Skip to main content

Modelling growth of, and removal of Zn and Hg by a wild microalgal consortium

Abstract

Microorganisms isolated from sites contaminated with heavy metals usually possess a higher removal capacity than strains from regular cultures. Heavy metal-containing soil samples from an industrial dumpsite in Northern Portugal were accordingly collected; following enrichment under metal stress, a consortium of wild microalgae was obtained. Their ability to grow in the presence of, and their capacity to recover heavy metals was comprehensively studied; the datasets thus generated were fitted to by a combined model of biomass growth and metal uptake, derived from first principles. After exposure to 15 and 25 mg/L Zn2+ for 6 days, the microalgal consortium reached similar, or higher cell density than the control; however, under 50 and 65 mg/L Zn2+, 71% to 84% inhibition was observed. Growth in the presence of Hg2+ was significantly inhibited, even at a concentration as low as 25 μg/L, and 90% inhibition was observed above 100 μg/L. The maximum amount of Zn2+ removed was 21.3 mg/L, upon exposure to 25 mg/L for 6 day, whereas the maximum removal of Hg2+ was 335 μg/L, upon 6 day in the presence of 350 μg/L. The aforementioned mechanistic model was built upon Monod assumptions (including heavy metal inhibition), coupled with Leudeking–Piret relationships between the rates of biomass growth and metal removal. The overall fits were good under all experimental conditions tested, thus conveying a useful tool for rational optimisation of microalga-mediated bioremediation.

This is a preview of subscription content, access via your institution.

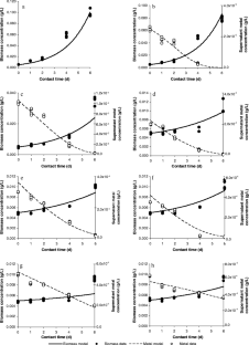
Fig. 1
Fig. 2

References

  • Bailey JE, Ollis DF (1986) Kinetics of substrate utilization, product formation, and biomass production in cell cultures. In: Verma K, Martin CC (eds) Biochemical engineering fundamentals. McGraw-Hill, Singapore, pp 373–454

    Google Scholar 

  • Bayramoğlu G, Arıca MY (2008) Removal of heavy mercury (II), cadmium (II) and zinc (II) metal ions by live and heat inactivated Lentinus edodes pellets. Chem Eng J 143:133–140

    Article  Google Scholar 

  • Ben-Bassat D, Mayer AM (1977) Reduction of mercury chloride by Chlorella: evidence for a reducing factor. Physiol Plant 40:157–162

    Article  CAS  Google Scholar 

  • Borowitzka MA, Borowitzka LJ (1988) Algal media and sources of algal cultures. In: Borowitzka MA, Borowitzka LJ (eds) Microalgal biotechnology. Cambridge University Press, Cambridge, pp 456–466

    Google Scholar 

  • Cain A, Vannela R, Woo LK (2007) Cyanobacteria as a biosorbent for mercuric ion. Biores Technol 14:6578–6586

    Google Scholar 

  • Capolino E, Tredici M, Pepi M, Baldi F (1997) Tolerance to mercury chloride in Scenedesmus strains. Biometals 10:85–94

    Article  CAS  Google Scholar 

  • Carr HP, Cariño FA, Yang MS, Wong MH (1998) Characterization of the cadmium-binding capacity of Chlorella vulgaris. Bull Environ Contam Toxicol 60:433–440

    Article  CAS  Google Scholar 

  • Cruz CCV, Costa ACA, Henriques CA, Luna AS (2004) Kinetic modeling and equilibrium studies during cadmium biosorption by dead Sargassum sp. biomass. Bioresource Technol 91:249–257

    Article  CAS  Google Scholar 

  • Essa AMM, Macaskie LE, Brown NL (2002) Mechanisms of mercury bioremediation. Biochem Soc Trans 30:672–674

    Article  CAS  Google Scholar 

  • García-Heras JL (2003) Reactor sizing, process kinetics and modelling of anaerobic digestion of complex wastes. In: Mata-Alvarez J (ed) Biomethanization of the organic fraction of municipal solid wastes. IWA, London, pp 21–62

    Google Scholar 

  • Gupta VK, Rastogi A (2008a) Biosorption of lead from aqueous solutions by green algae Spirogyra species: kinetics and equilibrium studies. J Haz Mat 152:407–414

    Article  CAS  Google Scholar 

  • Gupta VK, Rastogi A (2008b) Equilibrium and kinetic modelling of cadmium(II) biosorption by nonliving algal biomass Oedogonium sp. from aqueous phase. J Haz Mat 153:759–766

    Article  CAS  Google Scholar 

  • Knauer K, Behra R, Sigg L (1997) Effects of free Cu2+ and Zn2+ ions on growth and metal accumulation in freshwater algae. Environ Toxicol Chem 16:220–229

    CAS  Google Scholar 

  • Maeda S, Sakaguchi T (1990) Accumulation and detoxification of toxic elements by algae. In: Akatsuka I (ed) Introduction to applied phycology. SPB Academic, Hague

    Google Scholar 

  • Mehta SK, Gaur JP (2005) Use of algae for removing heavy metal ions from wastewater: progress and prospects. Crit Rev Biotechnol 25:113–152

    Article  CAS  Google Scholar 

  • Monteiro CM, Castro PML, Malcata FX (2011) Biosorption of zinc from aqueous solution by the microalga Scenedesmus obliquus. Environ Chem Lett 9:169–176

    Article  CAS  Google Scholar 

  • Nacorda JO, Matinez-Goss MR, Torreta NK, Merca FE (2007) Metal resistance and removal by two strains of the green alga, Chlorella vulgaris Beijerinck, isolated from Laguna de Bay, Philippines. J Appl Phycol 19:701–710

    Article  CAS  Google Scholar 

  • Nalimova AA, Popova VV, Tsoglin LN, Pronina NA (2005) The effects of copper and zinc on Spirulina platensis growth and heavy metal accumulation in its cells. Russian J Plant Physiol 52:229–234

    Article  CAS  Google Scholar 

  • Oliveira RS, Dodd JC, Castro PML (2001) The mycorrhizal status of Phragmites australis in several polluted soils and sediments of an industrialised region of Northern Portugal. Mycorrhiza 10:241–247

    Article  CAS  Google Scholar 

  • Omar HH (2002) Adsorption of zinc ions by Scenedesmus obliquus and Scenedesmus quadricauda and its effect on growth and metabolism. Biol Plantarum 45:261–266

    Article  CAS  Google Scholar 

  • Radix P, Léonard M, Papantoniou C, Roman G, Saouter E, Galloti-Schmitt S, Thiébaud H, Vasseur P (2000) Comparison of four chronic toxicity tests using algae, bacteria, and invertebrates assessed with sixteen chemicals. Ecotoxicol Environ Safety 47:186–194

    Article  CAS  Google Scholar 

  • Ribeiro JPN, Lopes JA, Fachini A (2008) Cleansing contaminated seawaters using marine cyanobacteria: evaluation of trace metal removal from the medium. Int J Environ Anal Chem 10:701–710

    Article  Google Scholar 

  • Schmitt D, Müller A, Csögör Z, Frimmel FH, Posten C (2001) The adsorption kinetics of metal ions onto different microalgae and siliceous earth. Water Res 35:779–785

    Article  CAS  Google Scholar 

  • Senthilkumar R, Vijayaraghavan K, Thilakavathi M, Iyer PVR, Velan M (2006) Seaweeds for the remediation of wastewaters contaminated with zinc(II) ions. J Haz Mat B 136:791–799

    Article  CAS  Google Scholar 

  • Srivastava NK, Majumder CB (2008) Novel biofiltration methods for the treatment of heavy metals from industrial wastewater. J Haz Mat 151:1–8

    Article  CAS  Google Scholar 

  • di Toppi LS, Gabbrielli R (1999) Response to cadmium in higher plants. Environ Exp Bot 41:105–130

    Article  Google Scholar 

  • Torres E, Cid A, Herrero C, Abalde J (2000) Effect of cadmium on growth, ATP content, carbon fixation and ultrastructure in the marine diatom Phaeodactylum tricornutum. Water Air Soil Pollut 117:1–14

    Article  CAS  Google Scholar 

  • Tripathi BN, Gaur JP (2006) Physiological behaviour of Scenedesmus sp. during exposure to elevated levels of Cu and Zn and after withdrawal of metal stress. Protoplasma 229:1–9

    Article  CAS  Google Scholar 

  • Valle BL, Auld DS (1990) Zinc coordination, function, and structure of zinc enzymes and other proteins. Perspect Biochem 29:5647–5659

    Google Scholar 

  • Vannela R, Verma S (2006) Co2+, Cu2+ and Zn2+ accumulation by cyanobacterium Spirulina platensis. Biotechnol Prog 22:1282–1293

    Article  CAS  Google Scholar 

Download references

Acknowledgements

The authors are grateful to Câmara Municipal de Estarreja, for allowing full access to the contaminated site, and to Centro de Biotecnologia e Química Fina for making its premises available to perform part of the experimental work. This research effort was supported by Fundação para a Ciência e Tecnologia and Fundo Social Europeu (III Quadro Comunitário de Apoio), via a PhD research fellowship granted to author C. M. Monteiro (ref. SFRH/BD/9332/2002) and supervised by author F. X. Malcata, and a research project grant (MICROPHYTE, ref. PTDC/EBB-EBI/102728/2008), under the coordination of author F. X. Malcata as well.

Author information

Affiliations

Authors

Corresponding author

Correspondence to F. Xavier Malcata.

Rights and permissions

Reprints and Permissions

About this article

Cite this article

Monteiro, C.M., Brandão, T.R.S., Castro, P.M.L. et al. Modelling growth of, and removal of Zn and Hg by a wild microalgal consortium. Appl Microbiol Biotechnol 94, 91–100 (2012). https://doi.org/10.1007/s00253-011-3826-x

Download citation

  • Received:

  • Revised:

  • Accepted:

  • Published:

  • Issue Date:

  • DOI: https://doi.org/10.1007/s00253-011-3826-x

Keywords

  • Heavy metals
  • Metal uptake
  • Toxicity
  • Bioremediation
  • Monod model
  • Leudeking–Piret model