Skip to main content

Enhanced 2,3-butanediol production in fed-batch cultures of free and immobilized Bacillus licheniformis DSM 8785

Abstract

2,3-Butanediol (2,3-BD) is a valuable bulk chemical with particular use in industry. 2,3-BD has a potential as solvent and fuel additive, as carrier for pharmaceuticals, or as feedstock for the production of synthetic rubber. Until now, the highest 2,3-BD concentrations were obtained with risk group 2 microorganisms (e.g., Klebsiella oxytoca). In this study, the nonpathogenic bacterium Bacillus licheniformis DSM 8785 was used for 2,3-BD production from glucose. In batch experiments, a maximum 2,3-BD concentration of 72.6 g/L was reached from 180 g/L glucose after 86 h. The yield was 0.42 g/g glucose and the productivity was 0.86 g/(L h). During fed-batch cultivation, 2,3-BD production could be increased up to 144.7 g/L, with a productivity of 1.14 g/(L h). Additionally, repeated batch/fed-batch experiments were conducted using immobilized B. licheniformis in the form of LentiKats®. Results showed a high activity and stability of the immobilizates even after multiple medium replacements, as well as 2,3-BD concentrations, yields, and productivities similar to those obtained with free cells. To our knowledge, these results show the highest 2,3-BD concentration reported so far using a risk group 1 microorganism in general and B. licheniformis in particular. Furthermore, productivity lies in the same range with data reported from risk group 2 strains, which makes B. licheniformis DSM 8785 a suitable candidate for large-scale fermentation processes.

This is a preview of subscription content, access via your institution.

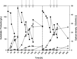
Fig. 1
Fig. 2
Fig. 3
Fig. 4

References

  • Biswas R, Yamaoka M, Nakayama H, Kondo T, K-i Y, Bisaria V, Kondo A (2012) Enhanced production of 2,3-butanediol by engineered Bacillus subtilis. Appl Microbiol Biotechnol 94:651–658

    PubMed  Article  CAS  Google Scholar 

  • Celińska E, Grajek W (2009) Biotechnological production of 2,3-butanediol—current state and prospects. Biotechnol Adv 27:715–725

    PubMed  Article  Google Scholar 

  • Fulmer EI, Christensen LM, Kendali AR (1933) Production of 2,3-butylene glycol by fermentation. Ind Eng Chem 25:798–800

    Article  CAS  Google Scholar 

  • Garg SK, Jain A (1995) Fermentative production of 2,3-butanediol: a review. Bioresour Technol 51:103–109

    Article  CAS  Google Scholar 

  • Gräfje H, Körnig W, Weitz H-M, Reiß W, Steffan G, Diehl H, Bosche H, Schneider K, Kieczka H (2000) Butanediols, butenediol, and butynediol. In: Bailey JE, Brinker CJ, Cornils B (eds) Ullmann’s encyclopedia of industrial chemistry, 7th edn. Wiley-VCH, Weinheim (electronic release)

    Google Scholar 

  • Häßler T, Schieder D, Pfaller R, Faulstich M, Sieber V (2012) Enhanced fed-batch fermentation of 2,3-butanediol by Paenibacillus polymyxa DSM 365. Bioresour Technol 124:237–244

    PubMed  Article  Google Scholar 

  • Ji X-J, Huang H, Zhu J-G, Ren L-J, Nie Z-K, Du J, Li S (2010) Engineering Klebsiella oxytoca for efficient 2, 3-butanediol production through insertional inactivation of acetaldehyde dehydrogenase gene. Appl Microbiol Biotechnol 85:1751–1758

    PubMed  Article  CAS  Google Scholar 

  • Ji X-J, Huang H, Ouyang P-K (2011) Microbial 2,3-butanediol production: a state-of-the-art review. Biotechnol Adv 29:351–364

    PubMed  Article  CAS  Google Scholar 

  • Jung M-Y, Ng C, Song H, Lee J, Oh M-K (2012) Deletion of lactate dehydrogenase in Enterobacter aerogenes to enhance 2,3-butanediol production. Appl Microbiol Biotechnol 95:461–469

    PubMed  Article  CAS  Google Scholar 

  • Ma C, Wang A, Qin J, Li L, Ai X, Jiang T, Tang H, Xu P (2009) Enhanced 2,3-butanediol production by Klebsiella pneumoniae SDM. Appl Microbiol Biotechnol 82:49–57

    PubMed  Article  CAS  Google Scholar 

  • Moes J, Griot M, Keller J, Heinzle E, Dunn IJ, Bourne JR (1985) A microbial culture with oxygen-sensitive product distribution as a potential tool for characterizing bioreactor oxygen transport. Biotechnol Bioeng 27:482–489

    PubMed  Article  CAS  Google Scholar 

  • Nakashimada Y, Kanai K, Nishio N (1998) Optimization of dilution rate, pH and oxygen supply on optical purity of 2,3-butanediol produced by Paenibacillus polymyxa in chemostat culture. Biotechnol Lett 20:1133–1138

    Article  CAS  Google Scholar 

  • Nie Z-K, Ji X-J, Huang H, Du J, Li Z-Y, Qu L, Zhang Q, Ouyang P-K (2011) An effective and simplified fed-batch strategy for improved 2,3-butanediol production by Klebsiella oxytoca. Appl Biochem Biotechnol 163:946–953

    PubMed  Article  CAS  Google Scholar 

  • Nilegaonkar S, Bhosale SB, Kshirsagar DC, Kapadi AH (1992) Production of 2,3-butanediol from glucose by Bacillus licheniformis. World J Microbiol Biotechnol 8:378–381

    Article  CAS  Google Scholar 

  • Nilegaonkar SS, Bhosale SB, Dandage CN, Kapadi AH (1996) Potential of Bacillus licheniformis for the production of 2,3-butanediol. J Ferment Bioeng 82:408–410

    Article  CAS  Google Scholar 

  • Perego P, Converti A, Del Borghi M (2003) Effects of temperature, inoculum size and starch hydrolyzate concentration on butanediol production by Bacillus licheniformis. Bioresour Technol 89:125–131

    PubMed  Article  CAS  Google Scholar 

  • Syu MJ (2001) Biological production of 2,3-butanediol. Appl Microbiol Biotechnol 55:10–18

    PubMed  Article  CAS  Google Scholar 

  • Voloch M, Jansen NB, Ladisch MR, Tsao GT, Narayan R, Rodwell VW (1985) 2,3-Butanediol. In: Moo-Young M, Blanch HW, Drew S, Wang DIC (eds) Comprehensive biotechnology. Pergamon, Oxford, pp 933–947

    Google Scholar 

  • Wang Q, Chen T, Zhao X, Chamu J (2012) Metabolic engineering of thermophilic Bacillus licheniformis for chiral pure d-2,3-butanediol production. Biotechnol Bioeng 109:1610–1621

    PubMed  Article  CAS  Google Scholar 

  • Yang T, Rao Z, Zhang X, Lin Q, Xia H, Xu Z, Yang S (2011) Production of 2,3-butanediol from glucose by GRAS microorganism Bacillus amyloliquefaciens. J Basic Microbiol 51:650–658

    PubMed  Article  CAS  Google Scholar 

  • Zeng AP, Biebl H, Deckwer WD (1991) Production of 2,3-butanediol in a membrane bioreactor with cell recycle. Appl Microbiol Biotechnol 34:463–468

    Article  CAS  Google Scholar 

  • Zhang L, Ja S, Hao Y, Zhu J, Chu J, Wei D, Shen Y (2010a) Microbial production of 2,3-butanediol by a surfactant (serrawettin)-deficient mutant of Serratia marcescens H30. J Ind Microbiol Biotechnol 37:857–862

    PubMed  Article  CAS  Google Scholar 

  • Zhang L, Yang Y, Ja S, Shen Y, Wei D, Zhu J, Chu J (2010b) Microbial production of 2,3-butanediol by a mutagenized strain of Serratia marcescens H30. Bioresour Technol 101:1961–1967

    PubMed  Article  CAS  Google Scholar 

Download references

Acknowledgments

This work was carried out in the framework of the European Research Area Network for Industrial Biotechnology (ERA-IB) and was funded by the Fachagentur Nachwachsende Rohstoffe e.V. (FNR) (grant no. 22009608A-E).

Author information

Affiliations

Authors

Corresponding author

Correspondence to Siegmund Lang.

Rights and permissions

Reprints and Permissions

About this article

Cite this article

Jurchescu, IM., Hamann, J., Zhou, X. et al. Enhanced 2,3-butanediol production in fed-batch cultures of free and immobilized Bacillus licheniformis DSM 8785. Appl Microbiol Biotechnol 97, 6715–6723 (2013). https://doi.org/10.1007/s00253-013-4981-z

Download citation

  • Received:

  • Revised:

  • Accepted:

  • Published:

  • Issue Date:

  • DOI: https://doi.org/10.1007/s00253-013-4981-z

Keywords

  • 2,3-Butanediol
  • Glucose
  • Bacillus licheniformis
  • Fed-batch
  • Immobilized cells
  • LentiKats®