Skip to main content

Biotransformation of acetamiprid by the white-rot fungus Phanerochaete sordida YK-624

Abstract

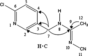
Acetamiprid (ACE) belongs to the neonicotinoid class of systemic broad-spectrum insecticides, which are the most highly effective and largest-selling insecticides worldwide for crop protection. As neonicotinoid insecticides persist in crops, biotransformation of these insecticides represents a promising approach for improving the safety of foods. Here, the elimination of ACE from a liquid medium by the white-rot fungus Phanerochaete sordida YK-624 was examined. Under ligninolytic and non-ligninolytic conditions, 45% and 30% of ACE were eliminated, respectively, after 15 days of incubation. High-resolution electrospray ionization mass spectra and nuclear magnetic resonance analyses of a metabolite identified in the culture supernatant suggested that ACE was N-demethylated to (E)-N 1-[(6-chloro-3-pyridyl)-methyl]-N 2-cyano-acetamidine, which has a much lower toxicity than ACE. In addition, we investigated the effect of the cytochrome P450 inhibitor piperonyl butoxide (PB) on the elimination of ACE. The elimination rate of ACE by P. sordida YK-624 was markedly reduced by the addition of either 0.01 or 0.1 mM PB to the culture medium. These results suggest that cytochrome P450 plays an important role in the N-demethylation of ACE by P. sordida YK-624.

This is a preview of subscription content, access via your institution.

Fig. 1
Fig. 2
Fig. 3
Fig. 4
Fig. 5

References

  • Arther RG, Cunningham J, Dorn H, Everett R, Herr LG, Hopkins T (1997) Efficacy of imidacloprid for removal and control of fleas (Ctenocephalides felis) on dogs. Am J Vet Res 58:848–850

    CAS  Google Scholar 

  • Bezalel L, Hadar Y, Fu PP, Freeman JP, Cerniglia C (1996) Initial oxidation products in the metabolism of pyrene, anthracene, fluorene, and dibenzothiophene by the white rot fungus Pleurotus ostreatus. Appl Environ Microbiol 62:2554–2559

    CAS  Google Scholar 

  • Brunet JL, Badiou A, Belzunces LP (2005) In vivo metabolic fate of [14C]-acetamiprid in six biological compartments of the honeybee, Apis mellifera L. Pest Manag Sci 61:742–748

    CAS  Article  Google Scholar 

  • Bumpus JA, Tien M, Wright D, Aust SD (1985) Oxidation of persistent environmental pollutants by a white rot fungus. Science 228:1434–1436

    CAS  Article  Google Scholar 

  • Chen T, Dai YJ, Ding JF, Yuan S, Ni JP (2008) N-demethylation of neonicotinoid insecticide acetamiprid by bacterium Stenotrophomonas maltophilia CGMCC 1.1788. Biodegradation 19:651–658

    Article  Google Scholar 

  • Collins PJ, Kotterman MJ, Field JA, Dobson AW (1996) Oxidation of anthracene and benzo[a]pyrene by laccases from Trametes versicolor. Appl Environ Microbiol 62:4563–4567

    CAS  Google Scholar 

  • Dai YJ, Yuan S, Ge F, Chen T, Xu SC, Ni JP (2006) Microbial hydroxylation of imidacloprid for the synthesis of highly insecticidal olefin imidacloprid. Appl Microbiol Biotechnol 71:927–934

    CAS  Article  Google Scholar 

  • Dai YJ, Ji WW, Chen T, Zhang WJ, Liu ZH, Ge F, Yuan S (2010) Metabolism of the neonicotinoid insecticides acetamiprid and thiacloprid by the yeast Rhodotorula mucilaginosa strain IM-2. J Agric Food Chem 58:2419–2425

    CAS  Article  Google Scholar 

  • Ford KA, Casida JE (2006) Chloropyridinyl neonicotinoid insecticides: diverse molecular substituents contribute to facile metabolism in mice. Chem Res Toxicol 19:944–951

    CAS  Article  Google Scholar 

  • Ford KA, Casida JE (2008) Comparative metabolism and pharmacokinetics of seven neonicotinoid insecticides in spinach. J Agric Food Chem 56:10168–10175

    CAS  Article  Google Scholar 

  • Ghahramani P, Ellis SW, Lennard MS, Ramsay LE, Tucker GT (1997) Cytochromes P450 mediating the N-demethylation of amitriptyline. Br J Clin Pharmacol 43:137–144

    CAS  Article  Google Scholar 

  • Hata T, Kawai S, Okamura H, Nishida T (2010) Removal of diclofenac and mefenamic acid by the white rot fungus Phanerochaete sordida YK-624 and identification of their metabolites after fungal transformation. Biodegradation 21:681–689

    CAS  Article  Google Scholar 

  • Hirai H, Kondo R, Sakai K (1994) Screening of lignin-degrading fungi and their ligninolytic enzyme activities during biological bleaching of kraft pulp. Mokuzai Gakkaishi 40:980–986

    CAS  Google Scholar 

  • Hiratsuka N, Wariishi H, Tanaka H (2001) Degradation of diphenylether herbicides by the lignin-degrading basidiomycete Coriolus versicolor. Appl Microbiol Biotechnol 57:563–571

    CAS  Article  Google Scholar 

  • Ichinose H, Wariishi H, Tanaka H (1999) Biotransformation of recalcitrant 4-methyldibenzothiophene to water-extractable products using lignin-degrading basidiomycete Coriolus versicolor. Biotechnol Prog 15:706–714

    CAS  Article  Google Scholar 

  • Iwasa T, Motoyama N, Ambrose JT, Roe M (2004) Mechanism for the differential toxicity of neonicotinoid insecticides in the honey bee, Apis mellifera. Crop Protect 23:371–378

    CAS  Article  Google Scholar 

  • Jacobs DE, Hutchinson MJ, Fox MT, Krieger KJ (1997) Comparison of flea control strategies using imidacloprid or lufenuron on cats in a controlled simulated home environment. Am J Vet Res 58:1260–1262

    CAS  Google Scholar 

  • Joshi DK, Gold MH (1993) Degradation of 2,4,5-trichlorophenol by the lignin-degrading basidiomycete Phanerochaete chrysosporium. Appl Environ Microbiol 59:1779–1785

    CAS  Google Scholar 

  • Kamei I, Suhara H, Kondo R (2005) Phylogenetical approach to isolation of white-rot fungi capable of degrading polychlorinated dibenzo-p-dioxin. Appl Microbiol Biotechnol 69:358–366

    CAS  Article  Google Scholar 

  • Kirk TK, Farrell RL (1987) Enzymatic “combustion”: the microbial degradation of lignin. Annu Rev Microbiol 41:465–505

    CAS  Article  Google Scholar 

  • Masaphy S, Levanon D, Henis Y, Venkateswarlu K, Kelly SL (1996) Evidence for cytochrome P-450 and P-450-mediated benzo(a)pyrene hydroxylation in the white rot fungus Phanerochaete chrysosporium. FEMS Microbiol Lett 135:51–55

    CAS  Article  Google Scholar 

  • Mateu-Sanchez M, Moreno M, Arrebola FJ, Martinez Vidal JL (2003) Analysis of acetamiprid in vegetables using gas chromatography-tandem mass spectrometry. Anal Sci 19:701–704

    CAS  Article  Google Scholar 

  • Mori T, Kondo R (2002) Oxidation of chlorinated dibenzo-p-dioxin and dibenzofuran by white-rot fungus, Phlebia lindtneri. FEMS Microbiol Lett 216:223–227

    CAS  Article  Google Scholar 

  • Mori T, Kitano S, Kondo R (2003) Biodegradation of chloronapthalenes and polycyclic aromatic hydrocarbons by the white-rot fungus Phlebia lindtneri. Appl Microbiol Biotechnol 61:380–383

    CAS  Google Scholar 

  • Pramanik SK, Bhattacharyya J, Dutta S, Dey PK, Bhattacharyya A (2006) Persistence of acetamiprid in/on mustard (Brassica juncea L.). Bull Environ Contam Toxicol 76:356–360

    CAS  Article  Google Scholar 

  • Sanyal D, Chakma D, Alam S (2008) Persistence of a neonicotinoid insecticide, acetamiprid on chili (Capsicum annum L.). Bull Environ Contam Toxicol 81:365–368

    CAS  Article  Google Scholar 

  • Sutton D, Butler AM, Nadin L, Murray M (1997) Role of CYP3A4 in human hepatic diltiazem N-demethylation: inhibition of CYP3A4 activity by oxidized diltiazem metabolites. J Pharmacol Exp Ther 282:294–300

    CAS  Google Scholar 

  • Tien M, Kirk TK (1988) Lignin peroxidase of Phanerochaete chrysosporium. Meth Enzymol 161:238–249

    CAS  Article  Google Scholar 

  • Tokieda M, Ozawa M, Kobayashi S, Gomyo T (1997) Method to determination of total residues of the insecticide acetamiprid and its metabolites in crops by gas chromatography. J Pestic Sci 22:77–83

    CAS  Article  Google Scholar 

  • Tokieda M, Ozawa M, Gomyo T (1999) Methods of determination of acetamiprid and its degradation products in soil by gas chromatography. J Pestic Sci 24:181–185

    CAS  Article  Google Scholar 

  • Wang J, Ogata M, Hirai H, Kawagishi H (2011) Detoxification of aflatoxin B1 by manganese peroxidase from the white-rot fungus Phanerochaete sordida YK-624. FEMS Microbiol Lett 314:164–169

    CAS  Article  Google Scholar 

  • Yamamoto I, Casida JE (eds) (1999) Nicotinoid insecticides and the nicotinic acetylcholine receptor. Springer, Tokyo

    Google Scholar 

Download references

Author information

Affiliations

Authors

Corresponding author

Correspondence to Hirofumi Hirai.

Rights and permissions

Reprints and Permissions

About this article

Cite this article

Wang, J., Hirai, H. & Kawagishi, H. Biotransformation of acetamiprid by the white-rot fungus Phanerochaete sordida YK-624. Appl Microbiol Biotechnol 93, 831–835 (2012). https://doi.org/10.1007/s00253-011-3435-8

Download citation

  • Received:

  • Revised:

  • Accepted:

  • Published:

  • Issue Date:

  • DOI: https://doi.org/10.1007/s00253-011-3435-8

Keywords

  • Acetamiprid
  • Detoxification
  • Phanerochaete sordida YK-624
  • N-demethylation
  • White-rot fungi