Abstract
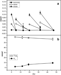
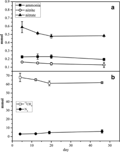
The nitrate-dependent denitrifying anaerobic methane oxidation (DAMO) process, which is metabolized together by anaerobic methanotrophic archaea and NC10 phylum bacteria, is expected to be important for the global carbon and nitrogen cycles. However, there are little studies about the existence of this process and the functional microbes in environments. Therefore, the coexistence of DAMO archaea and bacteria in a paddy field was evaluated in this study. Next-generation sequencing showed that the two orders, Methanosarcinales and Nitrospirales, to which DAMO archaea and DAMO bacteria belong, were detected in the four soil samples. Then the in vitro experiments demonstrated both of nitrite- and nitrate-dependent DAMO activities, which confirmed the coexistence of DAMO archaea and DAMO bacteria. It was the first report about the coexistence of DAMO archaea and bacteria in a paddy field. Furthermore, anammox bacteria were detected in two of the four samples. The in vitro experiments did not show anammox activity in the initial period but showed low anammox activity after 20 days’ enrichment. These results implicated that anammox bacteria may coexist with DAMO microorganisms in this field, but at a very low percentage.





Similar content being viewed by others
References
Baker GC, Smith JJ, Cowan DA (2003) Review and re-analysis of domain-specific 16S primers. J Microbiol Methods 55(3):541–555
Chen J, Zhou ZC, Gu JD (2014) Occurrence and diversity of nitrite-dependent anaerobic methane oxidation bacteria in the sediments of the South China Sea revealed by amplification of both 16S rRNA and pmoA genes. Appl Microbiol Biotechnol 98(12):5685–5696
Ding ZW, Ding J, Fu L, Zhang F, Zeng RJ (2014) Simultaneous enrichment of denitrifying methanotrophs and anammox bacteria. Appl Microbiol Biotechnol 98(24):10211–10221
Ding J, Ding ZW, Fu L, Lu YZ, Cheng SH, Zeng RJ (2015) New primers for detecting and quantifying denitrifying anaerobic methane oxidation archaea in different ecological niches. Appl Microbiol Biotechnol doi:10.1007/s00253-015-6893-6
Ettwig KF, Shima S, van de Pas-Schoonen KT, Kahnt J, Medema MH, op den Camp HJM, Jetten MSM, Strous M (2008) Denitrifying bacteria anaerobically oxidize methane in the absence of Archaea. Environ Microbiol 10(11):3164–3173
Ettwig KF, van Alen T, van de Pas-Schoonen KT, Jetten MSM, Strous M (2009) Enrichment and molecular detection of denitrifying methanotrophic bacteria of the NC10 phylum. Appl Environ Microbiol 75(11):3656–3662
Ettwig KF, Butler MK, Le Paslier D, Pelletier E, Mangenot S, Kuypers MMM, Schreiber F, Dutilh BE, Zedelius J, de Beer D, Gloerich J, Wessels HJCT, van Alen T, Luesken F, Wu ML, van de Pas-Schoonen KT, den Camp HJMO, Janssen-Megens EM, Francoijs KJ, Stunnenberg H, Weissenbach J, Jetten MSM, Strous M (2010) Nitrite-driven anaerobic methane oxidation by oxygenic bacteria. Nature 464(7288):543–548
Haroon MF, Hu S, Shi Y, Imelfort M, Keller J, Hugenholtz P, Yuan Z, Tyson GW (2013) Anaerobic oxidation of methane coupled to nitrate reduction in a novel archaeal lineage. Nature 500(7464):567–570
Hinrichs KU, Hayes JM, Sylva SP, Brewer PG, DeLong EF (1999) Methane-consuming archaebacteria in marine sediments. Nature 398(6730):802–805
Hu SH, Zeng RJ, Keller J, Lant PA, Yuan ZG (2011) Effect of nitrate and nitrite on the selection of microorganisms in the denitrifying anaerobic methane oxidation process. Environ Microbiol Rep 3(3):315–319
Hu BL, Shen LD, Lian X, Zhu Q, Liu S, Huang Q, He ZF, Geng S, Cheng DQ, Lou LP, Xu XY, Zheng P, He YF (2014) Evidence for nitrite-dependent anaerobic methane oxidation as a previously overlooked microbial methane sink in wetlands. Proc Natl Acad Sci U S A 111(12):4495–4500
Hu SH, Zeng RJ, Haroon MF, Keller J, Lant PA, Tyson GW, Yuan ZG (2015) A laboratory investigation of interactions between denitrifying anaerobic methane oxidation (DAMO) and anammox processes in anoxic environments. Sci Rep 5. doi:10.1038/Srep08706
Ishii S, Ikeda S, Minamisawa K, Senoo K (2011) Nitrogen cycling in rice paddy environments: past achievements and future challenges. Microbes Environ 26(4):282–292
Jia ZJ, Conrad R (2009) Bacteria rather than archaea dominate microbial ammonia oxidation in an agricultural soil. Environ Microbiol 11(7):1658–1671
Kaster KM, Voordouw G (2006) Effect of nitrite on a thermophilic, methanogenic consortium from an oil storage tank. Appl Microbiol Biotechnol 72(6):1308–1315
Keshri J, Mankazana BB, Momba MN (2015) Profile of bacterial communities in South African mine-water samples using Illumina next-generation sequencing platform. Appl Microbiol Biotechnol 99(7):3233–3242
Kojima H, Tsutsumi M, Ishikawa K, Iwata T, Mussmann M, Fukui M (2012) Distribution of putative denitrifying methane oxidizing bacteria in sediment of a freshwater lake, Lake Biwa. Syst Appl Microbiol 35(4):233–238
Mohanakrishnan J, Gutierrez O, Meyer RL, Yuan Z (2008) Nitrite effectively inhibits sulfide and methane production in a laboratory scale sewer reactor. Water Res 42(14):3961–3971
Raghoebarsing AA, Pol A, van de Pas-Schoonen KT, Smolders AJP, Ettwig KF, Rijpstra WIC, Schouten S, Damste JSS, op den Camp HJM, Jetten MSM, Strous M (2006) A microbial consortium couples anaerobic methane oxidation to denitrification. Nature 440(7086):918–921
Reeburgh WS (2007) Oceanic methane biogeochemistry. Chem Rev 107(2):486–513
Shen LD, Liu S, Zhu Q, Li XY, Cai C, Cheng DQ, Lou LP, Xu XY, Zheng P, Hu BL (2013) Distribution and diversity of nitrite-dependent anaerobic methane-oxidising bacteria in the sediments of the Qiantang River. Microb Ecol doi:10.1007/s00248-013-0330-0
Shen LD, Zhu Q, Liu S, Du P, Zeng JN, Cheng DQ, Xu XY, Zheng P, Hu BL (2014) Molecular evidence for nitrite-dependent anaerobic methane-oxidising bacteria in the Jiaojiang Estuary of the East Sea (China). Appl Microbiol Biotechnol 98(11):5029–5038
Shi Y, Hu SH, Lou JQ, Lu PL, Keller J, Yuan ZG (2013) Nitrogen removal from wastewater by coupling anammox and methane-dependent denitrification in a membrane biofilm reactor. Environ Sci Technol 47(20):11577–11583
Su X, Zhang Q, Hu J, Hashmi MZ, Ding L, Shen C (2015) Enhanced degradation of biphenyl from PCB-contaminated sediments: the impact of extracellular organic matter from Micrococcus luteus. Appl Microbiol Biotechnol 99(4):1989–2000
Wang Y, Zhu G, Harhangi HR, Zhu B, Jetten MSM, Yin C, Op den Camp HJM (2012) Co-occurrence and distribution of nitrite-dependent anaerobic ammonium and methane-oxidizing bacteria in a paddy soil. FEMS Microbiol Lett 336(2):79–88
Wang HG, Guo ZJ, Shi Y, Zhang YL, Yu ZW (2015) Impact of tillage practices on nitrogen accumulation and translocation in wheat and soil nitrate-nitrogen leaching in drylands. Soil Till Res 153:20–27
Yang J, Jiang HC, Wu G, Hou WG, Sun YJ, Lai ZP, Dong HL (2012) Co-occurrence of nitrite-dependent anaerobic methane oxidizing and anaerobic ammonia oxidizing bacteria in two Qinghai-Tibetan saline lakes. Front Earth Sci-Prc 6(4):383–391
Yarbrough JM, Rake JB, Eagon RG (1980) Bacterial inhibitory effects of nitrite: inhibition of active transport, but not of group translocation, and of intracellular enzymes. Appl Environ Microbiol 39(4):831–834
Zhang LM, Hu HW, Shen JP, He JZ (2012) Ammonia-oxidizing archaea have more important role than ammonia-oxidizing bacteria in ammonia oxidation of strongly acidic soils. Isme J 6(5):1032–1045
Zhou LL, Wang Y, Long XE, Guo JH, Zhu GB (2014) High abundance and diversity of nitrite-dependent anaerobic methane-oxidizing bacteria in a paddy field profile. FEMS Microbiol Lett 360(1):33–41
Zhu GB, Wang SY, Wang Y, Wang CX, Risgaard-Petersen N, Jetten MSM, Yin CQ (2011) Anaerobic ammonia oxidation in a fertilized paddy soil. Isme J 5(12):1905–1912
Zhu BL, van Dijk G, Fritz C, Smolders AJP, Pol A, Jetten MSM, Ettwig KF (2012) Anaerobic oxidization of methane in a minerotrophic peatland: enrichment of nitrite-dependent methane-oxidizing bacteria. Appl Environ Microbiol 78(24):8657–8665
Acknowledgments
The authors would like to acknowledge the financial support from National Natural Science Foundation of China (51178444), National Hi-Technology Development 863 Program of China (2011AA060901), the Hundred-Talent Program of Chinese Academy of Science (CAS), Collaborative Innovation Center of Suzhou Nano Science and Technology, the Program for Changjiang Scholars and Innovative Research Team in University, the Fundamental Research Funds for the Central Universities (wk2060190040), and the Research Grants Council of Hong Kong Special Administrative Region, China (project # CityU 160110).
Compliance with ethical standards
This article does not contain any studies with human participants or animals performed by any of the authors.
Conflict of interest
The authors declare that they have no competing interests.
Author information
Authors and Affiliations
Corresponding author
Rights and permissions
About this article
Cite this article
Ding, J., Fu, L., Ding, ZW. et al. Environmental evaluation of coexistence of denitrifying anaerobic methane-oxidizing archaea and bacteria in a paddy field. Appl Microbiol Biotechnol 100, 439–446 (2016). https://doi.org/10.1007/s00253-015-6986-2
Received:
Revised:
Accepted:
Published:
Issue Date:
DOI: https://doi.org/10.1007/s00253-015-6986-2


