Skip to main content

Magnetic graphene oxide inlaid with silver nanoparticles as antibacterial and drug delivery composite

Abstract

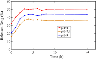
A three-component composite consisted of graphene oxide, cobalt ferrite, and silver nanoparticles has been prepared by a facile method and fully characterized. The antibacterial activity of this composite has been greatly enhanced after being combined with ciprofloxacin drug. This clearly showed the occurrence of a strong synergistic effect between ciprofloxacin and the Ag NPs in the composite. The ciprofloxacin-conjugated composite was found to be a potent antimicrobial agent while having rather low cytotoxicity and high stability. The studies based on field emission scanning electron microscopy (FESEM) analysis and zeta potential measurement have revealed that the composite sticks to the bacterial cell wall causing irreversible cell damage. This multifunctional magnetic nanocomposite was also examined as drug delivery system for ciprofloxacin in solutions with different pH. It was observed that the release of ciprofloxacin in this system is pH-sensitive with gradual and controlled manner. Mechanisms for the synergistic effect and drug release behavior, as well as explanation for the antibacterial action, of the nanocomposite were also demonstrated.

This is a preview of subscription content, access via your institution.

Fig. 1
Fig. 2
Fig. 3
Fig. 4
Fig. 5
Fig. 6
Fig. 7
Fig. 8
Fig. 9
Fig. 10

References

  • Beer C, Foldbjerg R, Hayashi Y, Sutherland DS, Autrup H (2012) Toxicity of silver nanoparticles-nanoparticle or silver ion? Toxicol Lett 2085:286–292

    Article  Google Scholar 

  • Chamakura K, Perez-Ballestero R, Luo Z, Bashir S, Liu J (2011) Comparison of bactericidal activities of silver nanoparticles with common chemical disinfectants. Colloid Surf B Interfaces 84:88–96

    CAS  Article  Google Scholar 

  • Chen W, Yi P, Zhang Y, Zhang L, Deng Z, Zhang Z (2011) Composites of aminodextran-coated Fe3O4 nanoparticles and graphene oxide for cellular magnetic resonance imaging. ACS Appl Mater Interfaces 3:4085–4091

    CAS  Article  PubMed  Google Scholar 

  • Chen J, Yao B, Li C, Shi G (2013) An improved Hummers method for eco-friendly synthesis of graphene oxide. Carbon 64:225–229

    CAS  Article  Google Scholar 

  • Chi Y, Yuan Q, Li Y, Tu J, Zhao L, Li N, Li X (2012) Synthesis of Fe3O4@SiO2-Ag magnetic nanocomposite based on small-sized and highly dispersed silver nanoparticles for catalytic reduction of 4-nitrophenol. J Colloid Interf Sci 383:96–102

    CAS  Article  Google Scholar 

  • Choi O, Hu Z (2008) Size dependent and reactive oxygen species related nanosilver toxicity to nitrifying bacteria. Environ Sci Technol 42:4583–4588

    CAS  Article  PubMed  Google Scholar 

  • Clinical and Laboratory Standards Institute (2012) Performance standards for antimicrobial susceptibility testing; Twenty-second informational supplement (M100- S22) 32:1–188

  • Cullity BD (1978) Elements of X-ray diffraction, 3rd edition, 2nd edn. Addison-Wesley, London

    Google Scholar 

  • Cuong TV, Hung PV, Tran QT, Hahn SH, Chung JS, Shin EW, Kim EJ (2010) Photoluminescence and Raman studies of graphene thin films prepared by reduction of graphene oxide. Mater Lett 64:399–401

    CAS  Article  Google Scholar 

  • de Faria AF, Martinez DS, Meira SM, de Moraes AC, Brandelli A, Filho AG, Alves OL (2014) Anti-adhesion and antibacterial activity of silver nanoparticles supported on graphene oxide sheets. Colloid Surf B Interfaces 113:115–124

    Article  Google Scholar 

  • Demirci S, Celebioglu A, Aytac Z, Uyar T (2014) pH-responsive nanofibers with controlled drug release properties. Polym Chem 5:2050–2056

    CAS  Article  Google Scholar 

  • Deng H, McShan D, Zhang Y, Sinha SS, Arslan Z, Ray PC, Yu H (2016) Mechanistic study of the synergistic antibacterial activity of combined silver nanoparticles and common antibiotics. Environ Sci Technol 50:8840–8848

    CAS  Article  PubMed  PubMed Central  Google Scholar 

  • Fu Y, Chen H, Sun X, Wang X (2012) Combination of cobalt ferrite and graphene: high-performance and recyclable visible-light photocatalysis. Appl Catal B Environ 111:280–287

    Article  Google Scholar 

  • Ghodake G, Lim SR, Lee DS (2013) Casein hydrolytic peptides mediated green synthesis of antibacterial silver nanoparticles. Colloid Surf B Interfaces 108:147–151

    CAS  Article  Google Scholar 

  • Goyal R, Macri LK, Kaplan HM, Kohn J (2016) Nanoparticles and nanofibers for topical drug delivery. J Control Release 240:77–92

    CAS  Article  PubMed  Google Scholar 

  • Gu C, Karthikeyan KG (2005) Sorption of antimicrobial ciprofloxacin to aluminum and iron hydrous oxides. Environ Sci Technol 39:9166–9173

    CAS  Article  PubMed  Google Scholar 

  • Habash MB, Park AJ, Vis EC, Harris RJ, Khursigara CM (2014) Synergy of silver nanoparticles and aztreonam against Pseudomonas aeruginosa pao1 biofilms. Antimicrob Agents Chemother 58:5818–5830

    Article  PubMed  PubMed Central  Google Scholar 

  • Hummers WS, Offeman RE (1958) Preparation of graphitic oxide. J Am Chem Soc 80:1339–1339

    CAS  Article  Google Scholar 

  • Kasithevar M, Periakaruppan P, Muthupandian S, Mohan M (2017) Antibacterial efficacy of silver nanoparticles against multi-drug resistant clinical isolates from post-surgical wound infections. Microb Pathog 107:327–334

    CAS  Article  PubMed  Google Scholar 

  • Kooti M, Kharazi P, Motamedi H (2014) Preparation, characterization, and antibacterial activity of CoFe2O4/polyaniline/Ag nanocomposite. J Taiwan Inst Chem Eng 45:2698–2704

    CAS  Article  Google Scholar 

  • Li Q, Mahendra S, Lyon DY, Brunet L, Liga MV, Li D, Alvarez PJ (2008) Antimicrobial nanomaterials for water disinfection and microbial control: potential applications and implications. Water Res 42:4591–4602

    CAS  Article  PubMed  Google Scholar 

  • Liu L, Bai H, Liu J, Sun DD (2013) Multifunctional graphene oxide-TiO2-Ag nanocomposites for high performance water disinfection and decontamination under solar irradiation. J Hazard Mater 261:214–223

    CAS  Article  PubMed  Google Scholar 

  • Ma S, Zhan S, Jia Y, Zhou Q (2015) Highly efficient antibacterial and Pb (II) removal effects of Ag-CoFe2O4-GO nanocomposite. ACS Appl Mater Interfaces 7:10576–10586

    CAS  Article  PubMed  Google Scholar 

  • Mahmoudi M, Azadmanesh K, Shokrgozar MA, Journeay WS, Laurent S (2011) Effect of nanoparticles on the cell life cycle. Chem Rev 111:3407–3432

    CAS  Article  PubMed  Google Scholar 

  • Nangmenyi G, Li X, Mehrabi S, Mintz E, Economy J (2011) Silver-modified iron oxide nanoparticles impregnated fiber glass for disinfection of bacteria and viruses in water. Mater Lett 65:1191–1193

    CAS  Article  Google Scholar 

  • Rakshit S, Sarkar D, Elzinga EJ, Punamiya P, Datta R (2013) Mechanisms of ciprofloxacin removal by nano-sized magnetite. J Hazard Mater 246-247:221–226

    CAS  Article  PubMed  Google Scholar 

  • Sadeghi B, Garmaroudi F, Hashemi M, Nezhad HR, Nasrollahi A, Ardalan khales S, Ardalan Khales S (2012) Comparison of the anti-bacterial activity on the nanosilver shapes: nanoparticles, nanorods and nanoplates. Adv Powder Technol 23:22–26

    CAS  Article  Google Scholar 

  • Tian T, Shi X, Cheng L, Luo Y, Dong Z, Gong H, Xu L, Zhong Z, Peng R, Liu Z (2014) Graphene-based nanocomposite as an effective, multifunctional, and recyclable antibacterial agent. ACS Appl Mater Interfaces 6:8542–8548

    CAS  Article  PubMed  Google Scholar 

  • Vasudevan D, Bruland GL, Torrance BS, Upchurch VG, MacKay AA (2009) pH-dependent ciprofloxacin sorption to soils: interaction mechanisms and soil factors influencing sorption. Geoderma 151:68–76

    CAS  Article  Google Scholar 

  • Vazquez-Muñoz R, Borrego B, Juárez-Moreno K, García-García M, Mota Morales JD, Bogdanchikova N, Huerta-Saquero A (2017) Toxicity of silver nanoparticles in biological systems: does the complexity of biological systems matter? Toxicol Lett 2017:11–20

  • Wang JX, Wang ZH, Chen J, Yun JSL (2008) Direct encapsulation of water-soluble drug into silica microcapsules for sustained release applications. Mater Res Bull 43:3374–3381

    CAS  Article  Google Scholar 

  • Wang G, Ma Y, Wei Z, Qi M (2016a) Development of multifunctional cobalt ferrite/graphene oxide nanocomposites for magnetic resonance imaging and controlled drug delivery. Chem Eng J 289:150–160

    CAS  Article  Google Scholar 

  • Wang G, Ma Y, Zhang L, Mu J, Zhang Z, Zhang X, Che H, Bai Y, Hou J (2016b) Facile synthesis of manganese ferrite/graphene oxide nanocomposites for controlled targeted drug delivery. Magn Magn Mater 401:647–650

    CAS  Article  Google Scholar 

Download references

Acknowledgments

The authors would like to thank Prof. A. V. Fernandez, Faculty of Biology, University of Barcelona, for the provided help to perform flow cytometry tests. The valuable help of Prof. Jaume Comas, head of the flow cytometry unit, Scientific and Technological Centers, University of Barcelona, in analyzing the cytometry data is also highly acknowledged.

Funding

The authors wish to acknowledge the support of this work (grant No. 1396) by the Research Council of Shahid Chamran University of Ahvaz, Iran.

Author information

Affiliations

Authors

Corresponding author

Correspondence to Mohammad Kooti.

Ethics declarations

Conflict of interest

The authors declare that they have no conflict of interest.

Compliance with ethics requirements

This article does not contain any studies with human or animal subjects

Electronic supplementary material

ESM 1

(PDF 381 kb)

Rights and permissions

Reprints and Permissions

About this article

Verify currency and authenticity via CrossMark

Cite this article

Kooti, M., Sedeh, A.N., Motamedi, H. et al. Magnetic graphene oxide inlaid with silver nanoparticles as antibacterial and drug delivery composite. Appl Microbiol Biotechnol 102, 3607–3621 (2018). https://doi.org/10.1007/s00253-018-8880-1

Download citation

  • Received:

  • Revised:

  • Accepted:

  • Published:

  • Issue Date:

  • DOI: https://doi.org/10.1007/s00253-018-8880-1

Keywords

  • Silver nanoparticles
  • Graphene oxide
  • Antibacterial
  • Drug delivery
  • Synergistic effect