.1021/acssuschemeng.7b03636
Fu J, Wang ZW, Chen T, Liu WX, Shi T, Wang GL, Tang YJ, Zhao XM (2014) NADH plays the vital role for chiral pure D-(−)-2,3-butanediol production in Bacillus subtilis under limited oxygen conditions. Biotechnol Bioeng 111:2126–2131. https://doi.org/10.1002/bit.25265
Fu J, Huo GX, Feng LL, Mao YF, Wang ZW, Ma HW, Chen T, Zhao XM (2016) Metabolic engineering of Bacillus subtilis for chiral pure meso-2,3-butanediol production. Biotechnol Biofuels 9:90. https://doi.org/10.1186/s13068-016-0502-5
Gao G, Xu H, Li QJ, Feng XH, Li S (2010) Optimization of medium for one-step fermentation of inulin extract from Jerusalem artichoke tubers using Paenibacillus polymyxa ZJ-9 to produce R,R-2,3-butanediol. Bioresour Technol 101:7076–7082. https://doi.org/10.1016/j.biortech.2010.03.143
Guo XW, Cao CH, Wang YZ, Li CQ, Wu MY, Chen YF, Zhang CY, Pei HD, Xiao DG (2014) Effect of the inactivation of lactate dehydrogenase, ethanol dehydrogenase, and phosphotransacetylase on 2,3-butanediol production in Klebsiella pneumoniae strain. Biotechnol Biofuels 7:44. https://doi.org/10.1186/1754-6834-7-44
Guragain YN, Vadlani PV (2017) 2,3-Butanediol production using Klebsiella oxytoca ATCC 8724: evaluation of biomass derived sugars and fed-batch fermentation process. Process Biochem 58:25–34. https://doi.org/10.1016/j.procbio.2017.05.001
Huang YN, Li ZM, Shimizu K, Ye Q (2013) Co-production of 3-hydroxypropionic acid and 1,3-propanediol by Klebseilla pneumoniae expressing aldH under microaerobic conditions. Bioresour Technol 128:505–512. https://doi.org/10.1016/j.biortech.2012.10.143
Jiang B, Li ZG, Dai JY, Zhang DJ, Xiu ZL (2009) Aqueous two-phase extraction of 2,3-butanediol from fermentation broths using an ethanol/phosphate system. Process Biochem 44:112–117. https://doi.org/10.1016/j.procbio.2008.09.019
Jiang M, Dai WY, Xi YL, Wu MK, Kong XP, Ma JF, Zhang M, Chen KQ, Wei P (2014) Succinic acid production from sucrose by Actinobacillus succinogenes NJ113. Bioresour Technol 153:327–332. https://doi.org/10.1016/j.biortech.2013.11.062
Ju WT, Song YS, Jung WJ, Park RD (2014) Enhanced production of poly-γ-glutamic acid by a newly-isolated Bacillus subtilis. Biotechnol Lett 36:2319–2324. https://doi.org/10.1007/s10529-014-1613-3
Lee JW, Kim HU, Choi S, Yi JH, Lee SY (2011) Microbial production of building block chemicals and polymers. Curr Opin Biotechnol 22:758–767. https://doi.org/10.1016/j.copbio.2011.02.011
Lee NR, Lee SM, Cho KS, Jeong SY, Hwang DY, Kim DS, Hong CO, Son HJ (2014) Improved production of poly-γ-glutamic acid by Bacillus subtilis D7 isolated from Doenjang, a Korean traditional fermented food, and its antioxidant activity. Appl Biochem Biotechnol 173:918–932. https://doi.org/10.1007/s12010-014-0908-0
Li ZG, Teng H, Xiu ZL (2010) Aqueous two-phase extraction of 2,3-butanediol from fermentation broths using an ethanol/ammonium sulfate system. Process Biochem 45:731–737. https://doi.org/10.1016/j.procbio.2010.01.011
Li X, Gou XY, Long D, Ji ZX, Hu LF, Xu DH, Liu J, Chen SW (2014) Physiological and metabolic analysis of nitrate reduction on poly-gamma-glutamic acid synthesis in Bacillus licheniformis WX-02. Arch Microbiol 196:791–799. https://doi.org/10.1007/s00203-014-1014-y
Liu D, Chen Y, Ding FY, Guo T, Xie JJ, Zhuang W, Niu HQ, Shi XC, Zhu CJ, Ying HJ (2015) Simultaneous production of butanol and acetoin by metabolically engineered Clostridium acetobutylicum. Metab Eng 27:107–114. https://doi.org/10.1016/j.ymben.2014.11.002
Luo ZT, Guo Y, Liu JD, Qiu H, Zhao MM, Zou W, Li SB (2016) Microbial synthesis of poly-γ-glutamic acid: current progress, challenges, and future perspectives. Biotechnol Biofuels 9:134. https://doi.org/10.1186/s13068-016-0537-7
Meng YH, Dong GR, Zhang C, Ren YY, Qu YL, Chen WF (2016) Calcium regulates glutamate dehydrogenase and poly-γ-glutamic acid synthesis in Bacillus natto. Biotechnol Lett 38:673–679. https://doi.org/10.1007/s10529-015-2023-x
Perego P, Converti A, Borghi MD (2003) Effects of temperature, inoculum size and starch hydrolyzate concentration on butanediol production by Bacillus licheniformis. Bioresour Technol 89:125–131. https://doi.org/10.1016/S0960-8524(03)00063-4
Poulsen C, Stougaard P (1989) Purification and properties of Saccharomyces cerevisiae acetolactate synthase from recombinant Escherichia coli. Eur J Biochem 185:433–439. https://doi.org/10.1111/j.1432-1033.1989.tb15133.x
Reid SJ, Abratt VR (2005) Sucrose utilisation in bacteria: genetic organisation and regulation. Appl Microbiol Biotechnol 67:312–321. https://doi.org/10.1007/s00253-004-1885-y
Shao PH, Kumar A (2011) Process energy efficiency in pervaporative and vacuum membrane distillation separation of 2,3-butanediol. Can J Chem Eng 89:1255–1265. https://doi.org/10.1002/cjce.20468
Tanimura K, Takashima S, Matsumoto T, Tanaka T, Kondo A (2016) 2,3-Butanediol production from cellobiose using exogenous beta-glucosidase-expressing Bacillus subtilis. Appl Microbiol Biotechnol 100:5781–5789. https://doi.org/10.1007/s00253-016-7326-x
Wang DX, Hwang JS, Kim DH, Lee SB, Kim DH, Joe MH (2020) A newly isolated Bacillus siamensis SB1001 for mass production of poly-γ-glutamic acid. Process Biochem 92:164–143. https://doi.org/10.1016/j.procbio.2019.11.034
Wu Q, Xu H, Ying HJ, Ouyang PK (2010) Kinetic analysis and pH shift control strategy for poly(γ-glutamic acid) production with Bacillus subtilis CGMCC 0833. Biochem Eng J 50:24–28. https://doi.org/10.1016/j.bej.2010.02.012
Yang TW, Zhang X, Rao ZM, Gu SH, Xia HF, Xu ZH (2012) Optimization and scale-up of 2,3-butanediol production by Bacillus amyloliquefaciens B10−127. World J Microbiol Biotechnol 28:1563–1574. https://doi.org/10.1007/s11274-011-0960-7
Yang TW, Rao ZM, Zhang X, Xu MJ, Xu ZH, Yang ST (2013) Effects of corn steep liquor on production of 2,3-butanediol and acetoin by Bacillus subtilis. Process Biochem 48:1610–1617. https://doi.org/10.1016/j.procbio.2013.07.027
Yao J, Jing J, Xu H, Liang JF, Wu Q, Feng XH, Ouyang PK (2009) Investigation on enzymatic degradation of γ-polyglutamic acid from Bacillus subtilis NX-2. J Mol Catal B-Enzym 56:158–164. https://doi.org/10.1016/j.molcatb.2007.12.027
Yao J, Xu H, Shi NN, Cao X, Feng XH, Li S, Ouyang PK (2010) Analysis of carbon metabolism and improvement of γ-polyglutamic acid production from Bacillus subtilis NX-2. Appl Biochem Biotechnol 160:2332–2341. https://doi.org/10.1007/s12010-009-8798-2
Zeng AP, Sabra W (2011) Microbial production of diols as platform chemicals: recent progresses. Curr Opin Biotechnol 22:749–757. https://doi.org/10.1016/j.copbio.2011.05.005
Zeng W, Chen GG, Wang QL, Zheng SF, Shu L, Liang ZQ (2014) Metabolic studies of temperature control strategy on poly(γ-glutamic acid) production in a thermophilic strain Bacillus subtilis GXA-28. Bioresour Technol 155:104–110. https://doi.org/10.1016/j.biortech.2013.12.086
Zhang D, Feng XH, Zhou Z, Zhang Y, Xu H (2012) Economical production of poly(γ-glutamic acid) using untreated cane molasses and monosodium glutamate waste liquor by Bacillus subtilis NX-2. Bioresour Technol 114:583–588. https://doi.org/10.1016/j.biortech.2012.02.114
Zhang CY, Peng XP, Li W, Guo XW, Xiao DG (2014) Optimization of 2,3-butanediol production by Enterobacter cloacae in simultaneous saccharification and fermentation of corncob residue. Biotechnol Appl Biochem 61:501–509. https://doi.org/10.1002/bab.1198
Zhang JZ, Yu L, Lin M, Yan QJ, Yang ST (2017) N-Butanol production from sucrose and sugarcane juice by engineered Clostridium tyrobutyricum overexpressing sucrose catabolism genes and adhE2. Bioresour Technol 233:51–57. https://doi.org/10.1016/j.biortech.2017.02.079
Zhu F, Cai J, Wu XT, Huang J, Huang L, Zhu JZ, Zheng Q, Cen PL, Xu ZN (2013) The main byproducts and metabolic flux profiling of γ-PGA-producing strain B. subtilis ZJU-7 under different pH values. J Biotechnol 164:67–74. https://doi.org/10.1016/j.jbiotec.2012.12.009
Acknowledgments
This project was supported by the Nuclear R&D Program of the Ministry of Science and ICT (MSIT), Republic of Korea.
Author information
Authors and Affiliations
Contributions
D.X.W. performed the experiments. D.X.W. and M.-H.J. designed the experiments, analyzed the data, and drafted the manuscript. H.M.K., S.B.L., D.-H.K., and M.-H.J. designed and guided the study, and edited the manuscript. All authors read and approved the final manuscript.
Corresponding author
Ethics declarations
This article does not contain any studies with human participants or animals performed by any of the authors.
Conflict of interest
The authors declare that they have no conflicts of interest.
Additional information
Publisher’s note
Springer Nature remains neutral with regard to jurisdictional claims in published maps and institutional affiliations.
Electronic supplementary material
ESM 1
(PDF 109 kb)
Rights and permissions
About this article
Cite this article
Wang, D., Kim, H., Lee, S. et al. Simultaneous production of poly-γ-glutamic acid and 2,3-butanediol by a newly isolated Bacillus subtilis CS13. Appl Microbiol Biotechnol 104, 7005–7021 (2020). https://doi.org/10.1007/s00253-020-10755-0
Received:
Revised:
Accepted:
Published:
Issue Date:
DOI: https://doi.org/10.1007/s00253-020-10755-0


