Skip to main content

Genetic engineering of Pseudomonas putida KT2440 for rapid and high-yield production of vanillin from ferulic acid

Abstract

Vanillin is one of the most important flavoring agents used today. That is why many efforts have been made on biotechnological production from natural abundant substrates. In this work, the nonpathogenic Pseudomonas putida strain KT2440 was genetically optimized to convert ferulic acid to vanillin. Deletion of the vanillin dehydrogenase gene (vdh) was not sufficiant to prevent vanillin degradation. Additional inactivation of a molybdate transporter, identified by transposon mutagenesis, led to a strain incapable to grow on vanillin as sole carbon source. The bioconversion was optimized by enhanced chromosomal expression of the structural genes for feruloyl-CoA synthetase (fcs) and enoyl-CoA hydratase/aldolase (ech) by introduction of the strong tac promoter system. Further genetic engineering led to high initial conversion rates and molar vanillin yields up to 86 % within just 3 h accompanied with very low by-product levels. To our knowledge, this represents the highest productivity and molar vanillin yield gained with a Pseudomonas strain so far. Together with its high tolerance for ferulic acid, the developed, plasmid-free P. putida strain represents a promising candidate for the biotechnological production of vanillin.

This is a preview of subscription content, access via your institution.

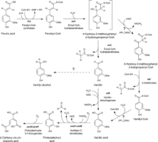
Fig. 1
Fig. 2
Fig. 3
Fig. 4
Fig. 5
Fig. 6
Fig. 7
Fig. 8

References

  • Achterholt S, Priefert H, Steinbüchel A (2000) Identification of Amycolatopsis sp. strain HR167 genes, involved in the bioconversion of ferulic acid to vanillin. Appl Microbiol Biotechnol 54:799–807

    CAS  PubMed  Article  Google Scholar 

  • Altenbuchner J, Viell P, Pelletier I (1992) Positive selection vectors based on palindromic DNA sequences. Methods Enzymol 216:457–466

    CAS  PubMed  Google Scholar 

  • Barghini P, Di Gioia D, Fava F, Ruzzi M (2007) Vanillin production using metabolically engineered Escherichia coli under non-growing conditions. Microb Cell Factories 6:13

    Article  Google Scholar 

  • Berger RG (2009) Biotechnology of flavours—the next generation. Biotechnol Lett 31:1651–1659

    CAS  PubMed  Article  Google Scholar 

  • Bertani G (1951) Studies on lysogenesis. I. The mode of phage liberation by lysogenic Escherichia coli. J Bacteriol 62:293–300

    CAS  PubMed Central  PubMed  Google Scholar 

  • Blaschke M, Kretzer A, Schäfer C, Nagel M, Andreesen JR (1991) Molybdenum-dependent degradation of quinoline by Pseudomonas putida Chin IK and other aerobic bacteria. Arch Microbiol 155:164–169

    CAS  PubMed  Article  Google Scholar 

  • Bonnin E, Lesage-Meessen L, Asther M, Thibault JF (1999) Enhanced bioconversion of vanillic acid into vanillin by the use of “natural” cellobiose. J Sci Food Agric 79:484–486

    CAS  Article  Google Scholar 

  • Calisti C, Ficca AG, Barghini P, Ruzzi M (2008) Regulation of ferulic catabolic genes in Pseudomonas fluorescens BF13: involvement of a MarR family regulator. Appl Microbiol Biotechnol 80:475–483

    CAS  PubMed  Article  Google Scholar 

  • Chung CT, Niemela SL, Miller RH (1989) One-step preparation of competent Escherichia coli: transformation and storage of bacterial cells in the same solution. Proc Natl Acad Sci U S A 86:2172–2175

    CAS  PubMed Central  PubMed  Article  Google Scholar 

  • Civolani C, Barghini P, Roncetti AR, Ruzzi M, Schiesser A (2000) Bioconversion of ferulic acid into vanillic acid by means of a vanillate-negative mutant of Pseudomonas fluorescens strain BF13. Appl Environ Microbiol 66:2311–2317

    CAS  PubMed Central  PubMed  Article  Google Scholar 

  • Clarke PH (1982) The metabolic versatility of pseudomonads. Antonie Van Leeuwenhoek 48:105–130

    CAS  PubMed  Article  Google Scholar 

  • Davidonis G, Knorr D (1991) Callus formation and shoot regeneration in Vanilla planifolia. Food Biotechnol 5:59–66

    Article  Google Scholar 

  • Di Gioia D, Luziatelli F, Negroni A, Ficca AG, Fava F, Ruzzi M (2010) Metabolic engineering of Pseudomonas fluorescens for the production of vanillin from ferulic acid. J Biotechnol 156:309–316

    PubMed  Article  Google Scholar 

  • Escott-Watson PL, Marais JP (1992) Determination of alkali-soluble phenolic monomers in grasses after separation by thin-layer chromatography. J Chromatogr 604:290–293

    CAS  Article  Google Scholar 

  • Fleige C, Hansen G, Kroll J, Steinbüchel A (2013) Investigation of the Amycolatopsis sp. strain ATCC 39116 vanillin dehydrogenase and its impact on the biotechnical production of vanillin. Appl Environ Microbiol 79:81–90

    CAS  PubMed Central  PubMed  Article  Google Scholar 

  • Frunzke K, Heiss B, Meyer O, Zumft WG (1993) Molybdopterin guanine dinucleotide is the organic moiety of the molybdenum cofactor in respiratory nitrate reductase from Pseudomonas stutzeri. FEMS Microbiol Lett 113:241–245

    CAS  Article  Google Scholar 

  • Gasson MJ, Kitamura Y, McLauchlan WR, Narbad A, Parr AJ, Parsons EL, Payne J, Rhodes MJ, Walton NJ (1998) Metabolism of ferulic acid to vanillin. A bacterial gene of the enoyl-SCoA hydratase/isomerase superfamily encodes an enzyme for the hydration and cleavage of a hydroxycinnamic acid SCoA thioester. J Biol Chem 273:4163–4170

    CAS  PubMed  Article  Google Scholar 

  • Graf N, Altenbuchner J (2011) Development of a method for markerless gene deletion in Pseudomonas putida. Appl Environ Microbiol 77:5549–5552

    CAS  PubMed Central  PubMed  Article  Google Scholar 

  • Hansen EH, Moller BL, Kock GR, Bunner CM, Kristensen C, Jensen OR, Okkels FT, Olsen CE, Motawia MS, Hansen J (2009) De novo biosynthesis of vanillin in fission yeast (Schizosaccharomyces pombe) and baker's yeast (Saccharomyces cerevisiae). Appl Environ Microbiol 75:2765–2774

    CAS  PubMed Central  PubMed  Article  Google Scholar 

  • Havkin-Frenkel D, Belanger FC (2008) Biotechnological production of vanillin. In: Havkin-Frenkel D, Belanger FC (eds) Biotechnology in flavor production, 1st edn. Blackwell, Oxford, pp 83–103

    Chapter  Google Scholar 

  • Hua D, Ma C, Song L, Lin S, Zhang Z, Deng Z, Xu P (2007) Enhanced vanillin production from ferulic acid using adsorbent resin. Appl Microbiol Biotechnol 74:783–790

    CAS  PubMed  Article  Google Scholar 

  • Ishii T (1997) Structure and functions of feruloylated polysaccharides. Plant Sci 127:111–127

    CAS  Article  Google Scholar 

  • Ishikawa H, Schubert WJ, Nord FF (1963) Investigations on lignins and lignification. 28. The degradation by Polyporus versicolor and Fomes fomentarius of aromatic compounds structurally related to softwood lignin. Arch Biochem Biophys 100:140–149

    CAS  PubMed  Article  Google Scholar 

  • Koenig K, Andreesen JR (1990) Xanthine dehydrogenase and 2-furoyl-coenzyme A dehydrogenase from Pseudomonas putida Fu1: two molybdenum-containing dehydrogenases of novel structural composition. J Bacteriol 172:5999–6009

    CAS  PubMed Central  PubMed  Google Scholar 

  • Kojima Y, Fujisawa H, Nakazawa A, Nakazawa T, Kanetsuna F, Taniuchi H, Nozaki M, Hayaishi O (1967) Studies on pyrocatechase. I. Purification and spectral properties. J Biol Chem 242:3270–3278

    CAS  PubMed  Google Scholar 

  • Krings U, Berger RG (1998) Biotechnological production of flavours and fragrances. Appl Microbiol Biotechnol 49:1–8

    CAS  PubMed  Article  Google Scholar 

  • Lee EG, Yoon SH, Das A, Lee SH, Li C, Kim JY, Choi MS, Oh DK, Kim SW (2009) Directing vanillin production from ferulic acid by increased acetyl-CoA consumption in recombinant Escherichia coli. Biotechnol Bioeng 102:200–208

    CAS  PubMed  Article  Google Scholar 

  • Lesage-Meessen L, Delattre M, Haon M, Thibault JF, Ceccaldi BC, Brunerie P, Asther M (1996) A two-step bioconversion process for vanillin production from ferulic acid combining Aspergillus niger and Pycnoporus cinnabarinus. J Biotechnol 50:107–113

    CAS  PubMed  Article  Google Scholar 

  • Martinez-Cuesta MC, Payne J, Hanniffy SB, Gasson MJ, Narbad A (2005) Functional analysis of the vanillin pathway in a vdh-negative mutant strain of Pseudomonas fluorescens AN103. Enzym Microb Technol 37:131–138

    CAS  Article  Google Scholar 

  • Muheim A, Lerch K (1999) Towards a high-yield bioconversion of ferulic acid to vanillin. Appl Microbiol Biotechnol 51:456–461

    CAS  Article  Google Scholar 

  • Nakazawa T (2002) Travels of a Pseudomonas, from Japan around the world. Environ Microbiol 4:782–786

    CAS  PubMed  Article  Google Scholar 

  • Narbad A, Gasson MJ (1998) Metabolism of ferulic acid via vanillin using a novel CoA-dependent pathway in a newly-isolated strain of Pseudomonas fluorescens. Microbiology 144:1397–1405

    CAS  PubMed  Article  Google Scholar 

  • Nelson KE, Weinel C, Paulsen IT, Dodson RJ, Hilbert H, Martins dos Santos VA, Fouts DE, Gill SR, Pop M, Holmes M, Brinkac L, Beanan M, DeBoy RT, Daugherty S, Kolonay J, Madupu R, Nelson W, White O, Peterson J, Khouri H, Hance I, Chris Lee P, Holtzapple E, Scanlan D, Tran K, Moazzez A, Utterback T, Rizzo M, Lee K, Kosack D, Moestl D, Wedler H, Lauber J, Stjepandic D, Hoheisel J, Straetz M, Heim S, Kiewitz C, Eisen JA, Timmis KN, Düsterhöft A, Tümmler B, Fraser CM (2002) Complete genome sequence and comparative analysis of the metabolically versatile Pseudomonas putida KT2440. Environ Microbiol 4:799–808

    CAS  PubMed  Article  Google Scholar 

  • Oddou J, Stentelaire C, Lesage-Meessen L, Asther M, Colonna Ceccaldi B (1999) Improvement of ferulic acid bioconversion into vanillin by use of high-density cultures of Pycnoporus cinnabarinus. Appl Microbiol Biotechnol 53:1–6

    CAS  Article  Google Scholar 

  • Okeke BC, Venturi V (1999) Construction of recombinants Pseudomonas putida BO14 and Escherichia coli QEFCA8 for ferulic acid biotransformation to vanillin. J Biosci Bioeng 88:103–106

    CAS  PubMed  Article  Google Scholar 

  • Onaca C, Kieninger M, Engesser KH, Altenbuchner J (2007) Degradation of alkyl methyl ketones by Pseudomonas veronii MEK700. J Bacteriol 189:3759–3767

    CAS  PubMed Central  PubMed  Article  Google Scholar 

  • Oosterveld A, Beldman G, Schols HA, Voragen AG (2000) Characterization of arabinose and ferulic acid rich pectic polysaccharides and hemicelluloses from sugar beet pulp. Carbohydr Res 328:185–197

    CAS  PubMed  Article  Google Scholar 

  • Overhage J, Priefert H, Rabenhorst J, Steinbüchel A (1999a) Biotransformation of eugenol to vanillin by a mutant of Pseudomonas sp. strain HR199 constructed by disruption of the vanillin dehydrogenase (vdh) gene. Appl Microbiol Biotechnol 52:820–828

    Google Scholar 

  • Overhage J, Priefert H, Steinbüchel A (1999b) Biochemical and genetic analyses of ferulic acid catabolism in Pseudomonas sp. strain HR199. Appl Environ Microbiol 65:4837–4847

    CAS  PubMed Central  PubMed  Google Scholar 

  • Overhage J, Priefert H, Rabenhorst J, Steinbüchel A (2000) Construction of production strains for producing substituted phenols by specifically inactiving genes of the eugenol and ferulic acid catabolism. Patent application WO 0026355

  • Overhage J, Steinbüchel A, Priefert H (2003) Highly efficient biotransformation of eugenol to ferulic acid and further conversion to vanillin in recombinant strains of Escherichia coli. Appl Environ Microbiol 69:6569–6576

    CAS  PubMed Central  PubMed  Article  Google Scholar 

  • Peng X, Misawa N, Harayama S (2003) Isolation and characterization of thermophilic bacilli degrading cinnamic, 4-coumaric, and ferulic acids. Appl Environ Microbiol 69:1417–1427

    CAS  PubMed Central  PubMed  Article  Google Scholar 

  • Plaggenborg R, Overhage J, Steinbüchel A, Priefert H (2003) Functional analyses of genes involved in the metabolism of ferulic acid in Pseudomonas putida KT2440. Appl Microbiol Biotechnol 61:528–535

    CAS  PubMed  Google Scholar 

  • Plaggenborg R, Overhage J, Loos A, Archer JA, Lessard P, Sinskey AJ, Steinbüchel A, Priefert H (2006) Potential of Rhodococcus strains for biotechnological vanillin production from ferulic acid and eugenol. Appl Microbiol Biotechnol 72:745–755

    CAS  PubMed  Article  Google Scholar 

  • Priefert H, Rabenhorst J, Steinbüchel A (2001) Biotechnological production of vanillin. Appl Microbiol Biotechnol 56:296–314

    CAS  PubMed  Article  Google Scholar 

  • Ramachandra Rao S, Ravishankar GA (2000) Vanilla flavour: production by conventional and biotechnological routes. J Sci Food Agric 80:289–304

    Article  Google Scholar 

  • Rosazza JP, Huang Z, Dostal L, Volm T, Rousseau B (1995) Review: biocatalytic transformations of ferulic acid: an abundant aromatic natural product. J Ind Microbiol 15:457–471

    CAS  PubMed  Article  Google Scholar 

  • Sambrook J, Fritsch EF, Maniatis T (1989) Molecular cloning: a laboratory manual, 2nd edn. Cold Spring Harbor Laboratory, Cold Spring Harbor

    Google Scholar 

  • Simon R, Priefer U, Pühler A (1983) A broad host range mobilization system for in vivo genetic engineering: transposon mutagenesis in gram negative bacteria. Nat Biotechnol 1:784–791

    CAS  Article  Google Scholar 

  • Sinha AK, Verma SC, Sharma UK (2007) Development and validation of an RP-HPLC method for quantitative determination of vanillin and related phenolic compounds in Vanilla planifolia. J Sep Sci 30:15–20

    CAS  PubMed  Article  Google Scholar 

  • Stentelaire C, Lesage-Meessen L, Delattre M, Haon M, Sigoillot JC, Ceccaldi BC, Asther M (1997) By-passing of unwanted vanillyl alcohol formation using selective adsorbents to improve vanillin production with Phanerochaete chrysosporium. World J Microbiol Biotechnol 14:285–287

    Article  Google Scholar 

  • Tilay A, Bule M, Annapure U (2010) Production of biovanillin by one-step biotransformation using fungus Pycnoporous cinnabarinus. J Agric Food Chem 58:4401–4405

    CAS  PubMed  Article  Google Scholar 

  • Williams PA, Murray K (1974) Metabolism of benzoate and the methylbenzoates by Pseudomonas putida (arvilla) mt-2: evidence for the existence of a TOL plasmid. J Bacteriol 120:416–423

    CAS  PubMed Central  PubMed  Google Scholar 

  • Yanisch-Perron C, Vieira J, Messing J (1985) Improved M13 phage cloning vectors and host strains: nucleotide sequences of the M13mp18 and pUC19 vectors. Gene 33:103–119

    CAS  PubMed  Article  Google Scholar 

  • Yoon SH, Lee EG, Das A, Lee SH, Li C, Ryu HK, Choi MS, Seo WT, Kim SW (2007) Enhanced vanillin production from recombinant E. coli using NTG mutagenesis and adsorbent resin. Biotechnol Prog 23:1143–1148

    PubMed  Google Scholar 

Download references

Acknowledgments

The authors would like to thank the Federal Ministry of Science and Education (BMBF), Germany, for funding this project (Systembiologie in Pseudomonas, FZK 315406). We also thank Armin Huber, Jens Pfannstiel, and Oliver Simon from the Proteomics Core Facility of Life Science Center, University of Hohenheim, Germany, for providing the proteomics data. We also thank Georg Sprenger for helpful discussions.

Author information

Affiliations

Authors

Corresponding author

Correspondence to Josef Altenbuchner.

Electronic supplementary material

Below is the link to the electronic supplementary material.

ESM 1

(PDF 39 kb)

Rights and permissions

Reprints and Permissions

About this article

Cite this article

Graf, N., Altenbuchner, J. Genetic engineering of Pseudomonas putida KT2440 for rapid and high-yield production of vanillin from ferulic acid. Appl Microbiol Biotechnol 98, 137–149 (2014). https://doi.org/10.1007/s00253-013-5303-1

Download citation

  • Received:

  • Revised:

  • Accepted:

  • Published:

  • Issue Date:

  • DOI: https://doi.org/10.1007/s00253-013-5303-1

Keywords

  • Bioconversion
  • Pseudomonas putida
  • Vanillin
  • Ferulic acid
  • Genetic engineering
  • Plasmid-free