Abstract
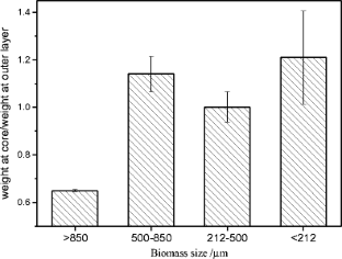
Biomass size significantly affects the characteristics of the extracellular polymeric substances, which in turn influences the biosorption mechanisms. In this work, nickel biosorption mechanisms and the capacity of excess aerobic granules (AGs) of >850 μm, 500–850 μm, 212–500 μm, and bioflocs <212 μm, discharged during wastewater treatment operation, were investigated by elemental composition and spectroscopic analysis. Ni2+ biosorption capacity decreased apparently from 1.28–1.53 to 0.93 mEq/g with the increase of biomass size from 0–850 to >850 μm due to their different biosorption mechanisms. Chemical binding between nickel and protein was dominant for biomass less than 850 μm, whereas nickel adsorption was mainly physical when biogranule size was greater than 850 μm, because the nickel had no opportunity to interact with protein located in the core of the biogranule. Only low levels of ion exchange (<15.22 %) and precipitation (negligible) were observed for all kinds of biomass. Thus, biomass greater and less than 850 μm presented quite different biosorption mechanisms.







Similar content being viewed by others
Explore related subjects
Discover the latest articles and news from researchers in related subjects, suggested using machine learning.References
Angela M, Beatrice B, Mathieu S (2011) Biologically induced phosphorus precipitation in aerobic granular sludge process. Water Res 45(12):3776–3786. doi:10.1016/j.watres.2011.04.031
Bhaskar PV, Bhosle NB (2006) Bacterial extracellular polymeric substance (EPS): a carrier of heavy metals in the marine food-chain. Environ Int 32(2):191–198. doi:10.1016/j.envint.2005.08.010
Chen MY, Lee DJ, Tay JH (2007) Distribution of extracellular polymeric substances in aerobic granules. Appl Microbiol Biotechnol 73(6):1463–1469. doi:10.1007/s00253-006-0617-x
Li AJ, Zhang T, Li XY (2010) Fate of aerobic bacterial granules with fungal contamination under different organic loading conditions. Chemosphere 78(5):500–509. doi:10.1016/j.chemosphere.2009.11.040
McSwain BS, Irvine RL, Hausner M, Wilderer PA (2005) Composition and distribution of extracellular polymeric substances in aerobic flocs and granular sludge. Appl Environ Microbiol 71(2):1051–1057. doi:10.1128/AEM. 71.2.1051-1057.2005
Miksch K, Konczak B (2012) Distribution of extracellular polymeric substances and their role in aerobic granule formation. Chem Process Eng-Inz 33(4):679–688. doi:10.2478/v10176-012-0057-3
Ni BJ, Xie WM, Liu SG, Yu HQ, Wang YZ, Wang G, Dai XL (2009) Granulation of activated sludge in a pilot-scale sequencing batch reactor for the treatment of low-strength municipal wastewater. Water Res 43(3):751–761. doi:10.1016/j.watres.2008.11.009
Sheng PX, Ting YP, Chen JP, Hong L (2004) Sorption of lead, copper, cadmium, zinc, and nickel by marine algal biomass: characterization of biosorptive capacity and investigation of mechanisms. J Colloid Interface Sci 275(1):131–141. doi:10.1016/j.jcis.2004.01.036
Sun X-F, Wang S-G, Liu X-W, Gong W-X, Bao N, Gao B-Y (2008) Competitive biosorption of zinc(II) and cobalt(II) in single- and binary-metal systems by aerobic granules. J Colloid Interface Sci 324(1–2):1–8. doi:10.1016/j.jcis.2008.04.049
Sun X-F, Wang S-G, Zhang X-M, Chen JP, Li X-M, Gao B-Y, Ma Y (2009) Spectroscopic study of Zn2+ and Co2+ binding to extracellular polymeric substances (EPS) from aerobic granules. J Colloid Interface Sci 335(1):11–17. doi:10.1016/j.jcis.2009.03.088
Sun F, Sun W-L, Sun H-M, Ni J-R (2011a) Biosorption behavior and mechanism of beryllium from aqueous solution by aerobic granule. Chem Eng J 172(2–3):783–791. doi:10.1016/j.cej.2011.06.062
Sun X-F, Liu C, Ma Y, Wang S-G, Gao B-Y, Li X-M (2011b) Enhanced Cu(II) and Cr(VI) biosorption capacity on poly(ethylenimine) grafted aerobic granular sludge. Colloids Surf B: Biointerfaces 82(2):456–462. doi:10.1016/j.colsurfb.2010.10.002
Tay JH, Liu QS, Liu Y (2001) The role of cellular polysaccharides in the formation and stability of aerobic granules. Lett Appl Microbiol 33(3):222–226. doi:10.1046/j.1472-765x.2001.00986.x
Tong M, Yu J, Sun X, Li B (2007) Polymer modified biomass of baker’s yeast for treating simulated wastewater containing nickel and lead. Polym Adv Technol 18(10):829–834. doi:10.1002/pat.943
Vijayaraghavan K, Yun YS (2008) Polysulfone-immobilized Corynebacterium glutamicum: a biosorbent for Reactive black 5 from aqueous solution in an up-flow packed column. Chem Eng J 145(1):44–49. doi:10.1016/j.cej.2008.03.001
Wang L, Li Y (2012) Biosorption behavior and mechanism of lead (II) from aqueous solution by aerobic granules (AG) and bacterial alginate (BA). J Ocean Univ China 11(4):495–500. doi:10.1007/s11802-012-2074-8
Wu CY, Peng YZ, Wang SY, Ma Y (2010) Enhanced biological phosphorus removal by granular sludge: from macro- to micro-scale. Water Res 44(3):807–814. doi:10.1016/j.watres.2009.10.028
Xu H, Liu Y (2008) Mechanisms of Cd2+, Cu2+ and Ni2+ biosorption by aerobic granules. Sep Purif Technol 58(3):400–411. doi:10.1016/j.seppur.2007.05.018
Xu H, Tay JH, Foo SK, Yang SF, Liu Y (2004) Removal of dissolved copper(II) and zinc(II) by aerobic granular sludge. Water Sci Technol 50(9):155–160
Yang F, Liu H, Qu J, Paul Chen J (2011) Preparation and characterization of chitosan encapsulated Sargassum sp. biosorbent for nickel ions sorption. Bioresour Technol 102(3):2821–2828. doi:10.1016/j.biortech.2010.10.038
Yao L, Z-f Y, M-p T, Lai P, J-r N (2009) Removal of Cr3+ from aqueous solution by biosorption with aerobic granules. J Hazard Mater 165(1–3):250–255. doi:10.1016/j.jhazmat.2008.09.110
Zhang LL, Feng XX, Zhu NW, Chen JM (2007) Role of extracellular protein in the formation and stability of aerobic granules. Enzym Microb Technol 41(5):551–557. doi:10.1016/j.enzmictec.2007.05.001
Zhou DD, Dong SS, Gao LL, Liu MY, Niu S (2013a) Distribution characteristics of extracellular polymeric substances and cells of aerobic granules cultivated in a continuous-flow airlift reactor. J Chem Technol Biotechnol 88(5):942–947. doi:10.1002/Jctb.3927
Zhou DD, Liu MY, Wang J, Dong SS, Cui N, Gao LL (2013b) Granulation of activated sludge in a continuous flow airlift reactor by strong drag force. Biotechnol Bioproc Eng 18(2):289–299. doi:10.1007/s12257-012-0513-4
Zhou DD, Niu S, Xiong YJ, Yang Y, Dong SS (2014) Microbial selection pressure is not a prerequisite for granulation: dynamic granulation and microbial community study in a complete mixing bioreactor. Bioresour Technol 161:102–108. doi:10.1016/j.biortech.2014.03.001
Acknowledgments
The authors are grateful to the financial support from the Natural Sciences Foundation of China (50908097) and the Development Plan Project of Science and Technology of Jilin Province (20140101159JC, 20140101006JC).
Author information
Authors and Affiliations
Corresponding author
Rights and permissions
About this article
Cite this article
Zhou, D., Yang, Y., Li, Y. et al. Nickel biosorption by discharged biomass from wastewater treatment bioreactor: size plays a key role. Appl Microbiol Biotechnol 99, 2829–2838 (2015). https://doi.org/10.1007/s00253-014-6149-x
Received:
Revised:
Accepted:
Published:
Issue Date:
DOI: https://doi.org/10.1007/s00253-014-6149-x


