Skip to main content

Identification and characterization of the vanillin dehydrogenase YfmT in Bacillus subtilis 3NA

Abstract

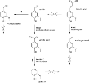
With vanillin as one of the most important flavoring agents, many efforts have been made to optimize its biotechnological production from natural abundant substrates. However, its toxicity against the hosts results in rather low yields and product concentrations. Bacillus subtilis as a soil-dwelling bacterium is a possible lignin-derived compound-degrading microorganism. Therefore, its vanillin and ferulic acid metabolism was investigated. With a rather high tolerance for vanillin up to 20 mM, it is a promising candidate to produce natural vanillin. In this study, the well-studied phenolic acid decarboxylases PadC and BsdBCD could be ascribed to function as the only enzymes in B. subtilis 3NA converting ferulic acid to 4-vinylguaiacol and vanillic acid to guaiacol, respectively. As vanillin also becomes converted to guaiacol, a previous conversion to vanillic acid was assumed. Usage of bioinformatic tools revealed YfmT, which could be shown to function as the only vanillin dehydrogenase in B. subtilis 3NA. Thus, YfmT was further characterized regarding its temperature and pH optima as well as its substrate range. Vanillin and ferulic acid metabolic routes in the tested B. subtilis strain were revealed, a direct conversion of ferulic acid to vanillin, however, could not be found.

This is a preview of subscription content, access via your institution.

Fig. 1
Fig. 2
Fig. 3
Fig. 4
Fig. 5
Fig. 6

References

  • Achterholt S, Priefert H, Steinbüchel A (2000) Identification of Amycolatopsis sp. strain HR167 genes, involved in the bioconversion of ferulic acid to vanillin. Appl Microbiol Biotechnol 54:799–807. doi:10.1007/s002530000431

    CAS  Article  PubMed  Google Scholar 

  • Altschul SF, Gish W, Miller W, Myers EW, Lipman DJ (1990) Basic local alignment search tool. J Mol Biol 215:403–410. doi:10.1006/jmbi.1990.9999

    CAS  Article  PubMed  Google Scholar 

  • Arnaud M, Chastanet A, Debarbouille M (2004) New vector for efficient allelic replacement in naturally nontransformable, low-GC-content, gram-positive bacteria. Appl Environ Microbiol 70:6887–6891. doi:10.1128/AEM.70.11.6887-6891.2004

    CAS  Article  PubMed  PubMed Central  Google Scholar 

  • Barghini P, Di GD, Fava F, Ruzzi M (2007) Vanillin production using metabolically engineered Escherichia coli under non-growing conditions. Microb Cell Fact 6:13. doi:10.1186/1475-2859-6-13

    Article  PubMed  PubMed Central  Google Scholar 

  • Berger RG (2009) Biotechnology of flavours—the next generation. Biotechnol Lett 31:1651–1659. doi:10.1007/s10529-009-0083-5

    CAS  Article  PubMed  Google Scholar 

  • Bertani G (1951) Studies on lysogenesis. 1. The mode of phage liberation by lysogenic Escherichia coli. J Bacteriol 62:293–300

    CAS  PubMed  PubMed Central  Google Scholar 

  • Bradford MM (1976) A rapid and sensitive method for the quantitation of microgram quantities of protein utilizing the principle of protein-dye binding. Anal Biochem 72:248–254. doi:10.1016/0003-2697(76)90527-3

    CAS  Article  PubMed  Google Scholar 

  • Cannistraro VJ, Glekas GD, Rao CV, Ordal GW (2011) Cellular stoichiometry of the chemotaxis proteins in Bacillus subtilis. J Bacteriol 193:3220–3227. doi:10.1128/JB.01255-10

    CAS  Article  PubMed  PubMed Central  Google Scholar 

  • Cavin JF, Dartois V, Divies C (1998) Gene cloning, transcriptional analysis, purification, and characterization of phenolic acid decarboxylase from Bacillus subtilis. Appl Environ Microbiol 64:1466–1471

    CAS  PubMed  PubMed Central  Google Scholar 

  • Chen P, Li S, Yan L, Wang N, Yan X, Li H (2014) Draft genome sequence of Bacillus subtilis type strain B7-S, which converts ferulic acid to vanillin. Genome Announc 2. doi:10.1128/genomeA.00025-14. doi:10.1128/genomeA.00025-14

  • Chung CT, Niemela SL, Miller RH (1989) One-step preparation of competent Escherichia coli: transformation and storage of bacterial cells in the same solution. Proc Natl Acad Sci USA 86:2172–2175. doi:10.1073/pnas.86.7.2172

    CAS  Article  PubMed  PubMed Central  Google Scholar 

  • Di Gioia D, Luziatelli F, Negroni A, Ficca AG, Fava F, Ruzzi M (2010) Metabolic engineering of Pseudomonas fluorescens for the production of vanillin from ferulic acid. J Biotechnol 156:309–316. doi:10.1016/j.jbiotec.2011.08.014

    Article  Google Scholar 

  • Duy NV, Mäder U, Tran NP, Cavin JF, Tam IT, Albrecht D, Hecker M, Antelmann H (2007) The proteome and transcriptome analysis of Bacillus subtilis in response to salicylic acid. Proteomics 7:698–710. doi:10.1002/pmic.200600706

    Article  PubMed  Google Scholar 

  • Escott-Watson PL, Marais JP (1992) Determination of alkali-soluble phenolic monomers in grasses after separation by thin-layer chromatography. J Chromatgr 604:290–293. doi:10.1016/0021-9673(92)85141-F

    CAS  Article  Google Scholar 

  • Fleige C, Hansen G, Kroll J, Steinbüchel A (2013) Investigation of the Amycolatopsis sp. strain ATCC 39116 vanillin dehydrogenase and its impact on the biotechnical production of vanillin. Appl Environ Microbiol 79:81–90. doi:10.1128/AEM.02358-12

    CAS  Article  PubMed  PubMed Central  Google Scholar 

  • Graf N, Altenbuchner J (2014) Genetic engineering of Pseudomonas putida KT2440 for rapid and high-yield production of vanillin from ferulic acid. Appl Microbiol Biotechnol 98:137–149. doi:10.1007/s00253-013-5303-1

    CAS  Article  PubMed  Google Scholar 

  • Gurujeyalakshmi G, Mahadevan A (1987a) Degradation of guaiacol glyceryl ether (GGE) by Bacillus subtilis. Appl Microbiol Biotechnol 26:289–293. doi:10.1007/BF00286326

    CAS  Article  Google Scholar 

  • Gurujeyalakshmi G, Mahadevan A (1987b) Dissimilation of ferulic acid by Bacillus subtilis. Curr Microbiol 16:69–73. doi:10.1007/BF01588174

    CAS  Article  Google Scholar 

  • Hansen EH, Moller BL, Kock GR, Bunner CM, Kristensen C, Jensen OR, Okkels FT, Olsen CE, Motawia MS, Hansen J (2009) De novo biosynthesis of vanillin in fission yeast (Schizosaccharomyces pombe) and baker's yeast (Saccharomyces cerevisiae). Appl Environ Microbiol 75:2765–2774. doi:10.1128/AEM.02681-08

    CAS  Article  PubMed  PubMed Central  Google Scholar 

  • Harwood CR, Cutting SM (1990) Molecular biological methods for Bacillus. Wiley, Chichester; New York

    Google Scholar 

  • Havkin-Frenkel D, Belanger FC (2008) Biotechnological production of vanillin. In: Havkin-Frenkel D, Belanger FC (eds) Biotechnology in flavor production, 1st edn. Blackwell, Oxford, pp 83–103. doi:10.1002/9781444302493.ch3

    Chapter  Google Scholar 

  • Hua D, Ma C, Song L, Lin S, Zhang Z, Deng Z, Xu P (2007) Enhanced vanillin production from ferulic acid using adsorbent resin. Appl Microbiol Biotechnol 74:783–790. doi:10.1007/s00253-006-0735-5

    CAS  Article  PubMed  Google Scholar 

  • Ishii T (1997) Structure and functions of feruloylated polysaccharides. Plant Sci 127:111–127. doi:10.1016/S0168-9452(97)00130-1

    CAS  Article  Google Scholar 

  • Ishikawa H, Schubert WJ, Nord FF (1963) Investigations on lignins and lignification. 28. The degradation by Polyporus versicolor and Fomes fomentarius of aromatic compounds structurally related to softwood lignin. Arch Biochem Biophys 100:140–149. doi:10.1016/0003-9861(63)90044-4

    CAS  Article  PubMed  Google Scholar 

  • Jiménez JI, Minambres B, Garcia JL, Diaz E (2002) Genomic analysis of the aromatic catabolic pathways from Pseudomonas putida KT2440. Environ Microbiol 4:824–841. doi:10.1046/j.1462-2920.2002.00370.x

    Article  PubMed  Google Scholar 

  • Karmakar B, Vohra RM, Nandanwar H, Sharma P, Gupta KG, Sobti RC (2000) Rapid degradation of ferulic acid via 4-vinylguaiacol and vanillin by a newly isolated strain of Bacillus coagulans. J Biotechnol 80:195–202. doi:10.1016/S0168-1656(00)00248-0

    CAS  Article  PubMed  Google Scholar 

  • Kaur B, Chakraborty D (2013) Biotechnological and molecular approaches for vanillin production: a review. Appl Biochem Biotechnol 169:1353–1372. doi:10.1007/s12010-012-0066-1

    CAS  Article  PubMed  Google Scholar 

  • Kitko RD, Cleeton RL, Armentrout EI, Lee GE, Noguchi K, Berkmen MB, Jones BD, Slonczewski JL (2009) Cytoplasmic acidification and the benzoate transcriptome in Bacillus subtilis. PLoS One 4, e8255. doi:10.1371/journal.pone.0008255

    Article  PubMed  PubMed Central  Google Scholar 

  • Krings U, Berger RG (1998) Biotechnological production of flavours and fragrances. Appl Microbiol Biotechnol 49:1–8. doi:10.1007/s002530051129

    CAS  Article  PubMed  Google Scholar 

  • Kunst F, Ogasawara N, Moszer I, Albertini AM, Alloni G, Azevedo V, Bertero MG, Bessieres P, Bolotin A, Borchert S, Borriss R, Boursier L, Brans A, Braun M, Brignell SC, Bron S, Brouillet S, Bruschi CV, Caldwell B, Capuano V, Carter NM, Choi SK, Cordani JJ, Connerton IF, Cummings NJ, Daniel RA, Denziot F, Devine KM, Dusterhoft A, Ehrlich SD, Emmerson PT, Entian KD, Errington J, Fabret C, Ferrari E, Foulger D, Fritz C, Fujita M, Fujita Y, Fuma S, Galizzi A, Galleron N, Ghim SY, Glaser P, Goffeau A, Golightly EJ, Grandi G, Guiseppi G, Guy BJ, Haga K, Haiech J, Harwood CR, Henaut A, Hilbert H, Holsappel S, Hosono S, Hullo MF, Itaya M, Jones L, Joris B, Karamata D, Kasahara Y, Klaerr-Blanchard M, Klein C, Kobayashi Y, Koetter P, Koningstein G, Krogh S, Kumano M, Kurita K, Lapidus A, Lardinois S, Lauber J, Lazarevic V, Lee SM, Levine A, Liu H, Masuda S, Mauel C, Medigue C, Medina N, Mellado RP, Mizuno M, Moestl D, Nakai S, Noback M, Noone D, O'Reilly M, Ogawa K, Ogiwara A, Oudega B, Park SH, Parro V, Pohl TM, Portelle D, Porwollik S, Prescott AM, Presecan E, Pujic P, Purnelle B, Rapoport G, Rey M, Reynolds S, Rieger M, Rivolta C, Rocha E, Roche B, Rose M, Sadaie Y, Sato T, Scanlan E, Schleich S, Schroeter R, Scoffone F, Sekiguchi J, Sekowska A, Seror SJ, Serror P, Shin BS, Soldo B, Sorokin A, Tacconi E, Takagi T, Takahashi H, Takemaru K, Takeuchi M, Tamakoshi A, Tanaka T, Terpstra P, Togoni A, Tosato V, Uchiyama S, Vandebol M, Vannier F, Vassarotti A, Viari A, Wambutt R, Wedler H, Weitzenegger T, Winters P, Wipat A, Yamamoto H, Yamane K, Yasumoto K, Yata K, Yoshida K, Yoshikawa HF, Zumstein E, Yoshikawa H, Danchin A (1997) The complete genome sequence of the gram-positive bacterium Bacillus subtilis. Nature 390:249–256. doi:10.1038/36786

    CAS  Article  PubMed  Google Scholar 

  • Lechat P, Hummel L, Rousseau S, Moszer I (2008) GenoList: an integrated environment for comparative analysis of microbial genomes. Nucleic Acids Res 36:469–474. doi:10.1093/nar/gkm1042

    Article  Google Scholar 

  • Lesage-Meessen L, Delattre M, Haon M, Thibault JF, Ceccaldi BC, Brunerie P, Asther M (1996) A two-step bioconversion process for vanillin production from ferulic acid combining Aspergillus niger and Pycnoporus cinnabarinus. J Biotechnol 50:107–113. doi:10.1016/0168-1656(96)01552-0

    CAS  Article  PubMed  Google Scholar 

  • Lupa B, Lyon D, Gibbs MD, Reeves RA, Wiegel J (2005) Distribution of genes encoding the microbial non-oxidative reversible hydroxyarylic acid decarboxylases/phenol carboxylases. Genomics 86:342–351. doi:10.1016/j.ygeno.2005.05.002

    CAS  Article  PubMed  Google Scholar 

  • Lupa B, Lyon D, Shaw LN, Sieprawska-Lupa M, Wiegel J (2008) Properties of the reversible nonoxidative vanillate/4-hydroxybenzoate decarboxylase from Bacillus subtilis. Can J Microbiol 54:75–81. doi:10.1139/W07-113

    CAS  Article  PubMed  Google Scholar 

  • Michel JF, Millet J (1970) Physiological studies on early-blocked sporulation mutants of Bacillus subtilis. J Appl Bacteriol 33:220–227. doi:10.1111/j.1365-2672.1970.tb05246.x

    CAS  Article  PubMed  Google Scholar 

  • Muheim A, Lerch K (1999) Towards a high-yield bioconversion of ferulic acid to vanillin. Appl Microbiol Biotechnol 51:456–461. doi:10.1007/s002530051416

    CAS  Article  Google Scholar 

  • Nelson KE, Weinel C, Paulsen IT, Dodson RJ, Hilbert H, Martins dS V, Fouts DE, Gill SR, Pop M, Holmes M, Brinkac L, Beanan M, DeBoy RT, Daugherty S, Kolonay J, Madupu R, Nelson W, White O, Peterson J, Khouri H, Hance I, Chris LP, Holtzapple E, Scanlan D, Tran K, Moazzez A, Utterback T, Rizzo M, Lee K, Kosack D, Moestl D, Wedler H, Lauber J, Stjepandic D, Hoheisel J, Straetz M, Heim S, Kiewitz C, Eisen JA, Timmis KN, Dusterhoft A, Tummler B, Fraser CM (2002) Complete genome sequence and comparative analysis of the metabolically versatile Pseudomonas putida KT2440. Environ Microbiol 4:799–808. doi:10.1046/j.1462-2920.2002.00366.x

    CAS  Article  PubMed  Google Scholar 

  • Okeke BC, Venturi V (1999) Construction of recombinants Pseudomonas putida BO14 and Escherichia coli QEFCA8 for ferulic acid biotransformation to vanillin. J Biosci Bioeng 88:103–106. doi:10.1016/S1389-1723(99)80185-6

    CAS  Article  PubMed  Google Scholar 

  • Oosterveld A, Beldman G, Schols HA, Voragen AG (2000) Characterization of arabinose and ferulic acid rich pectic polysaccharides and hemicelluloses from sugar beet pulp. Carbohyd Res 328:185–197. doi:10.1016/S0008-6215(00)00095-1

    CAS  Article  Google Scholar 

  • Overhage J, Priefert H, Rabenhorst J, Steinbüchel A (1999) Biotransformation of eugenol to vanillin by a mutant of Pseudomonas sp. strain HR199 constructed by disruption of the vanillin dehydrogenase (vdh) gene. Appl Microbiol Biotechnol 52:820–828. doi:10.1007/s002530051598

    CAS  Article  PubMed  Google Scholar 

  • Overhage J, Steinbüchel A, Priefert H (2003) Highly efficient biotransformation of eugenol to ferulic acid and further conversion to vanillin in recombinant strains of Escherichia coli. Appl Environ Microbiol 69:6569–6576. doi:10.1128/AEM.69.11.6569-6576.2003

    CAS  Article  PubMed  PubMed Central  Google Scholar 

  • Peng X, Misawa N, Harayama S (2003) Isolation and characterization of thermophilic bacilli degrading cinnamic, 4-coumaric, and ferulic acids. Appl Environ Microbiol 69:1417–1427. doi:10.1128/AEM.69.3.1417-1427.2003

    CAS  Article  PubMed  PubMed Central  Google Scholar 

  • Plaggenborg R, Overhage J, Loos A, Archer JA, Lessard P, Sinskey AJ, Steinbüchel A, Priefert H (2006) Potential of Rhodococcus strains for biotechnological vanillin production from ferulic acid and eugenol. Appl Microbiol Biotechnol 72:745–755. doi:10.1007/s00253-005-0302-5

    CAS  Article  PubMed  Google Scholar 

  • Priefert H, Rabenhorst J, Steinbüchel A (2001) Biotechnological production of vanillin. Appl Microbiol Biotechnol 56:296–314. doi:10.1007/s002530100687

    CAS  Article  PubMed  Google Scholar 

  • Ramachandra Rao S, Ravishankar GA (2000) Vanilla flavour: production by conventional and biotechnological routes. J Sci Food Agric 80:289–304. doi:10.1002/1097-0010(200002)80:3<289::AID-JSFA543>3.0.CO;2-2

    Article  Google Scholar 

  • Rosazza JP, Huang Z, Dostal L, Volm T, Rousseau B (1995) Review: biocatalytic transformations of ferulic acid: an abundant aromatic natural product. J Ind Microbiol 15:457–471. doi:10.1007/BF01570016

    CAS  Article  PubMed  Google Scholar 

  • Sambrook J, Fritsch EF, Maniatis T (1989) Molecular cloning: a laboratory manual. Cold Spring Harbor Laboratory, Cold Spring Harbor, NY

    Google Scholar 

  • Serizawa M, Yamamoto H, Yamaguchi H, Fujita Y, Kobayashi K, Ogasawara N, Sekiguchi J (2004) Systematic analysis of SigD-regulated genes in Bacillus subtilis by DNA microarray and Northern blotting analyses. Gene 329:125–136. doi:10.1016/j.gene.2003.12.024

    CAS  Article  PubMed  Google Scholar 

  • Sinha AK, Verma SC, Sharma UK (2007) Development and validation of an RP-HPLC method for quantitative determination of vanillin and related phenolic compounds in Vanilla planifolia. J Sep Sci 30:15–20. doi:10.1002/jssc.200600193

    CAS  Article  PubMed  Google Scholar 

  • Tilay A, Bule M, Annapure U (2010) Production of biovanillin by one-step biotransformation using fungus Pycnoporous cinnabarinus. J Agric Food Chem 58:4401–4405. doi:10.1021/jf904141u

    CAS  Article  PubMed  Google Scholar 

  • Walton NJ, Narbad A, Faulds C, Williamson G (2000) Novel approaches to the biosynthesis of vanillin. Curr Opin Biotechnol 11:490–496. doi:10.1016/S0958-1669(00)00125-7

    CAS  Article  PubMed  Google Scholar 

  • Wenzel M, Altenbuchner J (2013) The Bacillus subtilis mannose regulator, ManR, a DNA-binding protein regulated by HPr and its cognate PTS transporter ManP. Mol Microbiol 88:562–576. doi:10.1111/mmi.12209

    CAS  Article  PubMed  Google Scholar 

  • Wenzel M, Altenbuchner J (2015) Development of a markerless gene deletion system for Bacillus subtilis based on the mannose phosphoenolpyruvate-dependent phosphotransferase system. Microbiology [Epub ahead of print]. doi:10.1099/mic.0.000150

  • Wenzel M, Müller A, Siemann-Herzberg M, Altenbuchner J (2011) Self-inducible Bacillus subtilis expression system for reliable and inexpensive protein production by high-cell-density fermentation. Appl Environ Microbiol 77:6419–6425. doi:10.1128/AEM.05219-11

    CAS  Article  PubMed  PubMed Central  Google Scholar 

  • Yamada M, Okada Y, Yoshida T, Nagasawa T (2007) Purification, characterization and gene cloning of isoeugenol-degrading enzyme from Pseudomonas putida IE27. Arch Microbiol 187:511–517. doi:10.1007/s00203-007-0218-9

    CAS  Article  PubMed  Google Scholar 

  • Yanisch-Perron C, Vieira J, Messing J (1985) Improved M13 phage cloning vectors and host strains: nucleotide sequences of the M13mp18 and pUC19 vectors. Gene 33:103–119. doi:10.1016/0378-1119(85)90120-9

    CAS  Article  PubMed  Google Scholar 

  • Yoon SH, Lee EG, Das A, Lee SH, Li C, Ryu HK, Choi MS, Seo WT, Kim SW (2007) Enhanced vanillin production from recombinant E. coli using NTG mutagenesis and adsorbent resin. Biotechnol Prog 23:1143–1148. doi:10.1021/bp070153r

    PubMed  Google Scholar 

  • Zakataeva NP, Nikitina OV, Gronskiy SV, Romanenkov DV, Livshits VA (2010) A simple method to introduce marker-free genetic modifications into the chromosome of naturally nontransformable Bacillus amyloliquefaciens strains. Appl Microbiol Biotechnol 85:1201–1209. doi:10.1007/s00253-009-2276-1

    CAS  Article  PubMed  Google Scholar 

  • Zhang Y, Xu P, Han S, Yan H, Ma C (2006) Metabolism of isoeugenol via isoeugenol-diol by a newly isolated strain of Bacillus subtilis HS8. Appl Microbiol Biotechnol 73:771–779. doi:10.1007/s00253-006-0544-x

    CAS  Article  PubMed  Google Scholar 

Download references

Acknowledgments

We would like to thank Dr. Juergen Wiegel (distinguished research professor emeritus, University of Georgia, USA) for helpful information and hints on the phenolic acid decarboxylase BsdBCD.

Author information

Affiliations

Authors

Corresponding author

Correspondence to Josef Altenbuchner.

Ethics declarations

The authors assure and declare that the research was not funded, and they have no competing interests (financial or non-financial). Furthermore, no human participants were involved, and no animals were harmed or killed during this study.

Additional information

Nadja Graf and Marian Wenzel contributed equally to this work.

Rights and permissions

Reprints and Permissions

About this article

Verify currency and authenticity via CrossMark

Cite this article

Graf, N., Wenzel, M. & Altenbuchner, J. Identification and characterization of the vanillin dehydrogenase YfmT in Bacillus subtilis 3NA. Appl Microbiol Biotechnol 100, 3511–3521 (2016). https://doi.org/10.1007/s00253-015-7197-6

Download citation

  • Received:

  • Revised:

  • Accepted:

  • Published:

  • Issue Date:

  • DOI: https://doi.org/10.1007/s00253-015-7197-6

Keywords

  • Biotransformation
  • Bacillus subtilis
  • Vanillin
  • Ferulic acid
  • Genetic engineering
  • Dehydrogenase