Abstract
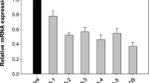
Gene amplification using dihydrofolate reductase gene (dhfr) and methotrexate (MTX) is widely used for recombinant protein production in mammalian cells and is typically conducted in DHFR-deficient Chinese hamster ovary (CHO) cell lines. Generation of DHFR-deficient cells can be achieved by an expression vector incorporating short hairpin RNA (shRNA) that targets the 3′-untranslated region (UTR) of endogenous dhfr. Thus, shRNAs were designed to target the 3′-UTR of endogenous dhfr, and shRNA-2 efficiently down-regulated dhfr expression in CHO-K1 cells. A single gene copy of shRNA-2 also decreased the translational level of DHFR by 80 % in Flp-In CHO cells. shRNA-2 was then incorporated into a plasmid vector expressing human erythropoietin (EPO) and an exogenous DHFR to develop EPO-producing cells in the Flp-In system. The specific EPO productivity (q EPO) was enhanced by stepwise increments of MTX concentration, and differences in the amplification rate were observed in Flp-In CHO cells that expressed shRNA-2. In addition, the q EPO increased by more than 2.5-fold in the presence of 500 nM MTX. The mRNA expression level and gene copy numbers of dhfr were correlated with increased productivity in the cells, which is influenced by inhibition of endogenous dhfr. This study reveals that an expression vector including shRNA that targets the 3′-UTR of endogenous dhfr can enhance the transgene amplification rate and productivity by generating DHFR-deficient cells. This approach may be applied for amplifying the foreign gene in wild-type cell lines as a versatile single-plasmid vector.







Similar content being viewed by others
Explore related subjects
Discover the latest articles and news from researchers in related subjects, suggested using machine learning.References
Barron N, Sanchez N, Kelly P, Clynes M (2011) MicroRNAs: tiny targets for engineering CHO cell phenotypes? Biotechnol Lett 33(1):11–21
Brummelkamp TR, Bernards R, Agami R (2002) A system for stable expression of short interfering RNAs in mammalian cells. Science 296(5567):550–3
Cacciatore JJ, Chasin LA, Leonard EF (2010) Gene amplification and vector engineering to achieve rapid and high-level therapeutic protein production using the Dhfr-based CHO cell selection system. Biotechnol Adv 28(6):673–81
Campbell M, Corisdeo S, McGee C, Kraichely D (2010) Utilization of site-specific recombination for generating therapeutic protein producing cell lines. Mol Biotechnol 45(3):199–202
Carthew RW, Sontheimer EJ (2009) Origins and mechanisms of miRNAs and siRNAs. Cell 136(4):642–55
Cheng TL, Chang WT (2007) Construction of simple and efficient DNA vector-based short hairpin RNA expression systems for specific gene silencing in mammalian cells. Methods Mol Biol 408:223–41
Chung KN, Saikawa Y, Paik TH, Dixon KH, Mulligan T, Cowan KH, Elwood PC (1993) Stable transfectants of human MCF-7 breast cancer cells with increased levels of the human folate receptor exhibit an increased sensitivity to antifolates. J Clin Invest 91(4):1289–94
Derouazi M, Martinet D, Besuchet Schmutz N, Flaction R, Wicht M, Bertschinger M, Hacker DL, Beckmann JS, Wurm FM (2006) Genetic characterization of CHO production host DG44 and derivative recombinant cell lines. Biochem Biophys Res Commun 340(4):1069–77
Estes S, Melville M (2014) Mammalian cell line developments in speed and efficiency. Adv Biochem Eng Biotechnol 139:11–33
Eszterhas SK, Bouhassira EE, Martin DI, Fiering S (2002) Transcriptional interference by independently regulated genes occurs in any relative arrangement of the genes and is influenced by chromosomal integration position. Mol Cell Biol 22(2):469–79
Feng YQ, Lorincz MC, Fiering S, Greally JM, Bouhassira EE (2001) Position effects are influenced by the orientation of a transgene with respect to flanking chromatin. Mol Cell Biol 21(1):298–309
Fewell GD, Schmitt K (2006) Vector-based RNAi approaches for stable, inducible and genome-wide screens. Drug Discov Today 11(21–22):975–82
Flintoff WF, Weber MK, Nagainis CR, Essani AK, Robertson D, Salser W (1982) Overproduction of dihydrofolate reductase and gene amplification in methotrexate-resistant Chinese hamster ovary cells. Mol Cell Biol 2(3):275–85
Gupta S, Schoer RA, Egan JE, Hannon GJ, Mittal V (2004) Inducible, reversible, and stable RNA interference in mammalian cells. Proc Natl Acad Sci U S A 101(7):1927–32
Hannon GJ (2002) RNA interference. Nature 418(6894):244–51
Hong WW, Wu SC (2007) A novel RNA silencing vector to improve antigen expression and stability in Chinese hamster ovary cells. Vaccine 25(20):4103–11
Iliakis G (2009) Backup pathways of NHEJ in cells of higher eukaryotes: cell cycle dependence. Radiother Oncol 92(3):310–5
Jiang Z, Sharfstein ST (2009) Characterization of gene localization and accessibility in DHFR-amplified CHO cells. Biotechnol Prog 25(1):296–300
Kasim V, Miyagishi M, Taira K (2004) Control of siRNA expression using the Cre-loxP recombination system. Nucleic Acids Res 32(7), e66
Kaufman RJ, Sharp PA (1982) Amplification and expression of sequences cotransfected with a modular dihydrofolate reductase complementary DNA gene. J Mol Biol 159:601–21
Kaufman RJ, Bertino JR, Schimke RT (1978) Quantitation of dihydrofolate reductase in individual parental and methotrexate-resistant murine cells. Use of a fluorescence activated cell sorter. J Biol Chem 253(16):5852–60
Kaufman RJ, Wasley LC, Spiliotes AJ, Gossels SD, Latt SA, Larsen GR, Kay RM (1985) Coamplification and coexpression of human tissue-type plasminogen activator and murine dihydrofolate reductase sequences in Chinese hamster ovary cells. Mol Cell Biol 5(7):1750–9
Kim NS, Kim SJ, Lee GM (1998) Clonal variability within dihydrofolate reductase-mediated gene amplified Chinese hamster ovary cells: stability in the absence of selective pressure. Biotechnol Bioeng 60(6):679–88
Kim JY, Kim YG, Lee GM (2012) CHO cells in biotechnology for production of recombinant proteins: current state and further potential. Appl Microbiol Biotechnol 93(3):917–30
Kingston RE, Kaufman RJ, Bebbington CR, Rolfe MR (2002) Amplification using CHO cell expression vectors. Curr Protoc Mol Biol Chapter 16: Unit 16.23
Kleinhammer A, Deussing J, Wurst W, Kühn R (2011) Conditional RNAi in mice. Methods 53(2):142–50
Lai T, Yang Y, Ng SK (2013) Advances in mammalian cell line development technologies for recombinant protein production. Pharmaceuticals 6(5):579–603
Lambeth LS, Smith CA (2013) Short hairpin RNA-mediated gene silencing. Methods Mol Biol 942:205–32
McIvor RS, Simonsen CC (1990) Isolation and characterization of a variant dihydrofolate reductase cDNA from methotrexate-resistant murine L5178Y cells. Nucleic Acids Res 18(23):7025–32
Mishra PJ, Humeniuk R, Mishra PJ, Longo-Sorbello GS, Banerjee D, Bertino JR (2007) A miR-24 microRNA binding-site polymorphism in dihydrofolate reductase gene leads to methotrexate resistance. Proc Natl Acad Sci U S A 104(33):13513–8
Natarajan AT, Palitti F (2008) DNA repair and chromosomal alterations. Mutat Res 657(1):3–7
O’Gorman S, Fox DT, Wahl GM (1991) Recombinase-mediated gene activation and site-specific integration in mammalian cells. Science 251(4999):1351–5
Omasa T (2002) Gene amplification and its application in cell and tissue engineering. J Biosci Bioeng 94(6):600–5
Park JY, Takagi Y, Yamatani M, Honda K, Asakawa S, Shimizu N, Omasa T, Ohtake H (2010) Identification and analysis of specific chromosomal region adjacent to exogenous Dhfr-amplified region in Chinese hamster ovary cell genome. J Biosci Bioeng 109(5):504–11
Renard JM, Spagnoli R, Mazier C, Salles MF, Mandine E (1998) Evidence that monoclonal antibody production kinetics is related to the integral of the viable cells curve in batch systems. Biotechnol Lett 10:91–96
Rothem L, Berman B, Stark M, Jansen G, Assaraf YG (2005) The reduced folate carrier gene is a novel selectable marker for recombinant protein overexpression. Mol Pharmacol 68(3):616–24
Sandy P, Ventura A, Jacks T (2005) Mammalian RNAi: a practical guide. Biotechniques 39(2):215–24
Simonsen CC, Levinson AD (1983) Isolation and expression of an altered mouse dihydrofolate reductase cDNA. Proc Natl Acad Sci U S A 80(9):2495–9
Sommeregger W, Gili A, Sterovsky T, Casanova E, Kunert R (2013) Powerful expression in Chinese hamster ovary cells using bacterial artificial chromosomes: parameters influencing productivity. BMC Proc 7(Suppl 6):P25
Urlaub G, Chasin LA (1980) Isolation of Chinese hamster cell mutants deficient in dihydrofolate reductase activity. Proc Natl Acad Sci U S A 77(7):4216–20
Urlaub G, Käs E, Carothers AM, Chasin LA (1983) Deletion of the diploid dihydrofolate reductase locus from cultured mammalian cells. Cell 33:405–12
Wei N, Zhang L, Huang H, Chen Y, Zheng J, Zhou X, Yi F, Du Q, Liang Z (2012) siRNA has greatly elevated mismatch tolerance at 3′-UTR sites. PLoS One 7(11), e49309
Wu SC (2009) RNA interference technology to improve recombinant protein production in Chinese hamster ovary cells. Biotechnol Adv 27(4):417–22
Wurm FM (2004) Production of recombinant protein therapeutics in cultivated mammalian cells. Nat Biotechnol 22(11):1393–8
Wurm FM (2013) CHO quasispecies—implications for manufacturing processes. Processes 1:296–311
Wurm FM, Johnson A, Ryll T, Köhne C, Scherthan H, Glaab F, Lie YS, Petropoulos CJ, Arathoon WR (1996) Gene transfer and amplification in CHO cells. Efficient methods for maximizing specific productivity and assessment of genetic consequences. Ann N Y Acad Sci 782:70–8
Yoshikawa T, Nakanishi F, Itami S, Kameoka D, Omasa T, Katakura Y, Kishimoto M, Suga K (2000) Evaluation of stable and highly productive gene amplified CHO cell line based on the location of amplified genes. Cytotechnology 33(1–3):37–46
Zhou H, Liu ZG, Sun ZW, Huang Y, Yu WY (2010) Generation of stable cell lines by site-specific integration of transgenes into engineered Chinese hamster ovary strains using an FLP-FRT system. J Biotechnol 147(2):122–9
Acknowledgments
This research was supported by a grant from KRIBB Research Initiative Program and the National Research Foundation of Korea (NRF) funded by the Ministry of Science, ICT and Future Planning (MSIP), Republic of Korea (NRF-2009-0093664, NRF-2013M3A9B6075892).
Conflict of interest
The authors declare that they have no competing interests.
Author information
Authors and Affiliations
Corresponding author
Additional information
Shin-Young Kang and Yeon-Gu Kim contributed equally to this work.
Rights and permissions
About this article
Cite this article
Kang, SY., Kim, YG., Lee, H.W. et al. A single-plasmid vector for transgene amplification using short hairpin RNA targeting the 3′-UTR of amplifiable dhfr . Appl Microbiol Biotechnol 99, 10117–10126 (2015). https://doi.org/10.1007/s00253-015-6856-y
Received:
Revised:
Accepted:
Published:
Issue Date:
DOI: https://doi.org/10.1007/s00253-015-6856-y

