Skip to main content

Highly sensitive detection and quantification of the pathogen Yersinia ruckeri in fish tissues by using real-time PCR

Abstract

Yersinia ruckeri is the causative agent of enteric redmouth diseases (ERM) and one of the major bacterial pathogens causing losses in salmonid aquaculture. Since recent ERM vaccine breakdowns have been described mostly attributed to emergence of Y. ruckeri biotype 2 strains, rapid, reproducible, and sensitive methods for detection are needed. In this study, a real-time polymerase chain reaction (PCR) primer/probe set based on recombination protein A (recA) gene was designed and optimized to improve the detection of Y. ruckeri. The primer/probe set proved to have a 100 % analytical specificity and a sensitivity of 1.8 ag μl−1, equivalent to 1.7 colony-forming units (CFU) ml−1, for purified DNA, 3.4 CFU g−1 for seeded liver, kidney, and spleen tissues, and 0.34 CFU/100 μl−1 for seeded blood, respectively. The assay was highly reproducible with low variation coefficient values for intra- and inter-run experiments (2.9 % and 9.5 %, respectively). Following optimization, the assay was used to detect changes in the bacterial load during experimental infection. Rainbow trout (Onchorhynchus mykiss) were exposed to two strains of Y. ruckeri (biotype 1 and biotype 2) by intraperitoneal inoculation. Internal organs (liver, kidney, spleen) and blood were biopsied from dead fish daily for 15 days to quantify copies of pathogen DNA per gram of tissue. The findings showed the efficacy of this real-time PCR assay to quantify Y. ruckeri cells in the fish tissues and also confirmed this assay as a non-lethal method for the detection of this pathogen in blood samples.

This is a preview of subscription content, access via your institution.

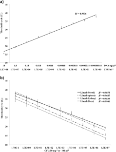
Fig. 1
Fig. 2

References

  • Altinok I, Grizzle JM, Liu Z (2001) Detection of Yersinia ruckeri in rainbow trout blood by use of the polymerase chain reaction. Dis Aquat Org 44:29–34

    Article  CAS  Google Scholar 

  • Argenton F, De Mas S, Malocco C, Dalla Valle L, Giorgetti G, Colombo L (1996) Use of random DNA amplification to generate specific molecular probes for hybridization tests and PCR-based diagnosis of Yersinia ruckeri. Dis Aquat Org 24:121–127

    Article  CAS  Google Scholar 

  • Balcázar JL, Vendrell D, de Blas I, Ruiz-Zarzuela I, Gironés O, Múzquiz JL (2007) Quantitative detection of Aeromonas salmonicida in fish tissue by real-time PCR using self-quenched, fluorogenic primers. J Med Microbiol 56:323–328

    Article  Google Scholar 

  • Bastardo A, Bohle H, Ravelo C, Toranzo AE, Romalde JL (2011a) Serological and molecular heterogeneity among Yersinia ruckeri strains isolated from farmed Atlantic salmon Salmo salar in Chile. Dis Aquat Org 93:207–214

    Article  CAS  Google Scholar 

  • Bastardo A, Sierralta V, León J, Ravelo C, Romalde JL (2011b) Phenotypical and genetic characterization of Yersinia ruckeri strains isolates from recent outbreaks in farmed rainbow trout Onchorhyncus mykiss (Walbaum) in Peru. Aquaculture 317:229–232

    Article  Google Scholar 

  • Bastardo A, Ravelo C, Romalde JL (2012) A polyphasic approach to study the intraspecific diversity of Yersinia ruckeri strains isolated from recent outbreaks in salmonid culture. Vet Microbiol. doi:10.1016/j.vetmic.2012.05.024

  • Beaz-Hidalgo R, Magi GE, Balboa S, Barja JL, Romalde JL (2008) Development of a PCR protocol for the detection of Aeromonas salmonicida in fish by amplification of the fstA (ferric siderophore receptor) gene. Vet Microbiol 128:386–394

    Article  CAS  Google Scholar 

  • Bilodeau AL, Waldbieser GC, Terhune JS, Wise DJ, Wolters WR (2003) A Real-time polymerase chain reaction assay of the bacterium Edwardsiella ictaluri in channel catfish. J Aquat Anim Health 15:80–86

    Article  Google Scholar 

  • Busch RA (1978) Enteric redmouth disease (Hagerman strain). Mar Fish Rev 40:42–51

    Google Scholar 

  • Busch RA, Lingg AJ (1975) Establishment of an asymptomatic carrier state infection of enteric redmouth disease in rainbow trout (Salmo gairdneri). J Fish Res Board Can 32:2429–2432

    Article  Google Scholar 

  • Coquet L, Cosette P, Quillet L, Petit F, Junter GA, Jouenne T (2002) Occurrence and phenotypic characterization of Yersinia ruckeri strains with biofilm-forming capacity in a rainbow trout farm. Appl Environ Microbiol 68:470–475

    Article  CAS  Google Scholar 

  • Cunningham CO (2002) Molecular diagnosis of fish and shellfish diseases: present status and potential use in disease control. Aquaculture 206:19–55

    Article  CAS  Google Scholar 

  • Davies RL (1991) Clonal analysis of Yersinia ruckeri based on biotypes, serotypes and outer membrane protein types. J Fish Dis 14:221–228

    Article  Google Scholar 

  • Evenhuis JP, Lapatra SE, Verner-Jeffreys DW, Dalsgaard I, Welch TJ (2009) Identification of flagellar motility genes in Yersinia ruckeri by transposon mutagenesis. Appl Environ Microbiol 75:6630–6633

    Article  CAS  Google Scholar 

  • Gibello A, Blanco MM, Moreno AM, Cutuli MT, Domenech A, Domínguez I, Fernández-Garayzábal JF (1999) Development of a PCR assay for detection of Yersinia ruckeri in tissues of inoculated and naturally infected trout. Appl Environ Microbiol 65:346–350

    CAS  Google Scholar 

  • Glenn R, Taylor PW, Hanson KC (2011) The use of real-time PCR primer/probe set to observe infectivity of Yersinia ruckeri in Chinook salmon, Oncorhynchus tshawytscha (Walbaum), and steelhead trout, Oncorhynchus mykiss (Walbaum). J Fish Dis 34:783–791

    Article  CAS  Google Scholar 

  • Horne MT, Barnes AC (1999) Enteric redmouth disease (Yersinia ruckeri). In: Woo PTK, Bruno DW (eds) Fish diseases and disorders, vol. 3: viral, bacterial and fungal infections. CABI Publishing, Oxford, pp 455–477

    Google Scholar 

  • Jung MY, Chang Y-H, Kim W (2010) A real-time PCR assay for detection and quantification of Lactococcus garvieae. J Appl Microbiol 108:1694–1701

    Article  CAS  Google Scholar 

  • Karatas S, Mikalsen J, Steinum TM, Taksdal T, Bordevik M, Colquhoun DJ (2008) Real time PCR detection of Piscirickettsia salmonis from formalin-fixed paraffin-embedded tissues. J Fish Dis 31:747–753

    Article  CAS  Google Scholar 

  • Keeling SE, Johnston C, Wallis R, Brosnahan CL, Gudkovs N, McDonald WL (2011) Development and validation of real-time PCR for the detection of Yersinia ruckeri. J Fish Dis 35:119–125

    Article  Google Scholar 

  • Klein A, Barsuk R, Dagan S, Nusbaum O, Shouval D, Galun E (1997) Comparison of methods for extraction of nucleic acid from hemolytic serum for PCR amplification of hepatitis B virus DNA sequences. J Clin Microbiol 35:1897–1899

    CAS  Google Scholar 

  • Köllner B, Blohm U, Kotterba G, Fischer U (2001) A monoclonal antibody recognising a surface marker on rainbow trout (Oncorhynchus mykiss) monocytes. Fish Shellfish Immunol 11:127–142

    Article  Google Scholar 

  • Lejeune JR, Rurangirwa FR (2000) Polymerase chain reaction for definitive identification of Yersinia ruckeri. J Vet Diagn Invest 12:558–561

    Article  CAS  Google Scholar 

  • Moritomo T, Serata K, Teshirogi K, Aikawa H, Inoue Y, Itou T, Nakanishi T (2003) Flow cytometric analysis of the neutrophil respiratory burst of ayu, Plecoglossus altivelis: comparison with other fresh water fish. Fish Shellfish Immunol 15:29–38

    Article  CAS  Google Scholar 

  • Nadkarni MA, Martin FE, Jacques NA, Hunter N (2002) Determination of bacterial load by real-time PCR using a broad-range (universal) probe and primers set. Microbiology 148:257–266

    CAS  Google Scholar 

  • Osorio CR, Collins MD, Toranzo AE, Barja JL, Romalde JL (1999) 16 S rRNA gene sequence analysis of Photobacterium damselae and nested PCR method for rapid detection of the causative agent of fish pasteurellosis. Appl Environ Microbiol 65:2942–2946

    CAS  Google Scholar 

  • Purcell MH, Getchell RG, McClure CA, Gerver KA (2011) Quantitative polymerase chain reaction (PCR) for detection of aquatic animal pathogens in a diagnostic laboratory setting. J Aquat Anim Health 23:148–161

    Article  Google Scholar 

  • Rodgers CJ, Hudson EB (1985) A comparison of two methods for isolation of Yersinia ruckeri from rainbow trout (Salmo gairdneri). Bull Eur Ass Fish Pathol 5:92–93

    Google Scholar 

  • Romalde JL, Margariños B, Barja JL, Toranzo AE (1993) Antigenic and molecular characterization of Yersinia ruckeri. Proposal for a new intraspecies classification. Syst Appl Microbiol 16:411–419

    Article  CAS  Google Scholar 

  • Romalde JL, Barja JL, Magariños B, Toranzo AE (1994) Starvation-survival processes of the bacterial fish pathogen Yersinia ruckeri. Syst Appl Microbiol 17:161–168

    Article  Google Scholar 

  • Romalde JL, López-Romalde S, Ravelo C, Magariños B, Toranzo A (2004) Development and validation of a PCR-based protocol for the detection of Pseudomonas anguilliseptica. Fish Pathol 39:33–41

    Article  CAS  Google Scholar 

  • Song YL, Fryer JL, Rohovec JS (1988) Comparison of six media for the cultivation of Flexibacter columnaris. Fish Pathol 23:91–94

    Article  Google Scholar 

  • Stevenson RMW, Airdrie DW (1984) Serological variation among Yersinia ruckeri strains. J Fish Dis 7:247–254

    Article  Google Scholar 

  • Suzuki K, Sakai DK (2007) Real-time PCR for quantification of viable Renibacterium salmoninarum in chum salmon. Dis Aquat Org 74:209–223

    Article  CAS  Google Scholar 

  • Taylor PW, Glenn RA, Gutenberger SK, Sorenson R (2009) Development and refinement of PCR and qPCR assays for the rapid detection of Renibacterium salmoniarum, the causative agent of bacterial kidney disease, in Chinook salmon at the Warm Springs National Fish Hatchery. U. S. Fish and Wildlife Service, Abernathy Fish Technology Center, Longview, WA

  • Temprano A, Yugueros J, Hernanz C, Sánchez M, Berzal B, Luengo JM, Naharro G (2001) Rapid identification of Yersinia ruckeri by PCR amplification of yruI-yruR quorum sensing. J Fish Dis 24:253–261

    Article  CAS  Google Scholar 

  • Trakhna F, Harf-Monteil C, Abdel Nour A, Maaroufi A, Gadonna-Widehem P (2009) Rapid Aeromonas hydrophila identification by TaqMan PCR assay: comparison with a phenotypic method. Lett Appl Microbiol 49:186–190

    Article  CAS  Google Scholar 

  • Welch TJ, Wiens GD (2005) Construction of a virulent, green fluorescent protein tagged Yersinia ruckeri and detection in trout tissues after intraperitoneal and immersion challenge. Dis Aquat Org 67:267–272

    Article  CAS  Google Scholar 

  • Welch TJ, Verner-Jeffreys DW, Dalsgaard I, Wiklund T, Evenhuis JP, Cabrera JA, Hinshaw JM, Drennan JD, LaPatra SE (2011) Independent emergence of Yersinia ruckeri biotype 2 in the United States and Europe. Appl Environ Microbiol 77:3493–3499

    Article  CAS  Google Scholar 

  • Wiens GD, Vallejo RL (2010) Temporal and pathogen-load dependent changes in rainbow trout (Oncorhynchus mykiss) immune response traits following challenge with biotype 2 Yersinia ruckeri. Fish Shellfish Immunol 29:639–647

    Article  CAS  Google Scholar 

Download references

Acknowledgments

This research was supported in part by Grant AGL2010-18438 for the Ministerio de Ciencia e Innovación (MICINN) Spain. A.B. acknowledges the FONACIT (Venezuela) for research fellowship.

Author information

Affiliations

Authors

Corresponding author

Correspondence to Jesús L. Romalde.

Rights and permissions

Reprints and Permissions

About this article

Cite this article

Bastardo, A., Ravelo, C. & Romalde, J.L. Highly sensitive detection and quantification of the pathogen Yersinia ruckeri in fish tissues by using real-time PCR. Appl Microbiol Biotechnol 96, 511–520 (2012). https://doi.org/10.1007/s00253-012-4328-1

Download citation

  • Received:

  • Revised:

  • Accepted:

  • Published:

  • Issue Date:

  • DOI: https://doi.org/10.1007/s00253-012-4328-1

Keywords

  • Real-time PCR
  • Yersinia ruckeri
  • Enteric redmouth disease
  • Oncorhynchus mykiss
  • Non-lethal method